2. 中海油能源发展股份有限公司湛江实验中心, 广东 湛江 524057
2. Zhanjiang Experiment Center, CNOOC Energy Technology & Services Limited, Zhanjiang 524057, Guangdong, China
北部湾盆地为南海西部主要产油地区,其中涠西南凹陷和乌石凹陷先后发现W1,W2,W3,W4,W5等稠油油田,引起勘探研究工作者的重视。稠油的典型特征是氧、硫、氮等元素含量高于常规原油。依照现阶段行业标准,密度大于0.920 g/cm3的原油为重质原油,密度为0.870~0.920 g/cm3的原油为中质油;黏度为20~50 mPa·s的原油为高黏油,黏度大于50 mPa·s的原油为稠油[1-5]。稠油密度主要受沥青质含量的影响,黏度主要受非烃含量的影响。关于稠油的地球化学特征和成因,很多学者进行过研究[2-8],一般认为存在原生型和次生改造型2种成因类型,其中水洗、生物降解与氧化作用被认为是次生稠油形成的主要机制。
黄保家等[1]、潘贤庄[2]等专家和学者对北部湾盆地原油地球化学特征进行过相关研究[1-10],但主要集中在对原油生物标志物、油气成烃成藏的研究上,针对北部湾盆地稠油的特征和成因机制尚无相关研究成果,制约了勘探开发的进程。针对当前稠油研究存在的稠油地球化学特征、稠油来源、稠油成因机制不清等问题,通过稠油物性和生物标志物综合分析,结合埋藏史演化恢复等技术手段,对稠油的形成原因和分布规律进行研究,同时对次生改造形成的稠油降解程度进行分析,以期为该区油气勘探提供支持。
1 研究区概况北部湾盆地为南海西部新生代断陷沉积盆地[11-19],盆地经历了古近纪裂陷阶段和新近纪裂后热沉降阶段(图 1)。主要原油探区集中在涠西南凹陷和乌石凹陷,沉积古近系长流组、流沙港组、涠洲组,新近系下洋组、角尾组、灯楼角组、望楼港组和第四系地层,最大厚度达5 000 m。在始新统流二段沉积时期发育大范围半深湖—深湖相沉积环境,形成由最大厚度达1 500 m的油页岩和页岩组成的烃源岩层,分布在流二段上部和下部,为该区主力烃源岩。
|
下载原图 图 1 北部湾盆地原油探区构造位置与稠油油田分布图 Fig. 1 Tectonic location and distribution of heavy oil fieldsin Beibuwan Basin |
北部湾盆地多个油田均为稠油油田,主要集中在涠西南凹陷和乌石凹陷。涠西南凹陷稠油油藏主要分布在石炭系、角尾组和流一段地层,乌石凹陷稠油油藏主要集中在流二段和流三段地层。北部湾盆地稠油油藏原油密度整体较高、较稠。通过对北部湾盆地稠油统计分析(表 1)可以看出,北部湾盆地稠油密度主要为0.896~0.969 g/cm3,平均为0.940 g/cm3;原油运动黏度为70.8~3 196.0 mPa·s,平均为898.6 mPa·s。原油含蜡量统计显示浅层含蜡量较低,深层含蜡量较高,质量分数为0.60%~ 18.30%,平均为6.22%。通过原油族组分分析,除W1-2和W6-1井饱和烃含量较高外,其余井饱和烃质量分数为29.97%~48.43%,非烃沥青质质量分数为17.73%~39.67%,平均为24.45%。
|
|
下载CSV 表 1 北部湾盆地稠油油藏物性参数统计 Table 1 Physical propertyparameters of heavy oil reservoirs in Beibuwan Basin |
对北部湾盆地稠油生物标志化合物甾、萜烷、同位素特征进行分析(表 2),选取样品中C30-4-甲基甾烷丰度高低不等,四甲基甾烷指数(4-MSI)为1.03~ 3.69,其中W1-2和W6-1井原油样品4-MSI较低,其余样品4-MSI均大于2,表明生源存在差异;奥利烷指数较低,C29S/(S+R)值普遍较高,为0.24~0.71,反映成熟度较高,全油碳同位素和原油饱和烃碳同位素显示普遍较重,为-29.4‰~-24.9‰,W1-2井原油样品C29 S/(S+R)值较低,全油和饱和烃碳同位素均较轻,反映出成熟度较低,油源特征存在比较明显的差异。
|
|
下载CSV 表 2 北部湾盆地稠油地球化学特征统计 Table 2 Statistics of geochemical characteristics of heavy oil in Beibuwan Basin |
实验分析中烃源岩样品采用三氯甲烷作溶剂,利用索氏抽提法对烃源岩样品中可溶有机质沥青进行提取。使用正己烷脱去沥青质以后,采用硅胶——氧化铝柱色层法分离出饱和烃、芳香烃和非烃。通过Thermo DSQII型气相色质联用仪对饱和烃馏分进行色谱质谱分析,配置60.00 m×0.32 mm× 0.25 µm毛细色谱柱,升温起始温度为100 ℃,载气为氦气,采用恒流模式,离子源温度为230 ℃,进样口温度设置为310 ℃,采用全扫描采集方式,藿烷采集M+值为191,25-降霍烷采集M+值为177,甾烷采集M+值为217,M+为特征离子。
通过对烃源岩藿烷系列(m/z = 191),25-降霍烷系列(m/z = 177)和甲基甾烷系列(m/z = 217)的生物标志物质量色谱图(图 2)对比分析,发现北部湾盆地共存在2套烃源岩,分别为流二段上部油页岩和下部油页岩。其中,流二段上部烃源岩为滨浅湖—半深湖相沉积,代表低等水生生物的ααα20 RC27规则甾烷含量较高(图 2),代表水生藻类的C30-4-甲基甾烷含量较低,代表陆源输入物的ααα20 RC29规则甾烷含量较高,重排甾、萜烷含量较低,且成熟度相对较低。流二段下部烃源岩为半深湖—深湖相,代表水生藻类的C30-4-甲基甾烷含量高,代表陆源输入物的ααα20 RC29规则甾烷含量相对较低,重排甾烷的含量较高,成熟度相对较高。
|
下载原图 图 2 北部湾盆地稠油与流二段烃源岩甾、萜烷对比 (a)W1-2井油,2 821 m;(b)W6-1井油,3 236 m;(c)W7-2井油,1 913 m;(d)W3-2井油,742 m;(e)W5-3井页岩,2 455 m;(f)W5-3井页岩,2 765 m Fig. 2 Comparison of gonane and terpenes in heavy oil and hydrocarbon source rocks in BeibuwanBasin |
为探寻不同类型原油与供烃组合之间的亲缘关系,通过对典型稠油样品与烃源岩生物标志物对比分析,发现W1-2井油样具有Ts/Tm值较低、不发育25-降霍烷、C30-4-甲基甾烷含量低的特征,与流二段上部烃源岩具有相似的生物标志化合物指纹特征;W6-1井油样显示Ts/Tm值较低,不发育25-降霍烷,C30-4-甲基甾烷含量中等,具有流二段上、下2套烃源岩混源的特征,综合分析油样成熟度较低。考虑该井区发育厚层流二段上部烃源岩,烃源岩埋深较大,已进入成熟门限,认为原油主要为本地生成的低熟稠油和深洼带生成的成熟原油的混源特征。W3-2和W7-2井油样成熟度高,不发育25-降霍烷,C30-4-甲基甾烷含量高,为流二段下部烃源岩早期生成的成熟原油,显示出较好的亲缘关系。综合考虑原油成熟度、对比结果、源岩-原油空间分布关系等,认为W1-2井为流二段上部烃源岩早期生成的稠油,W6-1井为本地生成的低熟稠油和深洼带生成的成熟原油的混合来源,W3-2和W7-2井为深洼带下部烃源岩生成的成熟原油。
4 稠油成因分析稠油成因主要有原生和次生2种影响因素[20-26],其中,由于有机质沉积环境、干酪根热演化差异生成的稠油为原生成因,次生成因主要是指油气生成后经过运移、重力分异、水洗和生物降解等对原有的物理和化学性质进行了次生改造而形成。次生稠油随着次生改造程度不同,原油组分和地球化学特征差异显著。黄第藩等[27]认为烃源岩在未成熟阶段(Ro < 0.6%),可以生成一定量的原油,其物性主要取决于其烃源岩的显微组分及成烃环境。油气藏中原油遭受生物降解是在地层水与地表水存在连通条件下发生,油藏中一般可检出含少量溶解氧气和多种微生物,目前在油田中已发现的微生物达100种以上的细菌、真菌、霉菌和酵母,它们均可对烃类进行不同程度的破坏[20-27]。
通过对稠油甾烷αααC29 S/(S + R)和C29ββ/(αα+ββ)成熟度判识图版(图 3)进行分析,得出W1-2井稠油成熟度低,其次为W6-1井,稠油处于成熟门限附近,其余稠油和北部湾盆地涠西南凹陷和乌石凹陷正常原油成熟度接近,无明显差异,表明稠油大部分为烃源岩正常成熟原油。
|
下载原图 图 3 北部湾盆地稠油成熟度判识图版 Fig. 3 Identification chart of heavy oil maturity in BeibuwanBasin |
选取W1-2井2 821 m油样、W3-2井742 m油样、W6-1井3 236 m油样、W7-1井1 308 m油样4个典型稠油样品全烃谱图(图 4)进行分析。W1-2井原油地球化学分析表明,原油色谱图完整,CPI= 1.5,w(Pr)/w(Ph)=2.45,显示为后峰型,甾烷色质谱图表明甾烷αααC29 S/(S+R),C29ββ/(αα+ββ)值较低,呈未熟油特征,为未受到生物降解的原生稠油。W6-1井稠油全烃谱图显示基线平整,为前峰型,CPI=1.14,w(Pr)/w(Ph)= 2.61,甾烷色质谱图表明甾烷C29ββ/(αα +ββ)为刚进入成熟门限,αααC29 S/(S+R)值较高。
|
下载原图 图 4 北部湾盆地不同油藏稠油全烃谱图 (a)W1-2井2 821 m油样;(b)W3-2井742 m油样;(c)W6-1井3 236 m油样;(d)W7-1井1 308 m油样 Fig. 4 Characteristics of total hydrocarbon spectrum of heavy oil in different reservoirs in Beibuwan Basin |
W3-2井742 m油样和W7-1井1 308 m油样原油地球化学分析表明,色谱图基线隆起,全烃色谱的碳数分布主要集中在C20—C35,甾烷C29 S/(S+ R)和C29ββ/(αα + ββ)显示为成熟型原油,C20之前的低碳数烷烃缺失,同时出现大量复杂化合物。其中,W3-2井正构烷烃基本消失殆尽,W7-1井原油CPI = 1.02,w(Pr)/w(Ph)= 2.54,全烃色谱图表明原油遭受较明显的生物降解,异戊间二烯烃出现轻度消耗,导致地球化学特征和原油物性发生变化。
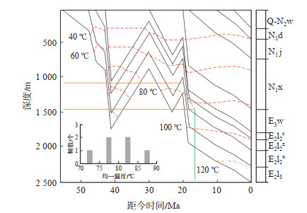
北部湾盆地乌石凹陷W7油田稠油油藏埋深为1 300~2 100 m,其余油藏埋深均较浅,大部分不超过1 000 m,地温低,盖层薄,容易受地表水影响,发生生物降解。W7油田埋深较深,且主要为流二段、流三段目的层。通过对W7-2井储层进行包裹体均一温度测试,沉积埋藏史、热史分析(图 5),得出W7-2井原油充注时间主要为20~16 Ma,对应的油藏古埋深仅为1 000~1 500 m,对应古地温仅为70~ 90 ℃,且流二段油藏上部遭受大规模的抬升剥蚀,直接上覆地层为涠洲组上部砂泥互层地层,油气充注时油藏埋深较浅,地温较低,适合微生物生长发育,进而对油藏进行不同程度的生物降解,使原油稠化。
|
下载原图 图 5 北部湾盆地W7-2井埋藏史、热史和均一温度分布 Fig. 5 Burial history, thermal history and uniform tem‐ perature distribution of well W7-2 in Beibuwan Basin |
综合分析认为W1-2井为原生型低熟稠油,W6-1井稠油显示全烃谱图平整,未发生生物降解,显示为成熟度相对较低的成熟原油。通过对原油生物标志化合物进行分析,显示W6-1井稠油生物标志物齐全,四甲基甾烷指数中等,原油主要为井区流二段上部烃源岩和深洼带流二段下部烃源岩生成的原油混合而成,同时受运移、扩散、吸附等因素的影响,原油变稠。W3-2井和W7-1井为受到生物降解的次生稠油。
在生物降解形成的稠油中,饱和烃中的正构烷烃首先被消耗,其次为异构烷烃和环烷烃,然后消耗甾烷类和萜烷类化合物[8-11]。Peters等[12]通过大量的稠油样品地球化学分析,总结了不同生物降解程度下化合物的破坏程度(图 6)。稠变程度不同,原油分子组构会呈现出规律性的变化,25-降藿烷系列等是标志性的生物降解产生的化合物。通过对生物降解成因的稠油全烃色谱分析,结合生物标志物特征(参见图 2),可以看出降解较厉害的W3-2和W7-1等井正构烷烃系列被不同程度消耗,类异戊二烯烷烃系列丰度降低,但均未检测出25-降霍烷系列化合物,表明生物降解形成的稠油主要出于1~6级的降解程度。
5 稠油分布特征北部湾盆地现已发现多个稠油油藏,稠油不仅分布在埋深小的剥蚀区,在斜坡带和近洼区也均有分布。以乌石凹陷W6和W7油田为例(图 7),受乌石凹陷烃源岩展布特征、沉积埋深、热演化程度差异、上覆盖层厚度及油气充注时期油藏古埋深等影响,在W6油田超过3 000 m的流二段和在W7油田1 000~2 000 m的中浅层油藏均分布有稠油。分析认为乌石凹陷流二段下部烃源岩生成的油气运移至W6油田和本地低熟流二段上部烃源岩生成的原油混合形成稠油油藏,W7油田油藏主要为流二段下部烃源岩生成早期原油经过断裂、砂体运移至W7-2和W7-1井,其中W7-2井由于油气充注时古埋深较浅,地温较低,遭受生物降解。通过研究认为,北部湾盆地构造剥蚀区主要发育流二段下部烃源岩早期生成而后遭受生物降解而成的稠油,近洼带存在局部低熟烃源岩生成的低熟稠油,斜坡带存在由于低熟稠油和成熟原油混合而成的稠油,通过对稠油成因和成藏机理研究,对本地区优化勘探开发部署,指导油区勘探具有重要意义。
|
下载原图 图 7 北部湾盆地乌石凹陷稠油分布及成藏模式图 Fig. 7 Distribution and accumulation pattern of heavy oil in Wushi Sag of Beibuwan Basin |
(1)通过对北部湾盆地稠油进行分析,认为北部湾盆地稠油主要分布在凸起、斜坡带和近洼带,稠油主要表现为高密度、高黏度特征。
(2)北部湾盆地存在3类稠油。第一类为凹陷中央流二段下部烃源岩生成原油运移成藏,遭后期抬升剥蚀,遭受生物降解,此类原油成熟度高,C30-4-甲基甾烷含量高;第二类稠油主要分布在近洼带,为本地低热演化油页岩、页岩生成原油,原油成熟度低,C30-4-甲基甾烷含量低的特征,埋深处于生烃门限附近,为早期原生稠油;第三类稠油主要分布在斜坡带,主要为深洼流二段下部烃源岩生成成熟原油和本地流二段上部烃源岩生成的较低成熟度稠油混合而成,原油C30-4-甲基甾烷含量中等,此类油藏埋深大于3 000 m,未受到生物降解的混合型稠油。
(3)北部湾盆地生物降解型稠油主要为正构烷烃系列、类异戊二烯烷烃系列遭受不同程度降解而成,降解程度较低,稠油的分布受烃源岩展布特征、沉积埋深、热演化程度差异、上覆盖层厚度及油气充注时期油藏古埋深等综合影响。
| [1] |
黄保家, 黄合庭, 吴国瑄, 等. 北部湾盆地始新统湖相富有机质页岩特征及成因机制. 石油学报, 2012, 33(1): 25-31. HUANG B J, HUANG H T, WU G X, et al. Geochemical characteristics and formation mechanism of Eocene lacustrine organicrich shales in the Beibuwan Basin. Acta Petrolei Sinica, 2012, 33(1): 25-31. |
| [2] |
潘贤庄. 北部湾盆原油中的生物标志物及其地质-地球化学意义. 沉积学报, 1997, 15(2): 202-206. PAN X Z. Biomarkers and its geological-geochemical significance in crude oils from Beibu Gulf Basin. Acta Sedimentologica Sinica, 1997, 15(2): 202-206. |
| [3] |
包建平, 刘玉瑞, 朱翠山, 等. 北部湾盆地迈陈凹陷徐闻X1井油气地球化学特征. 天然气地球科学, 2006, 17(3): 300-304. BAO J P, LIU Y R, ZHU C S, et al. Geochemical characteristics and genetic types of crude oils. Oil & Gas Geology, 2006, 17(3): 300-304. |
| [4] |
CONNAN J. Biodegradation of crude oils in reservoirs//BROOKS J, WELTE D H. Advances in petroleum geochemistry. London: Academic Press, 1984: 299-335.
|
| [5] |
CAROLYN M, AITKEN D M, JONES S R. Anaerobic hydrocarbon biodegradation in deep subsurface oil reservoirs. Nature, 2004, 431: 291-294. |
| [6] |
LIU K, EADINGTON P. Quantitative fluorescence techniques for detecting residual oils and reconstructing hydrocarbon charge history. Orgnic Geochemistry, 2005, 36: 1023-1036. |
| [7] |
SNOWDON L R, POWELL T G. Immature oils and condensatemodification of hydrocarbon generation model for terrestrial organic matter. AAPG Bulletin, 1982, 66(6): 775-788. |
| [8] |
PETERSEN H I, ANDSBJERG J, BOJESEN-KOEGOED J A, et al. Coal generated oil source rock evaluation and petroleum geochemistry of the Lulita Oilfield, Danish North Sea. Journal of Petroleum Geology, 2000, 23(1): 55-90. |
| [9] |
RADKE M, WELTE D H. The methyphenanthrene index(MPI): a maturity parameter based on aromatic hydrocarbons//BJORY M. Advance in Organic Geochemistry. Chichester: John Wiley and Sons Incorporation, 1983: 504-512.
|
| [10] |
SEIFERT W K, MOLDOWAN J M. Paleoreconstruction by biological markers. Geochimica et Cosmochimica Acta, 1981, 45: 783-794. |
| [11] |
FU J M, SHENG GY, XU J Y, et al. Application of biological markers in the assessment of paleoenvironment of Chinese nonmarine sediments. Organic Geochemistry, 1990, 16: 769-779. |
| [12] |
PETERS K E, MOLDOWAN J M. The biomarker guide. New York:Prentice Hall, 1993:252-265.
|
| [13] |
王屿涛. 准噶尔盆地西北缘稠油生物降解特征. 沉积学报, 1994, 12(1): 81-88. WANG Y T. Characteristics of heavy oil biodegradation in the northwestern margin of Junggar Basin. Acta Sedimentologica Sinica, 1994, 12(1): 81-88. |
| [14] |
VOLKMAN J K, ALEXANDER R, KAGI R I, et al. Demethylated hopanes in crude oils and their applications in petroleum geochemistry. Geochimica et Cosmochimica Acta, 1983(47): 785-794. |
| [15] |
李敏, 田辉, 肖贤明, 等. 塔河油田稠油中25-降苯并藿烷的检出及其意义. 地球化学, 2014, 43(5): 453-459. LI M, TIAN H, XIAO X M, et al. Identification of 25-norbenzohopanes in Tahe Oilfield and its geological significance. Geochimica, 2014, 43(5): 453-459. |
| [16] |
王铁冠, 钟宁宁, 侯读杰, 等. 中国低熟油的几种成因机制. 沉积学报, 1997, 15(2): 75-83. WANG T G, ZHONG N N, HOU D J, et al. Several genetic mechanisms of immature crude oils in China. Acta Sedimentologica Sinica, 1997, 15(2): 75-83. |
| [17] |
BENNETT B, FUSTIC M, FARRIMOND P, et al. 25-Norhopanes:Formation during biodegradation of petroleum in the subsurface. Orgnic Geochemistry, 2006, 37(7): 787-797. |
| [18] |
包建平, 梅博文. 25-降藿烷系列的"异常"分布及其成因. 沉积学报, 1997, 15(2): 179-183. BAO J P, MEI B W. The abnormal distribution and the origin of 25-norhopane Series. Acta Sedimentologica Sinica, 1997, 15(2): 179-183. |
| [19] |
杜宏宇, 王铁冠, 胡剑梨, 等. 三塘湖盆地上二叠统烃源岩中的25-降藿烷系列与微生物改造作用. 石油勘探与开发, 2004, 31(1): 42-44. DU H Y, WANG T G, HU J L, et al. 25-norhopane in the source rock of Santanghu Basin and the function of microbe degradation. Petroleum Exploration and Development, 2004, 31(1): 42-44. |
| [20] |
宋宁, 王铁冠, 李美俊. 江苏金湖凹陷古近系奇碳优势和偶碳优势共存的正构烷烃. 沉积学报, 2007, 25(2): 307-313. SONG N, WANG T G, LI M J. An n-alkane coexisting even and odd carbon number predominace of Paleogene in Jinhu Sag. Acta Sedimentologica Sinica, 2007, 25(2): 307-313. |
| [21] |
马安来, 张水昌, 张大江, 等. 生物降解原油地球化学研究新进展. 地球科学进展, 2005, 20(4): 449-454. MA A L, ZHANG S C, ZHANG D J, et al. The advances in the geochemistry of the biodegraded oil. Advances in Earth Science, 2005, 20(4): 449-454. |
| [22] |
邱桂强, 李素梅, 庞雄奇, 等. 东营凹陷北部陡坡带稠油地球化学特征与成因. 地质学报, 2004, 78(6): 854-862. QIU G Q, LI S M, PANG X Q, et al. Characteristics and genetic mechanisms of heavy oils on the north steep slope of the Dongying Depression in the Bohai Bay Basin, East China. Acta Geologica Sinica, 2004, 78(6): 854-862. |
| [23] |
王培荣. 生物标志化合物质量色谱图集. 北京: 石油工业出版社, 1993: 50-80. WANG P R. Biomarker mass chromatography atlas. Beijing: Petroleum Industry Press, 1993: 50-80. |
| [24] |
包建平. 未降解原油和生油岩中的25-降藿烷系列. 科学通报, 1996, 41(20): 1875-1878. BAO J P. 25-norhopanes in nondegradation of crude oil and source rocks. Chinese Science Bulletin, 1996, 41(20): 1875-1878. |
| [25] |
文志刚, 王登, 宋换新, 等. Bongor盆地北部斜坡带稠油地球化学特征及成因. 石油天然气学报, 2013, 35(4): 17-21. WEN Z G, WANG D, SONG H X, et al. Geochemical characteristics and origin of heavy oil in the northern slope of Bongor Basin. Journal of Oil and Gas Technology, 2013, 35(4): 17-21. |
| [26] |
徐冠军, 张大江, 王培荣. 用沥青质中生物标志化合物判识生物降解油的油源. 科学通报, 2003, 48(4): 400-404. XU G J, ZHANG D J, WANG P R. Identification of oil source with biological markers of biodegradable oil in asphaltene. Chinese Science Bulletin, 2003, 48(4): 400-404. |
| [27] |
黄第藩, 李晋超, 张大江, 等. 柴达木盆地第三系原油的熟化序列及其在石油资源预测中的重要意义. 石油学报, 1989, 10(3): 1-11. HUANG D F, LI J C, ZHANG D J, et al. Maturation sequence of tertiary crude oil in Qaidam Basin and its significance in petroleum resource prediction. Acta Petrolei Sinica, 1989, 10(3): 1-11. |
2020, Vol. 32


