气井出水是气田在开发过程中不可避免的问题,且具有很大的危害。出水后,气井产能会逐渐降低,甚至会出现气井完全水淹的情况,这会降低气田的最终采收率,严重影响气井的经济效益[1-3]。目前国内主要是采用气水分采、阻排水并用、控气排水等方式来治理气井出水。堵水调剖是提高原油采收率的有效技术[4-7],如果能用堵水技术直接解决气井出水问题,不仅可以降低成本,还能避免处理排水采气工艺的产出水,遏制地层出砂、管线腐蚀和结垢等现象的出现[8-11]。英买力区块主要为带底油的断背斜型块状底水凝析气藏,气藏条件较为复杂,原始地层压力为50.950 MPa,主力产层段的地层温度为106.70 ℃,气田地层水为氯化钙型,总矿化度约为230 000 mg/L,属于高温、高压、高盐的“三高”气藏。该气藏于2007年4月开始以一套井网衰竭式的方式进行开采,采气速度高于方案设计使得压降增大,储量减少,同时由于水体活跃,水体能量大,导致全气田过半气井因含水过高而无法正常生产[12-14]。
室内研究表明聚合物冻胶可有效抑制气井的出水[15-17]。Chen等[18]利用部分水解聚丙烯酰胺进行了气井堵水作业,结果表明,HPAM可大幅降低储层中的水相渗透率,对气相渗透率几乎没有影响,但对于高温高盐条件下的气井堵水效果较差;Unocal生产开发技术公司也研究了用有机冻胶进行气井堵水的技术,并在加拿大某气田成功应用[19];Chenevière等[20]利用冻胶对印度尼西亚Tunu气田进行堵水作业时,气井的出水量降低了,但是产气量也明显减少,未能降水增气。针对英买力气藏堵水需求,本文开展耐温耐盐选择性化学堵水剂方面的研究并提出气井疏堵一体化技术,采用气液同注或气液分注的方式,建立气相渗流通道,通过室内物理模拟实验对其控水疏气效果进行评价,以期为英买力气藏治水提供技术支持。
1 实验部分 1.1 实验材料及仪器实验材料:聚合物APR,分子量约为500万(实验自制)、聚乙烯亚胺(工业级)、改性氧化铝纳米颗粒(工业级)、硫脲(分析纯)、石英砂(0.075~0.180 mm)。
实验用水:冻胶液的配制及驱替用水均为英买力气藏地层水,水质参数如表 1所列。
|
|
下载CSV 表 1 英买力气藏地层水离子组成 Table 1 Properties of formation brine in Yingmaili gas reservoir |
实验仪器:填砂管、WT型电子天平、JJ-1型搅拌器、DHG-1电热恒温鼓风干燥箱、HH-1型水浴锅、HH-2油浴锅、UTL多功能调流调驱装置。
1.2 实验方法 1.2.1 冻胶配制先将聚合物APR配制成一定浓度的母液,同时按照一定比例用英买力地层水溶解交联剂;再向交联剂溶液中加入一定比例的聚合物母液,用搅拌器搅拌均匀;然后通过天平称取20 g上述成胶液注入安瓿瓶中,利用酒精喷灯将安瓿瓶封口;最后将其置于恒温箱中,考察冻胶强度、成胶时间及脱水率。
1.2.2 冻胶强度及成胶时间测定冻胶强度通过Sydansk的Gel Strength Codes定性测定[21],具体强度级别如表 2所列。本文将强度达到F级的时间称为成胶时间,若冻胶强度无法达到F级,则将达到冻胶最终强度的初始时间作为该冻胶的成胶时间。
|
|
下载CSV 表 2 冻胶强度级别 Table 2 Gel strength codes |
将配成的成胶液装在多个安瓿瓶中,待其成胶后在设置时间节点从恒温箱中取出。将安瓿瓶打开,用天平称量冻胶脱出水的质量,该质量与初始成胶液的质量(20 g)之比即为脱水率。
1.2.4 耐温抗盐性能评价测定不同温度及不同矿化度下冻胶体系的成胶时间、成胶强度和脱水率。利用填砂管进行物理模拟实验,用0.150~0.180 mm和0.096 mm的石英砂以2∶1的比例混合均匀,在30 cm填砂管中填砂并压实,保证其水驱渗透率在1 000 mD左右,采用“正注反驱”的方式,先正注地层水再反注冻胶液,成胶后再注入地层水,在不同温度及不同矿化度下测定其驱替压差的变化来评价其耐温抗盐性能。
1.2.5 控水疏气实验在室内条件下模拟气藏条件,采用气液同注或气液分注的方式将冻胶注入渗透率约为1 000 mD的填砂管内,然后在107 ℃条件下成胶,待其成胶后,通过在107 ℃恒温环境中测定不同注入参数下的水驱和气驱的驱替压差的变化,对比冻胶对水和气的封堵性能,从而优选出控水疏气效果好的注入方式。
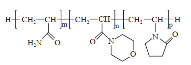
2 结果与讨论 2.1 体系构建通常认为聚合物冻胶具有优异的堵水效果[22]。丙烯酰胺/丙烯酰吗啉/乙烯吡咯烷酮三元共聚物(APR)是一个具有双环结构的三元共聚物(图 1),由于分子结构中引入了双环结构,分子的空间位阻显著增大,聚合物的水解与降解受到抑制,因而耐温抗盐性能大幅提高,除此之外双环结构增加了聚合物的疏水亲气性,有利于气流通道的建立。同时由于聚乙烯亚胺分子结构中的伯胺和仲胺,可与APR聚合物分子链上的羰基碳发生亲核取代反应,并形成共价键[23-24]。与金属交联剂形成的配位键相比,共价键具有更好的耐温抗盐性能,且纳米粒子对聚合物的网络结构具有增效增韧作用,有助于提高其耐温抗盐及长期稳定性,因此采用聚乙烯亚胺、纳米粒子增效剂作为交联剂,与APR配制冻胶。聚合物在高温条件下易发生氧化降解,因此需要在冻胶体系中加入一定量的除氧剂来抑制聚合物氧化降解[25]。冻胶中常用的除氧剂有硫脲、亚硫酸钠、硫代硫酸钠等,其中硫脲在高温高盐条件下的除氧效果较好,因此首先选择硫脲作为冻胶的除氧剂。
|
下载原图 图 1 丙烯酰胺/丙烯酰吗啉/乙烯吡咯烷酮三元共聚物结构 Fig. 1 Structure of acrylamide/acrolyl morpholine/ vinylpyrrolidone terpolymer |
初选聚合物质量分数为0.5%,0.6%,0.8%,1.0%,1.2%,交联剂质量分数为0.1%,0.2%,0.4%,0.6%,0.8%,1.0%,改性氧化铝纳米颗粒质量分数为0.1%,0.2%,0.4%,0.6%,0.8%,1.0%,硫脲质量分数为0.005%,0.075%,0.100%,0.200%,0.300%,进行正交实验,综合考察冻胶的成胶时间、成胶强度、稳定性及经济性等因素,最终确定体系配方为1% 丙烯酰胺/丙烯酰吗啉/乙烯吡咯烷酮三元共聚物(APR)+ 0.6% 聚乙烯亚胺+ 0.6% 改性氧化铝纳米颗粒+ 0.2% 硫脲。该体系在矿化度为23.33×104 mg/L、温度为107 ℃时,成胶时间为14 h,冻胶强度为G,180 d脱水率仅为2.6%。同时利用扫描电镜对冻胶进行结构表征,结果(图 2)显示,冻胶呈致密的网络状结构,说明形成的冻胶具有很高的强度,稳定性很强。
|
下载原图 图 2 冻胶扫描电镜 Fig. 2 Image of SEM after gel gelling |
将配制好的控水疏气APR冻胶体系分别置于107 ℃,120 ℃,130 ℃,140 ℃,150 ℃的高温烘箱中,考察温度对冻胶成胶时间、成胶强度和脱水率性能的影响。实验结果(表 3)表明,该冻胶体系耐温性能良好,随着温度升高,冻胶强度几乎没有变化,冻胶的成胶时间缩短,180 d脱水率也不断升高,但脱水率都比较小。在实验考察的温度范围内,冻胶的脱水率均小于7.5%,可以满足英买力气藏目的层107 ℃的需求。
|
|
下载CSV 表 3 温度对冻胶成胶时间、强度及其脱水率的影响 Table 3 Effect of temperature on gelation time, gel strength and dehydration rate |
利用填砂管进行物理模拟实验,考察了温度对冻胶堵剂封堵性能的影响。先用2 mL/min的流速向填砂管中注入3 PV的地层水,然后用1 mL/min的流速反向注入0.5 PV的冻胶成胶液,之后将体系分别置于107 ℃,120 ℃,130 ℃的恒温箱中,成胶后分别在107 ℃,120 ℃,130 ℃恒温条件下用1 mL/min的流速正向注入地层水进行驱替,测试其封堵性能(图 3)。
|
下载原图 图 3 不同温度对冻胶封堵性能的影响 Fig. 3 Effect of temperature on plugging performance of gel |
从图 3可看出,当注入的冻胶液成胶后,107 ℃,120 ℃,130 ℃这3个体系的驱替压差均先随着注水量的增加急剧增大,达到极限驱替压差后,驱替压差均随着注水量的增加逐渐缓慢降低,最终分别稳定在0.96 MPa,1.03 MPa,0.50 MPa。由此可见,该冻胶体系在高温条件下具有较好的封堵性能,英买力区块的目的层温度为107 ℃,冻胶体系在温度上可以满足该区块地层的温度需求。
2.2.2 耐盐性能评价将地层水按比例稀释或者浓缩后配制成胶液,并将体系置于107 ℃的恒温箱中待其成胶,考察矿化度对冻胶成胶时间、成胶强度和脱水率的影响。实验结果(表 4)表明,随着矿化度的升高,冻胶的成胶时间缩短,冻胶强度增大,180 d脱水率也不断升高,但脱水率都比较小。这可能是由于APR聚合物为非离子型聚合物,盐浓度的升高对其扩散双电层影响较小,同时还会破坏酰胺基与水通过氢键形成的溶剂化水膜,使其交联速度加快,缩短了成胶时间。在实验考察的矿化度区间,冻胶的180 d脱水率均小于10%,表明该凝胶在高矿化度条件下具有良好的稳定性,可以满足英买力区块地层的矿化度要求。
|
|
下载CSV 表 4 矿化度对冻胶成胶时间、强度及其脱水率的影响 Table 4 Effect of salinity on gelation time, gel strength and dehydration rate |
利用填砂管进行物理模拟实验,实验中先用2 mL/min的流速向填砂管中注入3 PV的地层水,然后用1 mL/min的流速分别反向注入2组0.5 PV的冻胶成胶液(一组冻胶成胶液用地层水配制,另一组冻胶成胶液用矿化度为250 000 mg/L的模拟地层水配制),之后将体系置于107 ℃的恒温箱中成胶,成胶后在107 ℃恒温条件下再用1 mL/min的流速正向注入地层水,测试其封堵性能(图 4)。
|
下载原图 图 4 矿化度对冻胶封堵性能的影响 Fig. 4 Effect of salinity on plugging performance of gel |
从图 4可以看出,当注入的成胶液成胶后,地层水体系和矿化度为250 000 mg/L的冻胶体系初始的驱替压差分别为0.35 MP和0.25 MP,在第2次正向注水的过程中,二者的驱替压差梯度曲线变化趋势基本相似,注入压力不断升高,封堵强度迅速增大,直到达到极限值1.93 MP和1.74 MP时突破了冻胶的封堵极限。之后二者的驱替压差均随着注水量的增加逐渐缓慢减低,最后稳定在0.95 MP和0.93 MP,说明冻胶体系在高矿化度条件下具有较好的封堵性能,可以满足英买力区块地层的矿化度需求,甚至矿化度达到250 000 mg/L时,该体系依然具有较好的封堵性能。
2.3 控水疏气实验性能在实验室中利用填砂管进行物理模拟实验,先用2 mL/min的流速向填砂管中注入3 PV的地层水,然后以0.5 mL/min的流速反向注入0.5 PV的冻胶成胶液,在107 ℃温度下成胶后,再以2 mL/min的速度分别注水进行水驱和注气进行气驱(N2),考察常规注入堵剂时冻胶的堵水疏气能力(图 5)。
|
下载原图 图 5 常规注入堵剂时冻胶的堵水疏气能力 Fig. 5 Water control and gas dredge ability of gel in con‐ ventional plugging agent injection |
从图 5可看出,注水和注气(N2)的驱替曲线变化基本相似,随着水驱或气驱的进行,驱替压差先是快速增大,而后当压力超过冻胶的封堵极限后,驱替压差缓慢减小,在注气达到4.5 PV时,气驱的驱替压差急剧下降。这表明,冻胶成胶后对水具有很强的封堵效果,同时对气也有一个很长时间的封堵,需要一个较大的注气量才能突破封堵建立气流通道,堵水疏气效果并不理想。
2.3.1 成胶液和气体同时注入对控水疏气的影响由于常规注入堵剂的堵水疏气效果较差,故使用气液同注的方式来解决控水疏气问题,并考察不同注气速度下冻胶对水气的封堵能力。
实验中先用2 mL/min的流速向填砂管中注入3 PV的地层水,然后以0.5 mL/min的流速注入0.5 PV的冻胶成胶液,接着分别以2 mL/min,4 mL/ min,10 mL/min,20 mL/min的流速注入N2,成胶后以2 mL/min的速度分别注水进行水驱和注气进行气驱(N2),考察气液同注体系成胶后对水和气的封堵能力(图 6)。
|
下载原图 图 6 气液同注注气(N2)速度冻胶对水气封堵性能的影响 Fig. 6 Effect of gas injection rate(N2)on the performance of gel plugging water and gas with gas and liquid injection together |
实验结果(图 6)表明,当气体注入速度分别为2 mL/min,4 mL/min,10 mL/min,20 mL/min时,水驱的最大驱替压差分别为4.20 MPa,3.77 MPa,2.86 MPa,1.39 MPa;气驱的最大驱替压差分别为2.89 MPa,2.19 MPa,1.85 MPa,0.85 MPa。随着注气速度的增加,水驱和气驱的极限驱替压差均不断降低,且平衡驱替压差也越来越接近,说明注气速度的增加会产生更大的气流通道,不仅气体通过水也能通过该通道,使得冻胶对水的封堵能力逐渐变差,对气体的封堵能力也逐渐变差,堵水疏气效果也越来越差。虽然冻胶对水的封堵能力是对气的封堵能力的5倍,但需要在后续气驱过程中注入大量的气体(7 PV)才能达到这个效果[图 6(a)],故采用气液同注的方法堵水疏气效果并不理想。
2.3.2 先注成胶液后注气体对控水疏气的影响气液同注的方法虽然可以起到堵水疏气的效果,但效果并不理想,故进一步考察气液分注的方式对水气封堵能力的影响,并研究在气液分注方式下气体注入量冻胶对水气封堵能力的影响。实验中先用2 mL/min的流速向填砂管中注入3 PV的地层水,然后以0.5 mL/min的流速注入0.5 PV的冻胶成胶液,紧接着分别注入2 PV,4 PV,6 PV,8 PV的N2,待冻胶成胶后,以2 mL/min的速度分别注水进行水驱和注气进行气驱(N2),考察采用气液分注的方式注入不同量N2后冻胶的堵水疏气(图 7)。
|
下载原图 图 7 气液分注气体(N2)注入量冻胶对水气封堵性能的影响 Fig. 7 Effect of gas injection(N2)amount on the performance of gel plugging water and gas with alternated injection of gas and liquid |
实验结果(图 7)表明,当注气量分别为2 PV,4 PV,6 PV,8 PV的N2时,水驱的最大驱替压差分别为3.78 MPa,3.40 MPa,3.09 MPa,1.65 MPa,气驱的最大驱替压差分别为2.40 MPa,1.88 MPa,1.19 MPa,0.60 MPa。随着气体注入量的增加,水驱和气驱的最大驱替压差均不断降低,即冻胶对水的封堵能力逐渐变差,对气体的封堵能力也逐渐变差。当注气量小于8 PV时,水驱和气驱的平衡驱替压差的差值变化不大,这表明气液同注的方法在堵住水的同时,虽然会较小程度地影响气流通道的建立,但仍然具有很好的堵水疏气效果。同时也可以发现,在注气量为2 PV[图 7(a)]和6 PV[(图 7(b)]时的堵水疏气效果最好,冻胶对水的封堵能力约是对气封堵能力的9倍。相较而言,当注气量为6 PV时,在后续气驱过程中只需少量的气体(2 PV)即可达到较好的堵水疏气效果,而当注气量为2 PV时,在后续气驱过程中需注入大量的气体(7 PV)才能达到相同的堵水疏气效果。因此,选择6 PV的注入气量作为最优的注气量。
2.3.3 不同注入介质对控水疏气效果的影响与气液同注的方式相比,气液分注的堵水疏气效果更好,故在先注成胶液后注气体的基础上,进一步研究不同注入介质冻胶对水气的封堵能力的影响(图 8)。实验中先用2 mL/min的流速向填砂管中注入3 PV的地层水,然后以0.5 mL/min的流速注入0.5 PV的冻胶成胶液,紧接着分别注入6 PV不同的气体介质:CO2和CH4,成胶后以2 mL/min的速度分别注水进行水驱和注气进行气驱(N2),考察采用气液分注方式注入等量但不同介质的气体后冻胶的堵水疏气能力。
|
下载原图 图 8 气液分注不同注入介质冻胶对水气封堵性能的影响 Fig. 8 Effect of gas injection media on the performance of gel plugging water and gas with alternated injection of gas and liquid |
实验结果(图 8)表明,注入介质为N2,CO2和CH4时,水驱的最大驱替压差分别为3.09 MPa,2.80 MPa和2.91 MPa,气驱的最大驱替压差分别为1.19 MPa,0.94 MPa和0.66 MPa,之后随着注水量或注气量的增加驱替压差缓慢降低,最后趋于稳定,水驱的驱替压差最终分别稳定在2.09 MPa,1.75 MPa和1.85 MPa,气驱的驱替压差最终分别稳定在0.23 MPa,0.42 MPa和0.28 MPa。由此可见,注入介质对冻胶堵水疏气性能影响很小,相对来说N2的堵水疏气能力更强。
3 结论(1) 通过室内实验优选了适用于塔里木油田英买力区块高温、高压、高盐“三高”气藏条件的冻胶堵水体系,其配方为1% 丙烯酰胺/丙烯酰吗啉/乙烯吡咯烷酮三元共聚物(APR)+0.6% 聚乙烯亚胺+ 0.6% 改性氧化铝纳米颗粒+0.2% 硫脲。
(2) 该APR冻胶体系具有良好的耐温抗盐性和长期热稳定性,在107~150 ℃的地层水条件下(矿化度为23.33×104 mg/L),成胶时间在2~14 h内可调可控,冻胶强度保持在G级,180 d脱水率最大仅为7.1%;在矿化度为230 000 mg/L的英买力地层水体系中冻胶强度保持在G级,成胶时间大于10 h,180 d脱水率小于10%,且具有良好的封堵性能。
(3) 物理模拟实验表明,APR冻胶体系在堵疏一体化方式上,采用气液同注的方式虽然可以起到堵水疏气的效果,但效果并不理想,冻胶对水的封堵能力约是对气的封堵能力的5倍,且在后续气驱时要注入较大的气量才能达到这个效果;采用气液分注的方式,先注入0.5 PV的冻胶,再注入6 PV的N2时,堵水疏气能力最强,冻胶对水的封堵能力是对气的封堵能力的9倍。
| [1] |
王小东, 王记俊, 韩明彬. 边底水气藏提高采收率技术对策研究. 吐哈油气, 2012, 17(1): 40-44. WANG X D, WANG J J, HANG M S. Discussion on enhanced oil recovery technology in edge and bottom water gas reservoir. Tuha Oil & Gas, 2012, 17(1): 40-44. |
| [2] |
曲占庆, 雷锡岳, 叶卫保, 等. 新北油田气井选择性堵水技术研究与应用. 西安石油大学学报(自然科学版), 2017, 32(6): 56-60. QU Z Q, LIE X Y, YE W B, et al. Research and application of selective water plugging technology for gas wells in Xinbei Oilfield. Journal of Xi'an Shiyou University(Natural Science Edition), 2017, 32(6): 56-60. DOI:10.3969/j.issn.1673-064X.2017.06.008 |
| [3] |
刘翔, 赵春, 赵志宏. 疏松砂岩气井堵水工艺技术研究. 2015年全国天然气学术年会论文集, 2015, 82-87. LIU X, ZHAO C, ZHAO Z H. Study on water plugging technology of loose sandstone gas well. Proceedings of 2015 National Natural Gas Academic Annual Conference, 2015, 82-87. |
| [4] |
王秋语. 国外高含水砂岩油田提高水驱采收率技术进展. 岩性油气藏, 2012, 24(3): 123-128. WANG Q Y. Technical progress for improving waterflood recovery efficiency of foreign high water cut sandstone oilfield. Lithologic Reservoirs, 2012, 24(3): 123-128. DOI:10.3969/j.issn.1673-8926.2012.03.024 |
| [5] |
张保康, 徐国瑞, 铁磊磊, 等. 堵水+调剖" 工艺参数优化和油藏适应性评价: 以渤海SZ36-1油田为例. 岩性油气藏, 2017, 29(5): 155-161. ZHANG B K, XU G R, TIE L L, et al. Optimization of technological parameters and evaluation of reservoir adaptation by water plugging and profile control: A case from Bohai SZ36-1 oilfield. Lithologic Reservoirs, 2017, 29(5): 155-161. DOI:10.3969/j.issn.1673-8926.2017.05.019 |
| [6] |
任晓娟, 李晓骁, 鲁永辉, 等. 改进型HV高强度凝胶堵水体系的应用. 岩性油气藏, 2018, 30(5): 131-137. REN X J, Ll X X, LU Y H, et al. Application on HV high-strength gel water plugging system. Lithologic Reservoirs, 2018, 30(5): 131-137. |
| [7] |
韩培慧, 闫坤, 曹瑞波, 等. 聚驱后油层提高采收率驱油方法. 岩性油气藏, 2019, 31(2): 143-150. HAN P H, YAN K, CAO R B, et al. Oil displacement methods for enhanced oil recovery after polymer flooding. Lithologic Reservoirs, 2019, 31(2): 143-150. |
| [8] |
王平美, 罗健辉, 白风鸾, 等. 国内外气井堵水技术研究进展. 钻采工艺, 2001, 24(4): 28-30. WANG P M, LUO J H, BAI F L, et al. The status quo of water shutoff technology in gas well at home and abroad. Drilling & Production Technology, 2001, 24(4): 28-30. DOI:10.3969/j.issn.1006-768X.2001.04.008 |
| [9] |
郭平, 景莎莎, 彭彩珍. 气藏提高采收率技术及其对策. 天然气工业, 2014, 34(2): 48-55. GUO P, JING S S, PENG C Z. Technology and countermeasures for gas recovery enhancement. Natural Gas Industry, 2014, 34(2): 48-55. DOI:10.3787/j.issn.1000-0976.2014.02.007 |
| [10] |
戴彩丽, 冯海顺, 简家斌, 等. 耐高温冻胶泡沫选择性堵水剂: 适用于东海气田高温气藏堵水稳产. 天然气工业, 2015, 35(3): 60-67. DAI C L, FENG H S, JIAN J B, et al. A selective water-plugging system with heat-resistant gel foam: A case study from the East China Sea gas field. Natural Gas Industry, 2015, 35(3): 60-67. DOI:10.3787/j.issn.1000-0976.2015.03.009 |
| [11] |
许寒冰, 李宜坤, 魏发林, 等. 天然气井化学堵水新方法探讨. 石油钻采工艺, 2013, 35(5): 111-117. XU H B, LI Y K, WEI F L, et al. Novel technical method discussion on chemical water shut-off for gas wells. Oil Drilling & Production Technology, 2013, 35(5): 111-117. DOI:10.3969/j.issn.1000-7393.2013.05.031 |
| [12] |
陈哲. 英买7区块凝析气藏储层精细描述及流体分布规律研究. 北京: 中国石油大学(北京), 2017. CHEN Z. The fine description and the study of fluid distribution of condensate gas reservoir in the Yingmai 7 area. Beijing: China University of Petroleum(Beijing), 2017. |
| [13] |
唐善法, 周理志, 张大椿, 等. 英买7-19凝析气藏储层液相伤害评价. 天然气工业, 2009, 29(1): 82-85. TANG S F, ZHOU L Z, ZHANG D C, et al. Liquid damage evaluation of condensate gas reservoir Yingmai 7-19. Natural Gas Industry, 2009, 29(1): 82-85. DOI:10.3787/j.issn.1000-0976.2009.01.023 |
| [14] |
苗忠英, 张秋茶, 陈践发, 等. 英买力地区天然气地球化学特征. 天然气工业, 2008, 28(6): 40-43. MIAO Z Y, ZHANG Q C, CHEN J F, et al. Geochemical behaviors of natural gas in Yingmaili area, the Tarim Basin. Natural Gas Industry, 2008, 28(6): 40-43. DOI:10.3787/j.issn.1000-0976.2008.06.009 |
| [15] |
WASSMUTH F R, GREEN K, HODGINS L, et al. Water shutoff in gas wells: Proper gel placement is the key to success. SPE Production & Facilities, 2004, 19(4): 217-227. |
| [16] |
DOVAN H T, HUTCHINS R D. New polymer technology for water control in gas wells. SPE Production & Facilities, 1994, 9(4): 280-286. |
| [17] |
KARIMI S, ESMAEILZADEH F, MOWLA D. Identification and selection of a stable gel polymer to control or reduce water production in gas condensate fields. Journal of Natural Gas Science & Engineering, 2014, 21: 940-950. |
| [18] |
CHEN T, YONG Z, PENG K, et al. A relative permeability modifier for water control of gas wells in a low-permeability reservoir. SPE Reservoir Engineering, 1996, 11(3): 168-173. |
| [19] |
HUTCHINS R D, DOVAN H T, SANDIFORD B B. Field applications of high temperature organic gels for water control. SPE 35444, 1996. |
| [20] |
CHENEVIÈRE P, FALXA P. ALFENORE J, et al. Chemical water shut off interventions in the Tunu gas field: Optimization of treatment fluids, well interventions and operational challenges. SPE 95010,, 2005. |
| [21] |
JIA H, PU W F, ZHAO J Z, et al. Experimental investigation of the novel phenol formaldehyde cross-linking HPAM gel system: Based on the secondary cross-linking method of organic crosslinkers and its gelation performance study after flowing through porous media. Energy Fuels, 2011, 25(2): 727-736. |
| [22] |
付美龙, 陈刚, 唐善法, 等. 油田化学原理. 北京: 石油工业出版社, 2015: 198-201. FU M L, CHEN G, TANG S F, et al. Principles of oilfield chemistry. Beijing: Petroleum Industry Press, 2015: 198-201. |
| [23] |
贾虎, 蒲万芬. 有机凝胶控水及堵水技术研究. 西南石油大学学报(自然科学版), 2013, 35(6): 141-152. JIA H, PU W F. Research on water control and water shutoff technologies of organic-gel. Journal of Southwest Petroleum University(Science Technology Edition), 2013, 35(6): 141-152. |
| [24] |
LIU Y. Study on a new type of temperature and salt resistant selective plugging agent. Chengdu: Southwest Petroleum University, 2017. |
| [25] |
YANG S H, TREIBER L E. Chemical stability of polyacrylamide under simulated field conditions. SPE 14232, 1985. |
2021, Vol. 33


