2. 西安石油大学 陕西省油气成藏地质学重点实验室, 西安 710065;
3. 西北大学 地质学系, 西安 710069
2. Key Laboratory of Shaanxi Province for Petroleum Accumulation Geology, Xi'an Shiyou University, Xi'an 710065, China;
3. Department of Geology, Northwest University, Xi'an 710069, China
国外对于致密储层的研究较早,我国对于低渗致密天然气储层的研究起步较晚。鄂尔多斯盆地致密砂岩气作为非常规天然气产量的主要贡献者之一,对其认识仍处于初级阶段[1]。致密储层具有低孔、低渗且孔喉结构复杂等特征,储层微观的孔隙结构能够直接影响储层的储集和渗流能力,并决定了油气藏的产能[2-5]。
鄂尔多斯盆地东缘临兴地区近年来在非常规天然气勘探方面取得了突破性进展,二叠系石盒子组储层作为研究区主要开发层系之一,各小层之间物性变化大、储层非均质性强[6-9]。在已开发的苏里格气田[10]、榆林气田、神木气田等大气田中,下石盒子组为主力产层,上石盒子组则通常被当作区域盖层看待,但随着近些年的勘探开发,在临兴地区上石盒子组的盒2段、盒4段相继发现致密气藏。通过测井解释、岩心描述、铸体薄片与扫描电镜观察及压汞资料分析等研究手段,对石盒子组储层特征进行对比研究,分析其储层差异性和储层物性的影响因素,再结合生产资料,分析气藏与储层特征的相关关系[11-14],以期对该区天然气藏后期开发具有理论指导意义。
1 地质概况临兴地区位于鄂尔多斯盆地东部的西晋挠折带(图 1),区内发育紫金山岩体。石盒子组发育于上古生界二叠系中统,地层东高西低。区内断层、构造、裂缝受燕山期、喜马拉雅期构造作用和紫金山隆起的影响。下石盒子组发育辫状河三角洲平原亚相,发育分流河道与河道间湾微相,砂体发育,具有厚度大,连通性强的特征;上石盒子组发育曲流河三角洲平原亚相,发育分流河道、分流间湾和河口坝微相,砂体在空间上展布不均,局部发育较厚砂体[15-16]。近些年来的勘探开发表明,研究区的盒2段、盒4段、盒6段、盒7段、盒8段均有不同程度含气,存在较大的勘探潜力。
|
下载原图 图 1 临兴地区位置与主要含气层位 Fig. 1 Location of Linxing area and main gas-bearing layers |
对鄂尔多斯盆地东缘临兴地区石盒子组9个小层进行砂岩组分分析,其砂岩类型主要为长石岩屑砂岩,其次为岩屑长石砂岩和少量岩屑砂岩(图 2)。受大青山主物源影响,盒8段—盒1段长石含量明显增高,石英与岩屑含量减少(表 1),岩屑主要为变质岩岩屑和火成岩岩屑。
|
|
下载CSV 表 1 临兴地区岩石类型统计 Table 1 Rock types in Linxing area |
|
下载原图 图 2 临兴地区二叠系石盒子组砂岩类型三角图 Ⅰ. 石英砂岩;Ⅱ. 长石石英砂岩;Ⅲ. 岩屑石英砂岩;Ⅳ. 长石砂岩;Ⅴ. 岩屑长石砂岩;Ⅵ. 长石岩屑砂岩;Ⅶ. 岩屑砂岩 Fig. 2 Triangular diagram of sandstone types of Permian Shihezi Formation in Linxing Formation |
上石盒子组填隙物体积分数为7%~21%,平均值为12%,其中黏土矿物含量最高,体积分数为6%~18%,平均值为12%;其次为钙质胶结,体积分数为3%~10%,平均值为2.7%,硅质胶结物含量最少,体积分数为0.8%~2.0%,平均值为1.5%[图 3 (a)];下石盒子组填隙物组分含量高于上石盒子组,体积分数为9%~37%,平均值为14%,其含量由多到少依次为:黏土矿物(体积分数为14%)、钙质(体积分数为3%)、硅质(体积分数为1.4%)。
|
下载原图 图 3 临兴地区二叠系石盒子组填隙物含量与孔隙类型 Fig. 3 Pore-filling content and pore types of Permain Shihezi Formation in Linxing area |
临兴地区石盒子组孔隙类型主要包括剩余粒间孔、溶蚀粒间孔和溶蚀粒内孔,裂缝发育较少。根据各层段孔隙类型含量百分比统计显示,除盒4段表现为剩余粒间孔占多数外,其他各层段整体呈现溶蚀孔占主导位置的特征。除盒6段外,上石盒子组的溶蚀孔面孔率整体大于下石盒子组[图 3(b)]。
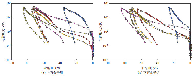
研究区整体表现为以微米级孔喉为主的特征,孔喉半径中值达0.01~0.60 μm。孔喉半径与物性之间存在较好的线性关系。下石盒子组存在极个别异常值,表现为低孔高渗的特征,体现了裂缝对致密储层的改造作用。其中上石盒子组的排驱压力为0.22~1.55 MPa,平均值为0.75 MPa;孔喉中值半径为0.03~0.40 μm,平均值为0.17 μm;分选系数为1.27~3.21,平均值为1.97;退汞效率为13.65%~ 49.29%,平均值为32.58%。下石盒子组排驱压力为0.11~8.75 MPa,平均值为1.50 MPa;孔喉中值半径为0.01~0.60 μm,平均值为0.14 μm;分选系数为0.86~3.20,平均值为1.99;退汞效率为26.60%~ 44.57%,平均值为36.15%。根据以上参数(表 2)表明,石盒子组均表现为孔隙小、分选性差、孔喉连通性差的特征,相比之下,下石盒子组储层的孔隙更小,分选性更差,但孔喉连通性相对更好(图 4)。
|
|
下载CSV 表 2 临兴地区二叠系石盒子组储层孔隙结构参数 Table 2 Pore structure parameters of Permian Shihezi Formation in Linxing area |
|
下载原图 图 4 临兴地区二叠系石盒子组压汞曲线特征 Fig. 4 Characteristics of mercury injection curve of Permian Shihezi Formation in Linxing area |
根据常规物性统计分析表明(表 3),临兴地区表现为各层段整体为低孔低渗,局部层段为相对高孔高渗。根据数据统计得知,石盒子组孔隙度与渗透率具有一定的正相关关系,上石盒子组物性整体好于下石盒子组,多层段孔隙度 < 10%,个别层段具有低孔高渗现象,此现象可能与裂缝的局部发育有关(图 5)。
|
|
下载CSV 表 3 临兴地区二叠系石盒子组孔渗数据 Table 3 Porosity and permeability data of Permian Shihezi Formation in Linxing area |
|
下载原图 图 5 临兴地区二叠系石盒子组砂岩孔渗相关性 Fig. 5 Correlation of permeability and porosity of Permian Shihezi Formation in Linxing area |
沉积相对储层的发育具有明显的控制作用[16]。下石盒子组主要发育辫状河三角洲平原亚相,沉积微相为分流河道与分流间湾,砂体横向连通性较强;上石盒子组发育曲流河三角洲平原亚相,沉积微相主要为分流河道、分流间湾和河口坝微相(图 6),砂体较为分散,连通性较下石盒子组差[15, 17]。优质储层主要分布于上石盒子组分流河道微相,其岩性为细砂岩、粉砂岩及少量中砂岩,孔隙度为5%~12%,渗透率>0.3 mD;分流间湾和洪泛平原发育的砂体物性较差,岩性主要为泥质粉砂岩或粉砂质泥岩。
|
下载原图 图 6 临兴地区二叠系石盒子组沉积微相剖面 Fig. 6 Sedimentary microfacies profile of Permian Shihezi Formation in Linxing area |
临兴地区岩石类型以长石岩屑砂岩和岩屑长石砂岩为主,石英和岩屑含量普遍较高,分析其碎屑颗粒含量与物性参数之间的关系,发现长石含量与物性之间没有明显的关系,岩屑、石英含量与物性之间存在一定的正相关关系(图 7)。
|
下载原图 图 7 临兴地区二叠系石盒子组碎屑颗粒含量与物性相关图 Fig. 7 Relationship between clastic grain content and properties of Permian Shihezi Formation in Linxing area |
根据X射线衍射分析表明,临兴地区石盒子组黏土矿物类型主要有:高岭石、绿泥石、伊利石、蒙皂石和伊/蒙混层,其中上石盒子组绿泥石、伊/蒙混层含量较高;下石盒子组高岭石、绿泥石占主体。对黏土矿物绝对含量与物性参数建立关系发现,当黏土矿物绝对体积分数<5%时,其与储层物性呈一定的正相关关系;当黏土矿物绝对体积分数>5% 时,储层物性随着黏土矿物含量增加而变差。进一步对单类黏土矿物进行分析,发现当绿泥石、高岭石的绝对体积分数<3% 时,对储层物性有改善作用;当其绝对体积分数>3% 时(图 8),与储层物性存在负相关关系。
|
下载原图 图 8 临兴地区二叠系石盒子组黏土矿物含量与孔渗交会图 Fig. 8 Cross plot of clay mineral content and porosity and permeability of Permian Shihezi Formation in Linxing area |
根据对研究区铸体薄片镜下观察发现,临兴地区二叠系石盒子组具有强烈的压实作用(图 9)。下石盒子组碎屑颗粒多呈线—凹凸或凹凸接触[图 9 (d)],上石盒子组多呈线—凹凸接触,少量呈点—线接触[图 9(c)],此外,还存在塑性碎屑,如云母颗粒的挤压变形现象。在成岩演化早期,地层的快速压实是导致本地区下石盒子组储层更为致密的一个重要原因。
|
下载原图 图 9 临兴地区二叠系石盒子组典型成岩作用 (a)全貌,m井,1 901.45 m,上石盒子组,正交偏光;(b)全貌,m井,2 080.33 m,下石盒子组,正交偏光;(c)颗粒点—线接触,n井,1 558.61 m,上石盒子组,单偏光;(d)颗粒凹凸接触,o井,1 660.21 m,下石盒子组,单偏光;(e)长石颗粒溶蚀,p井,1 354.66 m,上石盒子组,单偏光;(f)长石颗粒溶蚀被方解石充填,q井,1 604.85 m,下石盒子组,单偏光;(g)溶蚀孔隙,最大直径约74 μm,r井,1 737.31 m,下石盒子组,SEM;(h)方解石溶蚀微孔,s井,1 442.74 m,上石盒子组,SEM;(i)石英次生加大,t井,1 785.42 m,下石盒子组,正交偏光;(j)长石颗粒溶蚀被绿泥石充填,u井,1 415.43 m,上石盒子组,单偏光;(k)方解石胶结物,v井,1403.67 m,上石盒子组,单偏光;(l)颗粒表面绿泥石化,w井,1 368.14 m,上石盒子组,SEM Fig. 9 Typical diagenesis of Permian Shihezi Formation in Linxing area |
研究区主要存在硅质胶结[图 9(i)]、钙质胶结[图 9(f),(k)]和黏土矿物胶结[图 9(j),(l)]等3类。其中,石盒子组中的硅质胶结主要表现为石英的次生加大;钙质胶结主要表现为方解石胶结。相对于整个石盒子组的硅质和钙质胶结物,黏土矿物的含量明显较大,且下石盒子组黏土矿物含量略大于上石盒子组,是导致研究区上石盒子组致密储层物性好于下石盒子组的重要原因之一。扫描电镜观察发现,黏土矿物主要呈孔隙式充填和孔隙衬里式充填,黏土矿物的孔隙式充填会阻塞孔隙与喉道,从而使储层的孔喉连通性变差,加剧致密化进程,而黏土矿物的衬里式充填会在颗粒表面形成一层“保护膜”,不仅可以使原生粒间孔隙得以保存,还在一定程度上减缓压实作用带来的影响,但当黏土矿物含量持续增加到>5% 时,其会在孔隙之间大量充填,继而堵塞孔隙导致储层致密化。
3.3.3 溶蚀作用由于山西组和太原组的煤层提供的有机酸沿着断层向上部地层充注,从而导致石盒子组广泛发育溶蚀孔,对研究区储层起到一定的建设性作用。通过铸体薄片镜下观察,认为石盒子组存在大量的长石颗粒溶蚀形成的粒间溶孔和粒内溶孔[图 9(e),(g),(h)],其次为岩屑溶蚀和少量方解石颗粒溶蚀形成的粒内溶孔。如盒6段溶蚀孔面孔率最高[参见图 3(b)],表明临兴地区存在强烈的溶蚀作用,继而对储层致密化产生了一定的改善作用,亦导致储层的非均质性加强,使得在低孔低渗的地层中存在优质储层(关于石盒子组溶蚀作用强弱对比见本文2.2)。
4 储层特征与天然气产量的相关性鄂尔多斯盆地东缘地区石盒子组主要产气层物性差异较大,孔隙度集中在5%~16%,渗透率集中在0.1~12.0 mD,部分属于致密气藏。对于孔隙度>10%,渗透率>1 mD的常规气藏,随着物性变好天然气产量明显增加。临兴地区输导体系复杂,储层非均质性强,结合砂体厚度、砂地比、储层品质指数分析其对天然气产量的影响。
整体上看,临兴地区气藏主要分布在盒2段、盒4段、盒6段、盒7段和盒8段,在紫金山隆起处,产气井数量明显少于研究区西部与中部,上石盒子组产量大于下石盒子组(图 10)。研究发现上石盒子组单砂体厚度与产量呈一定的正相关性,但下石盒子组却无此特征,而下石盒子组整体含气单砂体厚度也大于上石盒子组。导致这一现象的原因可能是由于上石盒子组长石含量高,有机酸的充注使储层发育大量溶孔,再加上压实作用较弱,使其储集物性优于下石盒子组;亦可能是由于下石盒子组裂缝发育程度较上石盒子组高,导致储层封存条件较差,使得下部天然气通过裂缝等运移通道向上逸散[18-20]。
|
下载原图 图 10 临兴地区二叠系石盒子组RQI与无阻流量交会图 Fig. 10 Cross plot of open flow and RQI of Permian Shihezi Formation in Linxing area |
石盒子组砂地比值与含气量呈弱正相关关系,但存在低砂地比值-高产量的异常点,其位于lx-9井处,此处上石盒子组裂缝不发育,但局部发育断层,可视为烃源岩与储层间的运移通道,从而使得天然气富集成藏[21-27]。其储层品质指数为
| $ RQI = 0.031\;4\sqrt {\frac{K}{\varphi }} $ | (1) |
式中:K为渗透率,mD;φ为孔隙度,%。
RQI可作为反映微观孔隙结构与岩石物理性质的参数,其与产量呈正相关关系(图 10),说明孔喉半径大、分选性好、渗透率高的储层有利于天然气聚集。整体上,上石盒子组的储层品质指数大于下石盒子组,这与区内上石盒子组天然气无阻流量高于下石盒子组的情况相吻合。
5 结论(1) 鄂尔多斯盆地东缘地区石盒子组的岩石类型以长石岩屑砂岩为主;岩屑含量较高,其类型以火山岩岩屑为主;填隙物以黏土矿物为主。石盒子组孔隙类型以微米级溶蚀孔为主,孔喉连通性和分选性较差。下石盒子组砂体横向连通性与含气单砂体厚度好于上石盒子组,但上石盒子组储层物性更好。石盒子组储层物性整体较差,但个别层段由于裂缝发育使得储集物性变好。
(2) 鄂尔多斯盆地东缘地区储层致密化的主要成因为压实作用与胶结作用,而上石盒子组长石颗粒及岩屑的溶蚀作用是使其储集物性好于下石盒子组的关键。进一步研究发现,当黏土矿物体积分数<5%时,如绿泥石含量较少时,在碎屑颗粒表面形成的绿泥石膜,对储层物性起到保护作用,而当黏土矿物体积分数持续增加至>5% 时,便会大量充填于孔隙内,导致其含量与物性呈负相关关系。
(3) 就储层特征而言,鄂尔多斯盆地东缘地区上石盒子组的砂体厚度、物性影响气藏的整体分布;下石盒子组气藏除了砂体、物性、孔喉连通性、分选性的影响外,还受裂缝、断层、构造多方面因素的影响。储层品质指数(RQI)可以作为评价储层的一个重要参数,其中上石盒子组的储层品质指数大于下石盒子组,这与上石盒子组天然气产量较高相吻合。
| [1] |
刘喜杰, 马遵敬, 韩冬, 等. 鄂尔多斯盆地东缘临兴区块致密砂岩优质储层形成的主控因素. 天然气地球科学, 2018, 29(4): 481-490. LIU X J, MA Z J, HAN D, et al. Research on the main factors of high quality tight sandstone reservoir in Linxing block, Ordos Basin. Natural Gas Geosciences, 2018, 29(4): 481-490. |
| [2] |
田景春, 刘伟伟, 王峰, 等. 鄂尔多斯盆地高桥地区上古生界致密砂岩储层非均质性特征. 石油与天然气地质, 2014, 35(2): 183-189. TIAN J C, LIU W W, WANG F, et al. Heterogeneity of the Paleozoic tight sandstone reservoirs in Gaoqiao area of Ordos Basin. Oil & Gas Geology, 2014, 35(2): 183-189. |
| [3] |
刘晓鹏, 刘燕, 陈娟萍, 等. 鄂尔多斯盆地盒8段致密砂岩气藏微观孔隙结构及渗流特征. 天然气地球科学, 2016, 27(7): 1225-1234. LIU X P, LIU Y, CHEN J P, et al. Characteristics of micro pore structure and seepage in tight sandstone gas reservoir of the 8th section of Shihezi Formation in Ordos Basin. Natural Gas Geoscience, 2016, 27(7): 1225-1234. |
| [4] |
赵习森, 党海龙, 庞振宇, 等. 特低渗储层不同孔隙组合类型的微观孔隙结构及渗流特征: 以甘谷驿油田唐157井区长6储层为例. 岩性油气藏, 2017, 29(6): 8-14. ZHAO X S, DANG H L, PANG Z Y, et al. Microscopic pore structure and seepage characteristics of different pore assemblage types in ultra-low permeability reservoir: a case of Chang 6 reservoir in Tang 157 well area, Ganguyi Oilfield. Lithologic Reservoirs, 2017, 29(6): 8-14. |
| [5] |
宋明明, 韩淑乔, 董云鹏, 等. 致密砂岩储层微观水驱油效率及其主控因素. 岩性油气藏, 2020, 32(1): 135-143. SONG M M, HAN S Q, DONG Y P, et al. Microscopic water flooding efficiency and main controlling factors of tight sandstone reservoir. Lithologic Reservoirs, 2020, 32(1): 135-143. |
| [6] |
邱隆伟, 穆相骥, 李浩, 等. 鄂尔多斯盆地杭锦旗地区二叠系下石盒子组岩屑发育特征及其对储层物性的影响. 石油与天然气地质, 2019, 40(1): 24-33. QIU L W, MU X J, LI H, et al. Characteristics of detritus development in the Permian Lower Shihezi Formation in Hangjinqi area and its influence on reservoir physical properties. Oil & Gas Geology, 2019, 40(1): 24-33. |
| [7] |
冯小哲, 祝海华. 鄂尔多斯盆地苏里格地区下石盒子组致密砂岩储层微观孔隙结构及分形特征. 地质科技情报, 2019, 38(3): 147-156. FENG X Z, ZHU H H. Micro-pore structure and fractal characteristics of the Xiashihezi Formation tight sandstone reservoirs in Sulige area, Ordos Basin. Geological Science and Technology Information, 2019, 38(3): 147-156. |
| [8] |
王海燕, 孙维昭, 张智, 等. 鄂尔多斯盆地临兴地区上石盒子组致密砂岩储层特征及优质储层形成机制. 桂林理工大学学报, 2018, 38(3): 392-400. WANG H Y, SUN W Z, ZHANG Z, et al. Characteristics of tight sandstone reservoir and formation mechanism of high quality reservoir from the Upper Shihezi Formation in Linxing area, Ordos Basin. Journal of Guilin University of Technology, 2018, 38(3): 392-400. |
| [9] |
马超. 定北地区下石盒子组盒1段致密砂岩储层特征及影响因素. 岩性油气藏, 2015, 27(1): 89-94. MA C. Tight sandstone reservoir characteristics and influencing factors of He-1 member of the Lower Shihezi Formation in Dingbei area. Lithologic Reservoirs, 2015, 27(1): 89-94. |
| [10] |
任大忠, 周兆华, 梁睿翔, 等. 致密砂岩气藏黏土矿物特征及其对储层性质的影响: 以鄂尔多斯盆地苏里格气田为例. 岩性油气藏, 2019, 31(4): 42-53. REN D Z, ZHOU Z H, LIANG R X, et al. Characteristics of clay minerals and its impacts on reservoir quality of tight sandstone gas reservoir: a case from Sulige gas field, Ordos Basin. Lithologic Reservoirs, 2019, 31(4): 42-53. |
| [11] |
赵鹤森, 陈义才, 唐波, 等. 鄂尔多斯盆地定边地区长2储层非均质性研究. 岩性油气藏, 2011, 23(4): 70-74. ZHAO H S, CHEN Y C, TANG B, et al. Heterogeneity of Chang 2 reservoir in Dingbian area, Ordos Basin. Lithologic Reservoirs, 2011, 23(4): 70-74. |
| [12] |
郭艳琴, 何子琼, 郭彬程, 等. 苏里格气田东南部盒8段致密砂岩储层特征及评价. 岩性油气藏, 2019, 31(5): 1-11. GUO Y Q, HE Z Q, GUO B C, et al. Reservoir characteristics and evaluation of tight sandstone of He 8 member in southeastern Sulige gas field, Ordos Basin. Lithologic Reservoirs, 2019, 31(5): 1-11. |
| [13] |
刘琴琴, 陈桂华, 陈晓智, 等. 鄂尔多斯盆地L地区上古生界上石盒子组物源特征及其对储层的控制作用. 天然气地球科学, 2018, 29(8): 1094-1101. LIU Q Q, CHEN G H, CHEN X Z, et al. Characteristics of provenance and its impact on reservoir quality of Upper Shihezi Formation, L block, Ordos Basin. Natural Gas Geoscience, 2018, 29(8): 1094-1101. |
| [14] |
马东旭, 许勇, 吕剑文, 等. 鄂尔多斯盆地临兴地区下石盒子组物源特征及其与储层关系. 天然气地球科学, 2016, 27(7): 1215-1224. MA D X, XU Y, LYU J W, et al. Relationship between provenance and formation of Lower Shihezi Formation in the Linxing area, Ordos Basin, China. Natural Gas Geoscience, 2016, 27(7): 1215-1224. |
| [15] |
谢英刚, 孙新阳, 万欢, 等. 鄂尔多斯盆地临兴地区上石盒子组浅水三角洲沉积相研究. 非常规油气, 2017, 4(2): 13-21. XIE Y G, SUN X Y, WAN H, et al. A study of shallow-water deltaic facies from Upper Shihezi Formation in Linxing area, Ordos Basin. Unconventional Oil & Gas, 2017, 4(2): 13-21. |
| [16] |
郭明强, 周龙刚, 张兵, 等. 致密砂岩气水分布特征: 以鄂尔多斯盆地东部临兴地区为例. 天然气地球科学, 2020, 31(6): 855-864. GUO M Q, ZHOU L G, ZHANG B, et al. The regularity of gas and water distribution for tight sandstone: Case study of Linxing area, eastern Ordos Basin. Natural Gas Geoscience, 2020, 31(6): 855-864. |
| [17] |
刘畅, 王琪, 王应斌. 鄂尔多斯盆地临兴中区块上古生界盒8段储层发育控制因素. 中国海上油气, 2018, 30(1): 50-61. LIU C, WANG Q, WANG Y B. Research on controlling factors of reservoir development in Upper Paleozoic He 8 member of Linxing middle block, Ordos Basin. China Offshore Oil and Gas, 2018, 30(1): 50-61. |
| [18] |
刘玲, 汤达祯, 许浩. 临兴上古生界致密储层裂缝发育特征及对致密气富集影响. 高校地质学报, 2019, 25(3): 457-465. LIU L, TANG D Z, XU H. Development of fractures and its effects on gas accumulation in the Upper Paleozoic tight sandstone reservoirs of the Linxing block. Geological Journal of China Universities, 2019, 25(3): 457-465. |
| [19] |
吴锐, 邓金根, 蔚宝华, 等. 临兴区块石盒子组致密砂岩气储层压裂缝高控制数值模拟研究. 煤炭学报, 2017, 42(9): 2393-2401. WU R, DENG J G, WEI B H, et al. Numerical modeling of hydraulic fracture containment of tight gas reservoir in Shihezi Formation, Linxing block. Journal of China Coal Society, 2017, 42(9): 2393-2401. |
| [20] |
张海锋, 冯毅, 王文升, 等. 鄂尔多斯盆地东缘临兴区块煤系多目标储层构造裂缝定量预测. 中国煤炭地质, 2017, 29(3): 28-36. ZHANG H F, FENG Y, WANG W S, et al. Coal measures multitarget reservoir structural fracture quantitative prediction in Linxing block, eastern Ordos Basin. Coal Geology of China, 2017, 29(3): 28-36. |
| [21] |
陈刚, 丁超, 徐黎明, 等. 鄂尔多斯盆地东缘紫金山侵入岩热演化史与隆升过程分析. 地球物理学报, 2012, 55(11): 3731-3741. CHEN G, DING C, XU L M, et al. Analysis on the thermal history and uplift process of Zijinshan intrusive complex in the eastern Ordos Basin. Chinese Journal of Geophysics, 2012, 55(11): 3731-3741. |
| [22] |
丁超, 陈刚, 张宏发, 等. 鄂尔多斯盆地东部紫金山岩体地球化学与构造环境分析. 矿物岩石, 2011, 31(3): 74-81. DING C, CHEN G, ZHANG H F, et al. Geochemical characteristics and geological environment of Zijinshan complex in the eastern Ordos Basin. Chinese Journal of Geophysics, 2011, 31(3): 74-81. |
| [23] |
曹代勇, 聂敬, 王安民, 等. 鄂尔多斯盆地东缘临兴地区煤系气富集的构造-热作用控制. 煤炭学报, 2018, 43(6): 1526-1532. CAO D Y, NIE J, WANG A M, et al. Structural and thermal control of enrichment conditions of coal measure gases in Linxing block of eastern Ordos Basin. Journal of China Coal Society, 2018, 43(6): 1526-1532. |
| [24] |
李勇, 汤达祯, 许浩, 等. 鄂尔多斯盆地东缘煤层气构造控气特征. 煤炭科学技术, 2014, 42(6): 113-117. LI Y, TANG D Z, XU H, et al. Characteristics of structural controlled coalbed methane in east margin of Ordos Basin. Coal Science and Technology, 2014, 42(6): 113-117. |
| [25] |
王琳琳, 姜波, 屈争辉. 鄂尔多斯盆地东缘煤层含气量的构造控制作用. 煤田地质与勘探, 2013, 41(1): 14-19. WANG L L, JIANG B, QU Z H. Structural control on gas content distribution in eastern margin of Ordos Basin. Coal Geology and Exploration, 2013, 41(1): 14-19. |
| [26] |
王锡勇, 张庆龙, 王良书, 等. 鄂尔多斯盆地东缘中-新生代构造特征及构造应力场分析. 地质通报, 2010, 29(8): 1168-1176. WANG X Y, ZHANG Q L, WANG L S, et al. Structural features and tectonic stress fields of the Mesozoic and Cenozoic in the eastern margin of the Ordos Basin, China. Geological Bulletin of China, 2010, 29(8): 1168-1176. |
| [27] |
AMAEFULE J O, ALTUNBAY M, TIAB M, et al. Enhanced reservoir description: Using core and log data to identify hydraulic (flow) units and predict permeability in uncored intervals/wells. SPE 26436, 1993, 205-220. |
2021, Vol. 33


