2. 中国石油长庆油田分公司勘探开发研究院, 西安 710018;
3. 中国石油长庆油田分公司勘探事业部, 西安 710018;
4. 中国石油长庆油田分公司第五采油厂, 西安 710018
2. Research Institute of Exploration and Development, PetroChina Changqing Oilfield Company, Xi'an 710018, China;
3. Department of Exploration, PetroChina Changqing Oilfield Company, Xi'an 710018, China;
4. NO.5 Oil Production Plant, PetroChina Changqing Oilfield Company, Xi'an 710018, China
沉积盆地流体是联系各种地质要素和作用过程的媒介,它为地球化学场、水动力场、地热场及构造演化等研究提供了科学依据[1]。作为沉积盆地的一种流体类型,地层水为烃类活动提供了载体和动力,贯穿了烃类生成、运移、聚集、保存甚至散失等整个过程。地层水的性质和分布特征是揭示湖盆演化和盆地流体活动规律的重要依据。众多学者对地层水性质与油气藏关系进行了研究,在地层水组成特征及其同位素构成[2-6]、地层水区带分布特征[7-9]、地层水来源及成因[10-14]、地层水对储层物性的影响[15-16]、地层水流体特征与油气成藏关系[17-21]、地层水形成演化[22-23]等方面取得了丰硕的成果。普遍认为地层水矿化度、水型、特征参数、同位素等地球化学指标可有效判识其成因和形成环境,进而间接反映油气藏的封闭性和保存条件。一般而言,地层水矿化度越高,特征参数反映油气藏的封闭性越强,油气藏保存条件越好,对油气成藏越有利;反之,油气藏保存条件较差,油气藏可能遭受破坏。值得注意的是,地层水离子组成、矿化度、水型等受沉积、成岩、成藏、后期构造运动等多种因素影响,油层的地层水矿化度并非总是高于水层的矿化度,油层的电阻率并非总是大于水层的电阻率;开放环境的浅层存在CaCl2型地层水,封闭环境的深层也存在Na2SO4型地层水。
鄂尔多斯盆地油气分布与地层水性质关系密切。苏里格气田地层水同位素反映出互不连通的深层封闭环境古沉积水特征,其分布主要受生烃强度和储层非均质性控制[24];苏里格气田西部盒8段地层水具有油气伴生水的特征,形成于封闭还原环境,存在孤立砂体封闭地层水、弱动力生烃气水驱替不完全的残留水以及砂体低部位滞留水等3种成因类型[25]。中生界三叠系延长组长6油层组地层水硼元素等地球化学指标显示,盆地长6沉积期湖泊水体的古盐度为0.94 %~1.01 %,属富钠的微咸—半咸水环境[26];三叠系延长组和侏罗系延安组地层水矿化度差异显著,长6以上及侏罗系地层水矿化度主要受沉积期古盐度、剥蚀暴露期大气水淋滤及煤系地层释放CO2等因素控制[27];马家滩地区延长组油藏受构造运动影响,地表水渗入并与油气发生强烈的淋滤交换作用,导致早期油气藏破坏[28];姬塬地区长6油层组地层水特征参数表明油藏保存条件差异是形成复杂油水分布的主要原因[29];盆地南部长6油层组地层水成因与成岩作用和有机质热演化密切联系,是经过较强浓缩变质作用并受油气等有机流体影响的原始沉积成因水,油气藏处于稳定封闭环境[30]。鄂尔多斯盆地中生界三叠系延长组、侏罗系延安组地层水性质及成因取得了较多的研究成果,但针对盆地延长组下组合地层水性质及其与油藏的关系还缺少研究。因此,本文旨在通过对盆地延长组下组合地层水性质及分布研究,分析地层水矿化度、特征参数等与油藏的关系以及地层水矿化度对测井解释的影响,以期为盆地中生界延长组流体系统研究及复杂油水关系分布的测井精细识别提供依据。
1 地质概况鄂尔多斯盆地是我国第二大沉积盆地,根据现今盆地构造形态及演化历史,划分出西缘冲断带、天环坳陷、伊陕斜坡、晋西挠褶带、伊盟隆起及渭北隆起6个二级构造单元,目前已发现的油藏主要分布在伊陕斜坡和天环坳陷。中生界三叠系延长组为主要的含油层系,依据凝灰质或炭质泥岩等标志层,结合沉积旋回、岩性组合等,将延长组自下而上划分为10个(长10—长1)油层组。根据湖盆演化、沉积旋回、岩性特征、源储组合以及区域性泥页岩分隔等,进一步将长10—长8油层组划归为延长组下组合,长7—长4+5油层组为中组合,长3及以上浅层为上组合。其中,长10油层组为湖盆演化初期,以河流—三角洲沉积为主,发育灰色厚层块状粗砂岩、中细砂岩,以麻斑结构为特征;受局部湖侵影响,长9油层组主要为三角洲—湖泊沉积,发育暗色泥岩、页岩夹薄层灰色粉细砂岩、中细砂岩;长8油层组以三角洲沉积为主,发育深灰色泥岩与浅灰绿色厚层中细砂岩互层[31](图 1)。
|
下载原图 图 1 鄂尔多斯盆地延长组地层水样品分布及延长组地层分布图 Fig. 1 Distribution location of formation water samples and lithology section of Yanchang Formation in Ordos Basin |
延长组下组合油藏分布存在差异。长10油藏主要分布在陕北地区;长9油藏主要分布在姬塬地区,陕北、陇东地区零星分布;长8油藏及出油井点较多,在姬塬、陕北、陇东等地区均有分布,是中生界延长组的主力产油层。
2 地层水性质 2.1 地层水水样筛选鄂尔多斯盆地中生界延长组油藏为典型的“三低”油藏,低渗透—致密油层需要通过压裂改造才能获得工业产能。储层改造过程中可能受到残酸影响,所取水样的离子组成、水型等会失真,用受残酸影响的地层水分析结果来判断地层情况必然会产生错误结论[32]。综合地层水水样的pH值、离子含量、水型、压裂液返排率等,建立了地层水水样筛选标准。正常地层水的返排率较高,pH值为6~8,离子组成以Cl-,Na+,K+离子为主,ρ(Cl-)>ρ(Na++ K+)>ρ(Ca2+)>ρ(SO42-),CaCl2型为主。受残酸影响的地层水返排率低,pH值<6,地层水偏酸性;Ca2+,Mg2+,Cl-含量偏高,Ca2+含量甚至高于Na++ K+含量,ρ(Cl-)>ρ(Ca2+)>ρ(Na+ + K+)>ρ(SO42-),CaCl2型地层水。盆地延长组正常地层水和受残酸影响地层水的主要区别在于Na+,K+,Ca2+离子含量差异,正常地层水的阳离子以Na+ + K+为主,Ca2+,Mg2+含量较低;受残酸影响的地层水阳离子以Ca2+为主,Na++ K+含量较低,Cl-含量总体较高(图 2)。
|
下载原图 图 2 鄂尔多斯盆地延长组地层水水样筛选对比 Fig. 2 Formation water sample selection and correlation of Yanchang Formation in Ordos Basin |
基于地层水水样筛选,通过1万余个地层水分析数据研究盆地延长组地层水性质。鄂尔多斯盆地延长组地层水离子组成以Cl-,Na+,K+为主,其次为Ca2+,SO42-,其他离子含量较低;地层水矿化度为0~160 g/L,主要分布在10~80 g/L,平均为48.9 g/L,属于盐水;水型以CaCl2型为主,占样品数的83.6%,其次为Na2SO4型,占样品数的8.3%,其他水型较少。延长组下组合各油层组离子组成及含量较为接近,但与延长组平均离子含量分布不同,Cl-,Na+,K+明显偏低,其他离子含量差别不大;地层水矿化度相近,平均为28.4 g/L,属于盐水;水型主要为CaCl2型,Na2SO4型地层水较延长组多(图 3—4)。
|
下载原图 图 3 鄂尔多斯盆地延长组下组合地层水离子组成直方图 Fig. 3 Histogram of formation water ion composition of Yanchang Formation in Ordos Basin |
|
下载原图 图 4 鄂尔多斯盆地延长组下组合地层水水型分布直方图 Fig. 4 Histogram of formation water type distribution of lower combination of Yanchang Formation in Ordos Basin |
地层水的钠氯系数[ρ(Na+)/ρ(Cl-)]、脱硫系数[100×ρ(SO42-)/ρ(Na+)]、变质系数[(ρ(Cl-)-ρ(Na+))/ ρ(Mg2+)]等特征参数常用于表征地层水性质[4-5, 8, 29]。钠氯系数反映地层水浓缩和变质程度,通常认为地层水封闭性越好,则浓缩程度越高,钠氯系数越小,保存条件也越有利;脱硫系数能较好反映保存条件,地层水还原越彻底,脱硫系数越小,封闭性越好,越有利于油气保存;变质系数显示地层水运移过程中离子的置换程度,水岩作用越强,变质系数越大,离子交换越彻底,保存条件越好。鄂尔多斯盆地延长组地层水的钠氯系数、脱硫系数、变质系数平均值分别为0.51,0.07,23.50;延长组下组合各油层组地层水特征参数相近,长10油层组地层水钠氯系数、脱硫系数、变质系数平均值分别为0.49,0.12,23.33;长9油层组地层水钠氯系数、脱硫系数、变质系数平均值分别为0.51,0.14,16.75;长8油层组地层水钠氯系数、脱硫系数、变质系数平均值分别为0.54,0.11,18.95。
地层水特征参数表明,鄂尔多斯盆地延长组地层水封闭性整体较好,保存条件有利,但不同地区不同油层组,其封闭性也存在不同。延长组地层水矿化度与特征参数具有一定的相关性,钠氯系数、脱硫系数、变质系数随矿化度的增大而减小,西缘冲断带局部地区少数样品点受地层抬升剥蚀、大气淡水淋滤等因素影响,出现随矿化度的增大而增大的现象。当矿化度<30 g/L时,特征参数随矿化度增大快速下降;当矿化度>30 g/L,特征参数随矿化度增大趋于平稳(图 5)。
|
下载原图 图 5 陕北地区长10地层水特征参数与矿化度关系 Fig. 5 Cross plot of feature parameters and salinity of formation water of Chang 10 in Shanbei area |
由此可见,矿化度相对较小的地层水的浓缩程度较低,水岩作用相对较弱,封闭性也相对较差;矿化度较高的地层水通常浓缩程度较高,水岩作用相对较强,封闭性也相对较好。
3 地层水矿化度分布 3.1 矿化度垂向分带分布沉积盆地地层水性质垂向分布具有分带性,地层水矿化度、水型、特征参数等并不随埋深增加而单调变化[7-8, 10]。地层水化学剖面表明,鄂尔多斯盆地延长组下组合地层水离子含量、矿化度明显不同于其他油层组,地层水水型、特征参数、同位素等也有所不同(图 6)。
|
下载原图 图 6 陕北地区延长组地层水化学剖面 Fig. 6 Chemical profile of formation water of Yanchang Formation in Shanbei area |
根据鄂尔多斯盆地延长组地层水性质,结合湖盆演化特征、长7泥页岩、长4+5泥岩遮挡分隔,以及浅层受侏罗系古河侵蚀的影响,可将延长组划分为3套流体系统,延长组下组合长10、长9、长8油层组属于同一流体系统。该流体系统形成于湖盆的扩张期,矿化度整体较低,封闭性较好。
矿化度是地层水性质的重要指标。鄂尔多斯盆地延长组地层水矿化度垂向上分带分布,无论是盆地延长组地层水矿化度,还是各地区延长组地层水矿化度,基本都表现出自下而上呈先增大后减小的趋势,下组合地层水矿化度明显较低(图 7),认为与湖盆演化初期沉积水体盐度低、水岩作用相对较弱、流体流动相对通畅有关。长10油层组地层水矿化度主要分布在10~30 g/L,平均为28.0 g/L;长9油层组地层水矿化度主要分布在10~30 g/L,平均为26.4 g/L;长8油层组主要分布在10~50 g/L,平均30.8 g/L。
|
下载原图 图 7 鄂尔多斯盆地及不同地区延长组矿化度差异 箱线图、柱状图的数字表示各油层组的矿化度平均值,N表示样品数量 Fig. 7 Salinity differences of Yanchang Formation in different area of Ordos Basin |
受沉积期湖泊水体盐度、剥蚀暴露期大气水淋滤、后期构造运动断裂沟通等多种因素影响[27-28, 33-34],鄂尔多斯盆地延长组地层水矿化度差异分布,不同地区同一油层组地层水矿化度不同,盐池地区普遍较低,陕北地区延长组下组合及长3以上浅层矿化度较低,姬塬地区、镇北—合水地区、华池—庆阳地区延长组长3及以上浅层矿化度较高(图 7)。考虑到地层水水样数据的代表性,针对延长组下组合地层水矿化度分布,对陕北地区长10油层组、姬塬地区长9油层组、镇北地区长8油层组以及华池地区长8油层组地层水矿化度进行分析。
陕北地区长10油层组地层水矿化度整体较低,主要分布在10~30 g/L,局部地区少数地层水矿化度可达60 g/L以上。地层水矿化度自西向东间互分布,吴起、侯市、高桥地区相对较高,一般分布在30~60 g/L;顺宁地区地层水矿化度较低,一般<20 g/L(图 8)。该区基本不受断裂、侏罗系古河侵蚀的影响,长10油层组矿化度的差异分布认为主要受储层非均质性的影响。
|
下载原图 图 8 陕北地区延长组长10油层组地层水矿化度分布图 Fig. 8 Distribution of formation water salinity of Chang 10 oil reservoir of Yanchang Formation in Shanbei area |
姬塬地区西部临近西缘冲断带,断裂系统发育,低级序断裂对油气成藏及流体分布具有一定的控制作用[33-34]。该区长9油层组地层水矿化度整体相对较低,主要分布在10~30 g/L。尽管天环坳陷轴部长9油层组埋深大(2 500 m左右),水岩作用强烈,但其矿化度依然较低,一般低于20 g/L,认为与原始地层水矿化度低有关[27];定边、冯地坑、胡尖山等地地层水矿化度较高,为30~50 g/L,局部地区>50 g/L(图 9)。
|
下载原图 图 9 姬塬地区延长组长9油层组地层水矿化度分布图 Fig. 9 Distribution of formation water salinity of Chang 9 oil reservoir of Yanchang Formation in Jiyuan area |
鄂尔多斯盆地长8油层组地层水矿化度相对整体较低,主要分布在10~50 g/L,平均为31 g/L。其中,受西缘断裂带、天环坳陷的影响,盐池地区地层水矿化度最低,天环坳陷最高,斜坡带相差不大,湖盆中部减小。陇东地区长8油层组地层水矿化度相对较高,从天环坳陷轴部向湖盆中部,地层水矿化度逐渐减小。其中,临近天环坳陷轴部的镇北地区地层水矿化度一般>50 g/L,环西西部地区少数出水井点的地层水矿化度>80 g/L,局部水样矿化度>100 g/L;位于湖盆中部的华池地区地层水矿化度明显减小,主要分布在30~50 g/L,庆城、合水、正宁地区的地层水矿化度低于30 g/L(图 10),认为与湖盆中部长7厚层泥页岩压实排水淡化有关[7]。
|
下载原图 图 10 鄂尔多斯盆地长8油层组地层水矿化度分布图 Fig. 10 Distribution of formation water salinity of Chang 8 oil reservoir of Yanchang Formation in Ordos Basin |
地层水特征参数、矿化度、水型等在分析油气藏保存条件方面具有较好的指示意义。根据特征参数判断油气保存条件的指标[5],鄂尔多斯盆地延长组下组合地层水钠氯系数为0.51,说明地层水为高浓缩变质水,油气保存条件好;脱硫系数平均为0.07,« 1,表明封闭条件较好,有利于油气保存;变质系数平均为23.50,» 1,为高浓缩阶段地层水,油气保存条件较好。
延长组下组合油藏保存条件整体较好,但古峰庄地区裂缝发育带部分井钻井揭示的含油显示较好,岩心录井显示油斑及以上含油级别,地球化学录井、核磁共振均显示含油,但无论是通过酸化压裂还是射孔求初产储层改造工艺,试油多数出水,少数为出油或油花,水量一般较大。该区低级序断层发育,以逆断层为主,主要切过延长组,少数切穿延长组甚至侏罗系,断层延伸长度较短,<3 km;断距较小,一般10~20 m;倾向SW或NE,倾角较大,为40°~80°;低级序断层在马家滩—古峰庄—马坊地区广泛发育,平面分布具有分带性,呈NWW雁行式展布。与盆地、二级构造带等边界大断层对构造、沉积的控制作用不同,低级序断层活动性弱,控制作用不明显[33]。地层水水型虽以CaCl2型为主,但矿化度低,一般分布在10~20 g/L,Cl-含量低,SO42-含量较高,地层水特征参数显示地层水较活跃(图 9,图 11)。储层油气包裹体丰度参数GOI反映了储层的含油饱和度,可用于古油层、油水界面及油气充注史等分析,通常认为油层、运移通道及水层的GOI分别为>5%,1%~5%及<1%[35]。该区中生界试油为出水层,GOI为6.7%~10.1%,表明其发生过原油充注并形成古油藏。储层定量颗粒荧光分析结果表明,早期原油充注形成了古油藏或古油层,但后期调整改造,孔隙中残留的原油较少,形成了现今的水层[34]。晚侏罗世末早期原油优先在紧邻的相对高渗区聚集形成岩性油藏,再通过叠置砂体、西缘大断裂在西缘逆冲带、天环坳陷带等聚集成藏;受早白垩世低级序断层影响部分油藏调整;早白垩世末期原油沿低级序断层垂向输导再侧向运移,在西缘逆冲带、天环坳陷带形成构造、构造-岩性油藏;喜山期部分油藏被破坏。
|
下载原图 图 11 鄂尔多斯盆地西缘冲断带长9、长8油层组地层水特征 Fig. 11 ormation water characteristics of Chang 9 and Chang 8 oil reservoirs in western thrust belt, Ordos Basin |
鄂尔多斯盆地延长组下组合油水分布关系复杂,出油井集中分布区出现零星的出水井,出水井大量分布区也有出油井分布(参见图 8—10)。油藏的发育受多种因素影响,但总的来看,油藏或出油井点的分布与矿化度高低的绝对值无关,姬塬地区长9油层组部分油藏地层水矿化度仅为10 g/L,而环西长8油层组水层地层水矿化度超过80 g/L,说明油藏的地层水矿化度并非一定很高,较高矿化度地层水不一定指示油藏。通过对鄂尔多斯盆地延长组下组合地层水矿化度与出油井、出水井分布的关系来看,地层水矿化度太高,流体流动可能受阻形成滞留区,烃类难以形成有效运聚,对油气成藏不利;地层水矿化度太低,流体流动太活跃,烃类保存条件不好,对成藏也不利。油藏或出油井点主要分布在矿化度相对较高的区域,这些区域有利于烃类运聚成藏。
4.3 油水层测井识别通常运用阿尔奇公式进行油水层测井解释,影响储层电阻率的因素包括岩性、物性、含油性、孔隙结构、润湿性和地层水性质等[36-39]。有关地层水性质对储层电阻率的影响研究较少,而地层水矿化度在复杂条件下的油水层识别中能起到重要作用。
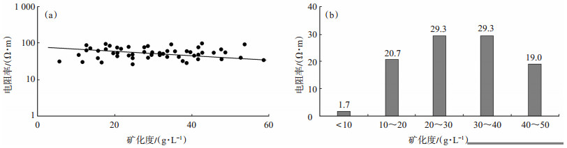
华池地区长8油层组在大面积出油的背景下,局部相对高渗储层试油出水,发育高阻水层,电阻率平均为60 Ω·m。部分油层电阻率分布在24~ 50 Ω·m,高阻水层的电阻率比常规水层高,电阻率值与部分油层相当甚至更高,油水层测井识别难度较大。该区高阻水层的储层物性、含油饱和度与常规水层相差不大,对电阻率的影响有限。地层水矿化度整体较低,水层矿化度一般<50 g/L,电阻率随矿化度减小而快速增大(图 12),较低矿化度的地层水是形成高阻水层的重要成因。另外,相对较高含量的吸附有机质的绿泥石膜、储层偏亲油对高阻水层电阻率也有一定影响。
|
下载原图 图 12 鄂尔多斯盆地华池地区矿化度与电阻率交会图(a)、矿化度分布直方图(b) Fig. 12 Cross plot of resistivity and salinity(a), histogram of salinity distribution(b)in Huachi area, Ordos Basin |
镇北地区天环坳陷轴部发育低阻油层,该区烃源岩相对不发育,油藏充注程度相对较低,油层电阻率分布在5~20 Ω·m,平均为14 Ω·m;天环坳陷东侧烃源岩主要分布范围内的常规油层电阻率一般>30 Ω·m,低阻油层的电阻率远低于常规油层,与水层电阻率相近。针对局部地区部分层位的低阻油层成因,谢青等[40]通过孔隙结构、地层水矿化度、黏土矿化含量等分析取得了一些认识。综合储层电阻率影响因素分析,认为高矿化度(>60 g/L)、低饱和度(平均为60 %)是形成该区低阻油层的主要原因。
5 结论(1) 鄂尔多斯盆地中生界延长组地层水性质呈区带性分布。延长组下组合地层水性质明显不同于其他油层组,属于同一流体系统,地层水矿化度较低,平均为28.4 g/L;地层水矿化度差异分布,从西缘冲断带、天环坳陷轴部到湖盆中部,矿化度总体呈先增加后减小的趋势。
(2) 鄂尔多斯盆地中生界延长组下组合地层水钠氯系数、脱硫系数、变质系数等表明地层封闭性较强,保存条件好,对成藏有利。油藏及出油井点的分布与地层水矿化度的绝对大小无关,主要分布在地层水矿化度相对较高的区域。西缘冲断带部分油藏受构造作用影响进行了调整改造。
(3) 地层水矿化度低是湖盆中部高阻水层、天环坳陷轴部低阻油层形成的重要因素,该特征影响了油水层的测井解释。
| [1] |
孙永祥. 综合运用水文地质资料预测区域含油气性和普查油气藏. 天然气地球科学, 1990, 1(2): 37-41. SUN Y X. Oil and gas potential prediction and survey by comprehensive application of hydrogeological data. Natural Gas Geoscience, 1990, 1(2): 37-41. |
| [2] |
汪珊. 论川西坳陷上三叠统气田水化学场及其分带. 地球学报, 2003, 24(1): 67-72. WANG S. Hydrochemical field and zonation of the Upper Triassic gas field water in the West Sichuan Depression. Acta Geoscientia Sinica, 2003, 24(1): 67-72. DOI:10.3321/j.issn:1006-3021.2003.01.011 |
| [3] |
蔡立国, 钱一雄, 刘光祥. 阿克库勒及其邻区地层水同位素特征和油气地质意义. 天然气地球科学, 2005, 16(4): 503-506. CAI L G, QIAN Y X, LIU G X. The isotopes composition formation waters in Akekule and adjacent, Tarim Basin. Natural Gas Geoscience, 2005, 16(4): 503-506. DOI:10.3969/j.issn.1672-1926.2005.04.019 |
| [4] |
徐振平, 梅廉夫. 川东北地区不同构造带地层水化学特征与油气保存的关系. 海相油气地质, 2006, 11(4): 29-33. XU Z P, MEI L F. Relationship between chemical features of formation water and hydrocarbon preservation in different structural areas in northeast part of Sichuan Basin. Marine Origin Petroleum Geology, 2006, 11(4): 29-33. DOI:10.3969/j.issn.1672-9854.2006.04.004 |
| [5] |
宫亚军, 沈忠民, 刘四兵, 等. 川西坳陷新场地区须家河组地层水的地化特征研究. 四川地质学报, 2010, 30(1): 72-74. GONG Y J, SHEN Z M, LIU S B, et al. Geochemical characteristics of formation water in the Xujiahe Formation in the Xinchang area, West Sichuan Depression. Acta Geologica Sichuan, 2010, 30(1): 72-74. DOI:10.3969/j.issn.1006-0995.2010.01.019 |
| [6] |
李伟, 秦胜飞. 四川盆地须家河组地层水微量元素与氢氧同位素特征. 石油学报, 2012, 33(1): 55-63. LI W, QIN S F. Characteristics of trace elements and hydrogen and oxygen isotopes in the formation water of the Xujiahe Formation, Sichuan Basin. Acta Petrolei Sinica, 2012, 33(1): 55-63. DOI:10.3969/j.issn.1001-8719.2012.01.010 |
| [7] |
楼章华, 金爱民, 朱蓉, 等. 松辽盆地油田地下水化学场的垂直分带性与平面分区性. 地质科学, 2006, 41(3): 392-403. LOU Z H, JIN A M, ZHU R, et al. Vertical zonation and planar division of oilfield groundwater chemistry fields in the Songliao Basin, China. Chinese Journal of Geology, 2006, 41(3): 392-403. DOI:10.3321/j.issn:0563-5020.2006.03.003 |
| [8] |
张小莉, 查明, 赫拴柱, 等. 渤海湾盆地廊固凹陷地层水化学纵向分带性与油气富集. 石油实验地质, 2006, 28(2): 187-191. ZHANG X L, ZHA M, HE S Z, et al. Relationships between formation water vertical zoning and oil and gas enrichment in Langgu Sag of the Bohaiwan Basin. Petroleum Geology & Experiment, 2006, 28(2): 187-191. DOI:10.3969/j.issn.1001-6112.2006.02.018 |
| [9] |
沈忠民, 刘四兵, 吕正祥, 等. 川西坳陷中段陆相地层水纵向变化特征及水-岩相互作用初探. 沉积学报, 2011, 29(3): 495-502. SHEN Z M, LIU S B, LYU Z X, et al. Vertical geochemical characteristics of continental formation water and its waterrock interaction in the middle area of Western Sichuan Depression. Acta Sedimentologica Sinica, 2011, 29(3): 495-502. |
| [10] |
曹海防, 夏斌, 张娣, 等. 松辽盆地地层水化学特征及其流体-岩石相互作用探讨. 天然气地球科学, 2006, 17(4): 187-191. CAO H F, XIA B, ZHANG D, et al. Geochemistry of formation water and its controlling factors, case studies on the Songliao Basin. Natural Gas Geoscience, 2006, 17(4): 187-191. |
| [11] |
沈忠民, 宫亚军, 刘四兵, 等. 川西坳陷新场地区上三叠统须家河组地层水成因探讨. 地质论评, 2010, 56(1): 82-88. SHEN Z M, GONG Y J, LIU S B, et al. A discussion on genesis of the Upper Triassic Xujiahe formation water in Xinchang area, Western Sichuan Depression. Geological Review, 2010, 56(1): 82-88. |
| [12] |
覃伟, 李仲东, 郑振恒, 等. 鄂尔多斯盆地大牛地气田地层水特征及成因分析. 岩性油气藏, 2011, 23(5): 115-120. QIN W, LI Z D, ZHENG Z H, et al. Characteristics and genesis of formation water in Daniudi Gas Field, Ordos Basin. Lithologic Reservoirs, 2011, 23(5): 115-120. DOI:10.3969/j.issn.1673-8926.2011.05.024 |
| [13] |
刘元晴, 曾溅辉, 周乐, 等. 惠民凹陷沙河街组地层水化学特征及其成因. 现代地质, 2013, 27(5): 1110-1119. LIU Y Q, ZENG J H, ZHOU L, et al. Geochemical characteristics and origin of Shahejie formation water in Huimin Sag. Geoscience, 2013, 27(5): 1110-1119. DOI:10.3969/j.issn.1000-8527.2013.05.013 |
| [14] |
刘四兵, 沈忠民, 刘昊年, 等. 川西坳陷中段上三叠统须家河组水岩相互作用机制. 石油学报, 2013, 34(1): 47-58. LIU S B, SHEN Z M, LIU H N, et al. Mechanism of waterrock interaction of the Upper Triassic Xujiahe Formation in the middle part of Western Sichuan Depression. Acta Petrolei Sinica, 2013, 34(1): 47-58. |
| [15] |
楼章华. 松辽盆地储层成岩反应与孔隙流体地球化学性质及成因. 地质学报, 1998, 72(2): 144-152. LOU Z H. Diagenesis reactions, geochemical properties and origin of pore fluidin reservoirs of the Songliao Basin. Acta Geologica Sinica, 1998, 72(2): 144-152. DOI:10.3321/j.issn:0001-5717.1998.02.006 |
| [16] |
王伟, 纪友亮, 张善文, 等. 胜利油区古近系地层水性质对储层物性的影响. 高校地质学报, 2007, 13(4): 714-721. WANG W, JI Y L, ZHANG S W, et al. Effects of Paleogene formation water on physical properties of reservoirs in Shengli oil zone. Geological Journal of China Universities, 2007, 13(4): 714-721. DOI:10.3969/j.issn.1006-7493.2007.04.015 |
| [17] |
楼章华, 金爱民, 田炜卓, 等. 论陆相含油气沉积盆地地下水动力场与油气运移、聚集. 地质科学, 2005, 40(3): 305-318. LOU Z H, JIN A M, TIAN W Z, et al. Origin and evolution of hydrodynamics and the migration, accumulation of petroleum in continental petroliferous sedimentary basins. Chinese Journal of Geology, 2005, 40(3): 305-318. DOI:10.3321/j.issn:0563-5020.2005.03.001 |
| [18] |
胡绪龙, 李瑾, 张敏, 等. 地层水化学特征参数判断气藏保存条件:以呼图壁、霍尔果斯油气田为例. 天然气勘探与开发, 2008, 31(4): 23-26. HU X L, LI J, ZHANG M, et al. Judge gas reservoir preservation by chemical characteristic parameters of formation water:Examples from Hutubi and Huoerguosi oil-gas fields. Natural Gas Exploration & Development, 2008, 31(4): 23-26. DOI:10.3969/j.issn.1673-3177.2008.04.006 |
| [19] |
李梅, 金爱民, 楼章华, 等. 高邮凹陷南部真武地区地层水化学特征与油气运聚的关系. 中国石油大学学报, 2010, 34(5): 50-56. LI M, JIN A M, LOU Z H, et al. Hydrochemical properties of formation water and its relationship with oil and gas migration and accumulation in Zhenwu area of southern Gaoyou Sag. Journal of China University of Petroleum, 2010, 34(5): 50-56. |
| [20] |
张善文, 张林晔, 包友书, 等. 东营凹陷地层流体特征与油气成藏. 石油勘探与开发, 2012, 39(4): 394-405. ZHANG S W, ZHANG L Y, BAO Y S, et al. Formation fluid characteristics and hydrocarbon accumulation in the Dongying Sag, Shengli Oilfield. Petroleum Exploration and Development, 2012, 39(4): 394-405. |
| [21] |
任国选, 侯读杰, 史玉玲, 等. 准噶尔盆地西北缘红山嘴油田地层水特征与油气藏聚集关系. 石油与天然气地质, 2013, 34(2): 179-184. REN G X, HOU D J, SHI Y L, et al. Relationship between formation water characteristics and hydrocarbon accumulation in Hongshangzui oilfield in the northwestern margin of the Junggar Basin. Oil & Gas Geology, 2013, 34(2): 179-184. |
| [22] |
汪蕴璞, 林锦璇, 王翠霞, 等. 黄骅含油气裂谷盆地第三系地下水化学场及其形成演化模式. 地球学报, 1998, 19(3): 271-279. WANG Y P, LIN J X, WANG C X, et al. Tertiary groundwater chemical field and pattern of its formation and evolution in Huanghua oil gas-bearing rift basin. Acta Geoscientia Sinica, 1998, 19(3): 271-279. |
| [23] |
张宏达, 汪珊. 渤海石臼坨凸起上第三系油田水化学及其形成演化规律. 地球学报, 2000, 21(2): 128-133. ZHANG H D, WANG S. Chemistry of Upper Tertiary oil-field water in Shijiutuo symon fault of Bohai Sea and regularity of its formation and evolution. Acta Geoscientia Sinica, 2000, 21(2): 128-133. DOI:10.3321/j.issn:1006-3021.2000.02.003 |
| [24] |
窦伟坦, 刘新社, 王涛. 鄂尔多斯盆地苏里格气田地层水成因及气水分布规律. 石油学报, 2010, 31(5): 767-773. DOU W T, LIU X S, WANG T. The origin of formation water and the regularity of gas and water distribution for the Sulige gas field, Ordos Basin. Acta Petrolei Sinica, 2010, 31(5): 767-773. DOI:10.3969/j.issn.1001-8719.2010.05.018 |
| [25] |
梁积伟, 李荣西, 陈玉良. 鄂尔多斯盆地苏里格气田西部盒8段地层水地球化学特征及成因. 石油与天然气地质, 2013, 34(5): 625-630. LIANG J W, LI R X, CHEN Y L. Geochemical behaviors and genesis of formation water in 8 th member of Xiashihezi Formation in western Sulige gas field, Ordos Basin. Oil & Gas Geology, 2013, 34(5): 625-630. |
| [26] |
郑荣才, 柳梅青. 鄂尔多斯盆地长6油层组古盐度研究. 石油与天然气地质, 1999, 20(1): 20-25. ZHENG R C, LIU M Q. Study on palaeosalinity of Chang 6 oil reservoir set in Ordos Basin. Oil & Gas Geology, 1999, 20(1): 20-25. DOI:10.3321/j.issn:0253-9985.1999.01.005 |
| [27] |
梁晓伟, 牛小兵, 李卫成, 等. 鄂尔多斯盆地油田水化学特征及地质意义. 成都理工大学学报(自然科学版), 2012, 39(5): 502-508. LIANG X W, NIU X B, LI W C, et al. Chemical character of oil-field water in Ordos Basin and geological significance. Journal of Chengdu University of Technology(Science & Technology Edition), 2012, 39(5): 502-508. |
| [28] |
李继宏, 李荣西, 韩天佑, 等. 鄂尔多斯盆地西缘马家滩地区地层水与油气成藏关系研究. 石油实验地质, 2009, 31(3): 253-257. LI J H, LI R X, HAN T Y, et al. Study of stratum water and oil and gas accumulation relations of Majiatan area in the western Ordos Basin. Petroleum Geology & Experiment, 2009, 31(3): 253-257. DOI:10.3969/j.issn.1001-6112.2009.03.009 |
| [29] |
李士祥, 楚美娟, 王腾飞, 等. 鄂尔多斯盆地姬塬地区延长组长6油层组地层水特征与油藏聚集关系. 中国石油勘探, 2017, 22(5): 43-53. LI S X, CHU M J, WANG T F, et al. Features of formation water and implications for hydrocarbon accumulation in Chang 6 pay zone, Jiyuan area, Ordos Basin. China Petroleum Exploration, 2017, 22(5): 43-53. DOI:10.3969/j.issn.1672-7703.2017.05.005 |
| [30] |
刘福田, 李荣西, 左智峰, 等. 鄂尔多斯盆地南部地区上三叠统延长组6段地层水成因及其油气意义. 石油与天然气地质, 2018, 39(6): 1179-1189. LIU F T, LI R X, ZUO Z F, et al. Genesis of formation water in the 6 th member of the Upper Triassic Yanchang Formation in southern Ordos Basin and its petroleum significance. Oil & Gas Geology, 2018, 39(6): 1179-1189. |
| [31] |
杨华, 付金华. 超低渗透油藏勘探理论与技术. 北京: 石油工业出版社, 2012. YANG H, FU J H. Exploration theory and technology for ultralow permeability reservoirs. Beijing: Petroleum Industry Press, 2012. |
| [32] |
关云梅, 王兰生, 张鉴, 等. 地层水与残酸、钻井液混合液特征分析. 天然气勘探与开发, 2011, 34(2): 62-64. GUAN Y M, WANG L S, ZHANG J, et al. Characteristics of mixed liquid of formation water with residual acid and drilling fluid. Natural Gas Exploration & Development, 2011, 34(2): 62-64. DOI:10.3969/j.issn.1673-3177.2011.02.017 |
| [33] |
姚泾利, 周新平, 惠潇, 等. 鄂尔多斯盆地西缘古峰庄地区低级序断层封闭性及其控藏作用. 中国石油勘探, 2019, 24(1): 72-81. YAO J L, ZHOU X P, HUI X, et al. Sealing capabilities and reservoir controlling effects of low-grade faults in Gufengzhuang area, western margin of the Ordos Basin. China Petroleum Exploration, 2019, 24(1): 72-81. |
| [34] |
周新平, 惠潇, 邓秀芹, 等. 鄂尔多斯盆地盐池地区中生界油藏分布规律及成藏主控因素. 西北大学学报(自然科学版), 2019, 49(2): 268-279. ZHOU X P, HUI X, DENG X Q, et al. Distribution and main controlling factors of Mesozoic reservoir in Yanchi area of Ordos Basin. Journal of Northwest University(Natural Science Edition), 2019, 49(2): 268-279. |
| [35] |
王飞宇, 庞雄奇, 曾花森, 等. 古油层识别技术及其在石油勘探中的应用. 新疆石油地质, 2005, 26(5): 565-569. WANG F Y, PANG X Q, ZENG H S, et al. Paleo-oil layer recognition and its application to petroleum exploration. Xinjiang Petroleum Geology, 2005, 26(5): 565-569. DOI:10.3969/j.issn.1001-3873.2005.05.025 |
| [36] |
杨锐祥, 王向公, 白松涛, 等. Oriente盆地海相低阻油层成因机理及测井评价方法. 岩性油气藏, 2017, 29(6): 84-90. YANG R X, WANG X G, BAI S T, et al. Formation mechanism and log evaluation methods of marine low resistivity reservoir in Oriente Basin. Lithologic Reservoirs, 2017, 29(6): 84-90. |
| [37] |
王博, 赵军, 王淼, 等. 断块低阻油层测井识别与评价. 岩性油气藏, 2012, 24(6): 110-114. WANG B, ZHAO J, WANG M, et al. Logging identification and evaluation of low resistivity reservoir in fault-block. Lithologic Reservoirs, 2012, 24(6): 110-114. |
| [38] |
李俊, 张占松. S区块低电阻率油层成因分析与评价. 岩性油气藏, 2011, 23(2): 105-108. LI J, ZHANG Z S. Genetic analysis and evaluation of low resistivity reservoir in block S. Lithologic Reservoirs, 2011, 23(2): 105-108. |
| [39] |
耿燕飞, 张春生, 韩校锋, 等. 安岳-合川地区低阻气层形成机理研究. 岩性油气藏, 2011, 23(3): 70-74. GENG Y F, ZHANG C S, HAN X F, et al. Study on formation mechanism of low resistivity gas bearing reservoir in Anyue-Hechuan area. Lithologic Reservoirs, 2011, 23(3): 70-74. |
| [40] |
谢青, 王建民. 鄂尔多斯盆地志丹、安塞地区长6低阻油层成因机理及识别方法. 岩性油气藏, 2013, 25(3): 106-111. XIE Q, WANG J M. Genetic mechanism and identification methods of Chang 6 low resistivity reservoir in Zhidan and Ansai area, Ordos Basin. Lithologic Reservoirs, 2013, 25(3): 106-111. |
2021, Vol. 33


