渤海油田渤南探区历经近50年的勘探,发现了一批大中型油气田,贡献了渤海油田近1/4的产量[1]。随着渤南探区勘探程度越来越高,大中型油田的发现难度越来越大。为了寻求勘探新突破,渤南探区将勘探方向由成熟的构造油气藏转向更为复杂的岩性油气藏,并选择莱北地区作为岩性油气藏勘探的主攻方向[2]。垦利6-1油田储层以大型复合河道砂体为主,埋藏浅、孔隙度高(平均孔隙度约35%)、固结程度低、地层疏松。这种高孔疏松地层加之部分地区浅层气及气云对地震波的衰减效应,导致地震资料保幅性差[3-4]。另一方面,薄层及薄互层发育,储层叠置关系及流体响应规律的判断是影响井位部署的关键因素[5-6]。受地震资料品质以及储层预测技术的制约,莱北地区的勘探历经三十多年,没有取得大型商业发现。
在岩性勘探领域,国内外学者们开展了大量研究工作。在薄层识别方面,李国发等[7]利用薄互层模型分析了反射振幅及瞬时频率与砂体累计厚度之间的关系,得出当薄互层的累计厚度小于1/4波长时,薄互层对应的反射振幅和瞬时频率具有与单砂体模型相似的特征,砂体累计厚度越大,地震反射振幅越强,瞬时频率越小,为岩性边界识别提供了指导;Bosch等[8]提出一种融合地质统计学的反演方法,实现了孔隙度及含水饱和度的预测;印兴耀等[9]提出了一种基于弹性阻抗资料的储层物性参数反演方法,实现了稳定性好、精度高的储层物性参数反演;燕庚等[10]针对岩性圈闭中河道砂、岩性上倾尖灭、古潜山的识别,开展了基于层序地层格架的岩性圈闭识别与描述两步法技术,在南图尔盖盆地的岩性上倾尖灭及变质岩潜山等3类岩性圈闭的勘探实践中取得了较好效果。对于渤海油田,在岩性勘探方面的研究相对较少,国内外岩性勘探的研究成果在一定程度上可以提供思路上的借鉴和参考。
首先,以低频能量为参考,构建并使用三维时频空间域校正因子,弥补远、近炮检距高频衰减差异对AVO分析的影响,提升叠前道集的保幅性,实现低频约束的时频空间域AVO校正。然后,采用高分辨率复谱分解方法获得高、低频数据,并利用低频数据,通过井刻度法建立视砂地比体,约束高频数据随机反演,提高复合砂体的刻画精度,实现基于三维砂地比约束的分频迭代随机反演。最后,分别求取砂体的能量衰减因子、厚度分布、AVO等属性,以流体因子异常与构造高低匹配程度为准则,通过三维坐标旋转实现三参数的数据融合处理,削弱非烃异常影响,实现三元约束流体检测,以期解决该地区叠前道集AVO保幅性差、薄互层砂体地震精细刻画难度大及流体检测精度低等难题,以降低勘探风险。
1 地质概况莱北低凸起位于渤海南部海域,北邻黄河口凹陷,南接莱州湾凹陷,东西向被郯庐走滑断裂带夹持,整体呈北东向略狭长的菱形(图 1)[11]。新近系地层为受伸展断层控制的向东南方向抬升的单斜构造,被断层进一步复杂化。主要目的层新近系处于湖盆的坳陷期,构造活动相对稳定,缓慢沉降,沉积特征以河流的进积作用为主,形成了分布广泛的湖相-浅水三角洲沉积体系,砂体分布明显受分流河道控制,且分流河道摆动频繁。河道的频繁摆动导致砂体的宽度、厚度不断发生变化,形成垂向叠置、侧向拼接的复合河道砂体。构造区紧邻黄河口富生烃凹陷,油源充足,河流相砂体发育,储盖组合较好[12],是勘探工作者长期以来的重点研究对象。自20世纪70年代以来,中海油、中石油及壳牌等多家石油公司分别以潜山、古近系和新近系为主要勘探目的层系开展了多轮研究,近40年内先后部署十余口探井,投入了大量资金,仅在新近系和古近系见零星薄油层,未获商业油气发现[2]。近年来,受“汇聚脊控制源外油气成藏和富集”新认识的指导,由传统的构造圈闭搜索转变为“汇聚脊”上的岩性圈闭落实,结合地震描述技术对明化镇组下段沉积砂体的精细识别刻画,最终实施钻探发现了垦利6-1这一亿吨级岩性油田。
|
下载原图 图 1 渤海海域垦利6-1油田区域位置(a)及岩性地层综合柱状图(b) Fig. 1 Location(a)and stratigraphic column(b)of Kenli 6-1 oilfield in Bohai Sea |
由于渤海海域新近系普遍存在高孔隙度、未压实地层和复杂断层,吸收衰减效应明显,导致叠前道集AVO保幅性差[13]。具体表现为叠前道集的AVO响应在低频段与正演道集吻合度高,但在高频段匹配性差。虽然在资料处理阶段开展了基于Q值的振幅补偿[14],但受Q值精度的影响,只能消除较大的振幅异常,无法满足与炮检距有关的吸收补偿的精度要求,导致基于AVO规律的叠前储层预测及油气检测技术难以有效应用。
针对上述问题,基于叠前道集的低频分量更容易保持真实的AVO响应的认识,将高精度复谱分解分频技术与AVO技术[15]相结合,提出了一种低频约束的时间-频率-空间域AVO响应校正方法。首先,通过高精度时频分析对不同频率地震道集的AVO规律进行综合分析,充分利用低频信息受吸收衰减影响更小的特点,优选AVO趋势稳定的频率成分作为参考能量。然后,构建出同时受频率、炮检距和深度影响的,更加客观准确的三维校正因子。最后,利用构建的三维校正因子补偿叠前道集远、近炮检距的高频衰减差异对AVO趋势的影响,解决叠前道集高、低频AVO趋势矛盾,相互干扰的问题,进而提高原始叠前道集的AVO相对保幅性[16]。
高精度复谱分解方法是一种高精度地震信号分解与重构算法。先将谱分解描述为一个线性反演问题,然后采用稀疏约束正则化策略求解该线性反演问题,最终得到一个具有高时频分辨率的时频谱。其数学模型表达式为
| $ \mathit{\boldsymbol{Ax}}{\rm{ + }}\mathit{\boldsymbol{n}} = \left( {{\mathit{\boldsymbol{W}}_1}{\mathit{\boldsymbol{W}}_2} \cdots {\mathit{\boldsymbol{W}}_i}} \right){\left( {{\mathit{\boldsymbol{r}}_1}{\mathit{\boldsymbol{r}}_2} \cdots {\mathit{\boldsymbol{r}}_i}} \right)^{\rm{T}}} + \mathit{\boldsymbol{n}} = \mathit{\boldsymbol{d}} $ | (1) |
式中:i = 1,2,…,N;d为地震记录;Wi为以第i个频率为主频的复子波矩阵;ri为与Wi相对应的复反射系数;N为频率个数;A为复子波卷积矩阵库;x为与频率相关的复反射系数矩阵;n为随机噪声。
由于矩阵x的元素个数远大于地震记录d的元素个数,因此求解式(1)是一个欠定的线性反演问题。为了降低解的不确定性并获得稀疏的时频谱,需要对x执行稀疏约束,将式(1)转化为基追踪去噪问题,即
| $ \mathop {\min }\limits_{x \in {C^m}} \left\| x \right\|1 + \frac{1}{{2\mu }} + \left\| {\mathit{\boldsymbol{Ax}} - \mathit{\boldsymbol{d}}} \right\|_2^2 $ | (2) |
式中:权重参数μ > 0,用于在最小化过程中控制前、后2项的相对权重;Cm表示m维复数域。通过采用高效稳健的交替方向优化算法[16]求解式(2)的无约束基追踪去噪问题,可得到高分辨率时频谱x。
本文提出的时频空间域AVO响应校正方法实现的关键步骤如下:
首先,构建出原始叠前道集不同频带的三维AVO响应校正因子,其表达式为
| $ H\left( {\theta , \hat t, {b_i}} \right) = \frac{{P\left( {\hat t, {b_i}} \right)Y\left( {\theta , \hat t, {b_r}} \right)}}{{P\left( {\hat t, {b_i}} \right)Y\left( {\theta , \hat t, {b_i}} \right)}} $ | (3) |
式中:θ为入射角,
然后,对原始叠前道集的不同频带数据
| $ d_w^C\left( {\theta , \hat t, {b_i}} \right) = {d_w}\left( {\theta , \hat t, {b_i}} \right)H\left( {\theta , \hat t, {b_i}} \right) $ | (4) |
最后,对校正后的不同频带数据
| $ d_w^C(\theta ,\hat t) = \sum _{i = 1}^nd_w^C = (\theta ,\hat t,{b_i}) $ | (5) |
将正演模拟道集(图 2a)和AVO响应校正前、后的井旁地震道集及对应的AVO响应进行对比分析。原始叠前道集及AVO曲线(图 2b)显示目标储层为第Ⅳ类AVO响应,这与正演道集储层为第Ⅲ类AVO响应相矛盾。产生这一结果的原因是研究区新近系地层为高孔隙度欠压实地层,且受浅层气、复杂断裂等因素的综合影响,地层吸收衰减作用明显,使地震道集中远炮检距的能量迅速减弱,保幅性变差,因此原始叠前道集无法满足后续基于AVO规律的叠前分析和反演的要求。三维校正因子补偿后的道集及AVO曲线(图 2c),显示目标储层为第Ⅲ类AVO响应,与正演模拟道集的储层AVO响应特征一致,该校正方法较好地恢复了叠前道集的真实AVO规律,这一结果为基于AVO规律的叠前技术在渤海油田广泛应用提供了可靠的基础资料。
|
下载原图 图 2 渤海海域垦利6-1油田AVO响应校正前、后地震道集及AVO曲线对比 Fig. 2 Comparison of seismic gathers and AVO curves before and after correction of AVO response in Kenli 6-1 oilfield, Bohai Sea |
渤海油田莱北地区垦利6-1油田新近系明化镇组下段(以下简称明下段)发育大量河道型薄互层砂体,其储量规模占总地质储量的80% 左右,河道多期发育、叠置连片,储层预测已成为制约该区新近系油气勘探的关键因素。为了做好薄互层的识别,通常需要对地震资料采用拓展高频成分提高分辨率的方法进行处理[17-18],然而这种做法一方面会造成地震波组关系不协调,另一方面也会导致部分较厚储层无法准确识别,甚至可能产生假的同相轴,造成储层识别假象。如何准确识别莱北地区储层展布及砂体间的接触关系是该区岩性勘探的重点。
研究结果表明,分别分析低频数据对于厚层段的响应和采用高频数据对于薄层段的刻画,其结果明显优于直接采用宽频数据同时识别厚层和薄层。以地震道积分和井上蓝谱趋势为基础,通过采用高分辨率复谱分解方法对宽频数据进行分频处理,分别获得低频数据和高频数据。首先对低频地震数据进行90°相位转换,得到能够表征储层整体发育情况的低频地震转换数据。相对于低频地震数据而言,目标区的储层都可以视为薄层或者薄互层。通过统计分析和公式推导可以得到薄互层在低频地震90°相位转换数据中的振幅调谐响应与储层厚度的对应关系为
| $ Amp \approx Am{p_1}(G)\left( {\frac{{Net}}{G}} \right) $ | (6) |
式中:Amp为薄互层振幅;Amp1(G)为薄层振幅;Net为净厚度,ms;G为毛厚度,ms。
结合已知井的测井解释成果,可以得到砂地比的表达式:
| $ \frac{{Net}}{{{G_{\rm{A}}}}} = \frac{{Amp\left( {\frac{G}{{{G_{\rm{A}}}}}} \right)}}{{Am{p_1}\left( G \right)}} $ | (7) |
式中:GA为视厚度,ms。
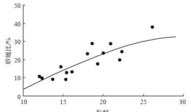
对渤海油田莱北地区垦利6-1油田储层参数统计分析,发现低频地震数据的振幅与明下段砂地比存在一定的对应关系,振幅越大砂地比越高(图 3)。因此,基于式(7),建立低频随机反演结果与砂地比的对应关系,将其转化为三维砂地比约束体。将三维视砂地比体作为高频数据随机反演[19]的约束条件,最终得到高精度的分频迭代约束随机反演结果,更加准确地刻画薄储层和厚储层,反映储层间的叠置关系。
|
下载原图 图 3 渤海海域垦利6-1油田视砂地比与振幅的关系 Fig. 3 Relationship between apparent sand to stratum ratio and amplitude in Kenli 6-1 oilfield, Bohai Sea |
常规的地质统计学反演将井上统计的岩性参数作为相控约束条件,此时阻抗的后验概率密度[20]可表示为
| $ P\left\{ {m\left| {\left[ {f\left( t \right),d} \right]} \right.} \right\} = f\left( t \right).P\left[ {m\left| {f\left( t \right)} \right.} \right].P\left( {d/m} \right) $ | (8) |
式中:f(t)为岩性概率;m为待反演参数;
值得注意是,岩性概率f(t)只与纵向深度有关,不能刻画岩性的横向变化。因此,提出了基于三维砂地比约束的分频迭代随机反演方法,该方法利用公式(7)得到三维砂地比模型f(t,x,y)(岩性概率体),并将其作为相控约束条件,改进传统地质统计学反演方法,此时公式(8)被改写为
| $ P\left\{ {m\left| {\left[ {f\left( {t, x, y, } \right), d} \right]} \right.} \right\} = f\left( {t, x, y, } \right).P\left[ {m\left| {f\left( {t, x, y, } \right)} \right.} \right].P\left( {d\left| m \right.} \right) $ | (9) |
式中的三维岩性概率体f(t,x,y)是空变的,能刻画岩性的横向变化。
由于井数据和随机模拟参数的约束能力减弱,常规随机反演结果精度达不到要求,无法准确反映储层厚度和储层叠置连通关系,而将低频数据体转化得到的三维砂地比体作为高频随机反演的约束,充分利用了低频和高频信息。三维砂地比约束分频迭代随机反演的剖面不但能够准确地刻画储层厚度,还能够有效地反映储层叠置连通关系(图 4)。
|
下载原图 图 4 渤海海域垦利6-1油田常规随机反演(a)与分频随机反演(b)阻抗对比 Fig. 4 Comparison of conventional stochastic inversion (a)and frequency-divided stochastic inversion(b)in Kenli 6-1 oilfield, Bohai Sea |
研究区垦利5-1-1d井在新近系明下段1395砂体钻遇厚5.7 m的油层,在常规反演结果中表现为点状分布,无法确定统一的砂体描述准则,钻前难以进行有效刻画(图 5a),而基于分频随机反演方法得到的储层预测结果则有效地反映了该砂体为多期砂体叠置,从剖面上可以看出3期砂体的发育情况和叠置关系(图 5b)。分别采用常规反演和分频随机反演方法对该区砂体平面展布进行预测,结果显示常规反演结果中河道为断续强反射,整体河道特征不明显(图 6a),而分频随机反演预测结果中,河道特征明显,3期河道接触关系更加清楚(图 6b)。三维砂地比约束分频迭代随机反演在渤海油田莱北地区的成功应用,也证明地球物理反演技术的创新实现了对薄互层砂体期次的“平面定性分析”到“平剖三维空间综合判别”的进步。
|
下载原图 图 5 渤海海域垦利6-1油田垦利5-1-1 d井常规反演(a)与分频随机反演(b)储层预测剖面对比 Fig. 5 Comparison of reservoir prediction profiles between conventional inversion(a)and frequency-divided stochastic inversion(b)of well Kenli 5-1-1 d in Kenli 6-1 oilfield, Bohai Sea |
|
下载原图 图 6 渤海海域垦利6-1油田常规反演(a)与分频随机反演(b)储层预测波阻抗属性的平面分布对比 Fig. 6 Comparison of impedance attributes in reservoir prediction between conventional inversion(a)and frequency-divided stochastic inversion(b)in Kenli 6-1 oilfield, Bohai Sea |
渤海油田莱北地区垦利6-1油田新近系主要含烃储层厚度通常小于1/4地震波长,砂体厚度越小,地震流体响应规律越复杂,薄互层结构下的油层响应规律往往与厚水层差异不大,导致“储层厚度”与“流体性质”2种常见的地震响应主控因素难以有效分离,复杂岩性油气藏的勘探成功率难以提高。
基于渤海油田莱北地区多口已钻井钻探结果,结合多套地震资料、物性、厚度、含油气性等参数,对该区明下段流体检测结果分析认为地震流体检测精度的提高必须综合考虑流体性质、储层厚度和物性等的影响。首先利用吸收分析技术[21]获得高精度的储层能量衰减因子,然后在高精度三维砂地比约束的分频迭代随机反演数据基础上获得更为准确的砂体厚度信息,最后利用低频约束的时频空间域AVO校正技术优化处理后的叠前道集构建物性指示因子,提出多参数融合的三元流体检测思路。对每个砂体分别提取对应的能量衰减因子、厚度和AVO属性3个相互独立的空间变量,借助三维坐标旋转技术,以流体因子异常情况与构造高低匹配程度为准则优选旋转角度,实现这3个空间变量的数据融合,形成新的流体因子。新的流体因子可削弱非烃异常影响,提高地震流体异常与构造高低信息的匹配度,提升含油气预测结果的可解释性。
通过综合分析不同属性参数可知,能量衰减、厚度和AVO属性是研究区明下段流体检测结果的主控因素。因此,可以利用这3个相对独立的属性参数构建三维空间,通过三维坐标旋转技术获得特定角度的空间流体识别矢量。该矢量经过岩石物性散点的质心,可代表新的属性组合参数,且能达到最佳的油水区分效果,这一新的属性组合参数便为三维流体识别因子,其中坐标旋转角度由流体因子异常与构造高低的匹配程度为准则进行寻优确定(图 7)
|
下载原图 图 7 渤海海域垦利6-1油田以流体因子异常与构造高低匹配程度为准则的三维旋转示意图 Fig. 7 Three-dimensional rotation diagram based on the matching degree of fluid factor anomaly and structure in Kenli 6-1 oilfield, Bohai Sea |
根据Euler定理可知,三维空间中的三维旋转矩阵表达式为
| $ \mathit{\boldsymbol{R}}\left( {\alpha , \beta , \gamma } \right) = {\mathit{\boldsymbol{R}}_x}{\mathit{\boldsymbol{R}}_y}{\mathit{\boldsymbol{R}}_z} = \left[ {\begin{array}{*{20}{c}} 1&0&0\\ 0&{{C_x}}&{{S_x}}\\ 0&{ - {S_x}}&{{C_x}} \end{array}} \right]\left[ {\begin{array}{*{20}{c}} {{C_y}}&0&{ - {S_y}}\\ 0&1&0\\ {{S_y}}&0&{{C_y}} \end{array}} \right]\left[ {\begin{array}{*{20}{c}} {{C_z}}&{{S_z}}&0\\ { - {S_z}}&{{C_z}}&0\\ 0&0&1 \end{array}} \right]\left[ {\begin{array}{*{20}{c}} {{C_y}{C_z}}&{{C_y}{S_z}}&{ - {S_y}}\\ {{S_x}{S_y}{S_z} - {C_x}{S_z}}&{{S_x}{S_y}{S_z} + {C_x}{S_z}}&{{S_x}{C_y}}\\ {{C_x}{S_y}{C_z} + {S_x}{S_z}}&{{C_x}{S_y}{S_z} - {S_x}{C_z}}&{{C_x}{C_y}} \end{array}} \right] $ | (10) |
式中:α,β,γ分别为沿x,y,z轴的旋转角度,(º);Cx = cosα;Sx = sinα;Cy = cosβ;Sy = sin β;Cz = cosγ;Sz = sinγ。
由于厚度属性、AVO属性和能量衰减属性均为归一化处理后的正值,所以流体识别矢量必定位于三维空间中的第一象限内。如果采用上述方法进行旋转,则需要依次确定3个方向的旋转角度,过程复杂。因此,利用坐标系平移法将储层属性参数的散点质心放置在新坐标系原点上,则流体识别矢量在新坐标系中通过沿z轴的一次旋转和沿x轴的一次旋转后与z轴重合。旋转后储层属性参数散点在z轴上的投影对流体具有最好的识别效果,z值即为新的流体识别因子。旋转矩阵表达式为
| $ \mathit{\boldsymbol{R}}\left( {\alpha , \beta , \gamma } \right) = {\mathit{\boldsymbol{R}}_x}{\mathit{\boldsymbol{R}}_z} = \left[ {\begin{array}{*{20}{c}} 1&0&0\\ 0&{{C_x}}&{{S_x}}\\ 0&{ - {S_x}}&{{C_x}} \end{array}} \right]\left[ {\begin{array}{*{20}{c}} {{C_z}}&{{S_z}}&0\\ { - {S_z}}&{{C_z}}&0\\ 0&0&1 \end{array}} \right] = \left[ {\begin{array}{*{20}{c}} {{C_z}}&{{S_z}}&0\\ { - {C_x}{S_z}}&{ - {C_x}{S_z}}&{{S_x}}\\ {{S_x}{S_z}}&{ - {S_x}{C_z}}&{{C_x}} \end{array}} \right] $ | (11) |
实际应用中,利用三维流体识别因子进行流体检测的流程如下:①根据本文提出的方法分别提取砂体能量衰减、厚度和AVO平面属性;②将3种属性值进行归一化处理;③通过三维空间旋转搜索得到特定角度的空间矢量,并计算流体异常面积与深度等值区面积的比值;④按照特定步长进行全空间搜索,得到流体异常面积与深度等值区面积的比值最大的一组旋转角度,即把流体异常与构造高低最佳匹配方案定为最终的流体检测标准。
分别用常规方法与新方法对垦利6-1油田31口井49个砂体中流体的检测结果进行交会分析,结果显示常规流体检测方法更多依赖地震振幅强度,其预测结果中油、气、水无法区分(图 8a);而应用新方法后属性交会图显示厚水层和薄油层混叠区范围得到明显压制(图 8b),烃类检测异常与构造吻合度更高(图 9)。
|
下载原图 图 8 渤海海域垦利6-1油田常规方法(a)和新方法(b)流体区分度对比 Fig. 8 Comparison of fluid discrimination between conventional method(a)and new method(b)in Kenli 6-1 oilfield, Bohai Sea |
|
下载原图 图 9 渤海海域垦利6-1油田烃类检测异常与构造吻合度分析 Fig. 9 Analysis of coincidence between hydrocarbon detection anomaly and structure in Kenli 6-1 oilfield, Bohai Sea |
莱北地区垦利6-1油田常规烃检与新方法烃检吻合率统计对比显示,在地震资料改善和储层精细表征基础上开展针对性的烃检技术研究和应用后,莱北地区砂体含油气预测吻合率由70% 提升到93%,岩性油气藏勘探的成功率得到进一步提升(图 10)
|
下载原图 图 10 渤海油田莱北地区垦利6-1油田常规烃检与新方法烃检吻合率统计 Fig. 10 Statistical comparison of coincidence rate of hydrocarbon detection between conventional and new method in Lenli 6-1 oilfield, Bohai Sea |
(1)AVO反演技术在渤海油田莱北地区垦利6-1油田的应用结果表明,在低频约束的时频空间域进行AVO响应校正时综合考虑频率、炮检距和深度对校正因子的影响,可以有效提高原始叠前道集的AVO相对保幅性。
(2)三维砂地比约束的分频迭代随机反演技术提高了大型复合河道叠置关系判断和储层厚度描述的精度,主要采用高分辨复谱分解获得高、低频数据,低频数据通过井刻度建立视砂地比体,约束高频数据进行随机反演。
(3)三元约束流体检测技术提升了海上岩性油气藏勘探的成功率,主要利用储层能量衰减属性、厚度属性和AVO属性3个相互独立的空间变量,借助三维坐标旋转技术,以流体因子异常情况与构造高低匹配程度为准则优选旋转角度,实现这3个空间变量的数据融合,形成新的流体因子,使砂体含油气性预测吻合率由70% 提升到93%。
| [1] |
薛永安, 杨海风, 黄江波, 等. 渤海海域浅层油气运移成藏理论技术创新与勘探突破. 中国海上油气, 2020, 32(2): 14-23. XUE Yong'an, YANG Haifeng, HUANG Jiangbo, et al. Technological and theoretical innovations in the shallow hydrocarbon migration and accumulation of the Bohai Sea and the exploration breakthroughs. China Offshore Oil and Gas, 2020, 32(2): 14-23. |
| [2] |
薛永安. 渤海海域垦利6-1油田的发现与浅层勘探思路的重大转变. 中国海上油气, 2021, 33(2): 1-12. XUE Yong'an. Discovery of KL6-1 oilfield and great change of shallow strata exploration ideas in Bohai Sea. China Offshore Oil and Gas, 2021, 33(2): 1-12. |
| [3] |
张志军, 周东红. 数据驱动的"气云"区振幅补偿方法. 石油地球物理勘探, 2016, 51(3): 474-479. ZHANG Zhijun, ZHOU Donghong. Amplitude compensation in gas cloud area based on a data-driven algorithm. Oil Geophysical Prospecting, 2016, 51(3): 474-479. |
| [4] |
周东红, 夏同星, 曹盛, 等. 气云区地震成像关键处理技术: 以渤海湾某油田为例. 地球物理学进展, 2018, 33(6): 2613-2618. ZHOU Donghong, XIA Tongxing, CAO Sheng, et al. Key imaging technologies of gas cloud area: A case study in Bohai Bay. Progress in Geophysics, 2018, 33(6): 2613-2618. |
| [5] |
陈守田, 孟宪禄. 薄互层储层预测方法. 石油物探, 2004, 43(1): 33-36. CHEN Shoutian, MENG Xianlu. A method for prediction of reservoirs of thin interbedded layers. Geophysical Prospecting for Petroleum, 2004, 43(1): 33-36. DOI:10.3969/j.issn.1000-1441.2004.01.008 |
| [6] |
王延光, 李皓, 李国发, 等. 一种用于薄层和薄互层砂体厚度估算的复合地震属性. 石油地球物理勘探, 2020, 55(1): 153-160. WANG Yanguang, LI Hao, LI Guofa, et al. A composite seismic attribute used to estimate the sand thickness for thin bed and thin interbed. Oil Geophysical Prospecting, 2020, 55(1): 153-160. |
| [7] |
李国发, 王亚静, 熊金良, 等. 薄互层地震切片解释中的几个问题: 以一个三维地质模型为例. 石油地球物理勘探, 2014, 49(2): 388-393. LI Guofa, WANG Yajing, XIONG Jinliang, et al. Phenomena in inter-bed reservoir interpretation on seismic slices: An example of 3D geological model. Oil Geophysical Prospecting, 2014, 49(2): 388-393. |
| [8] |
BOSCH M, CARVAJAL C, RODRIGUES J, et al. Petrophysical seismic inversion conditioned to well-log data: Methods and application to a gas reservoir. Geophysics, 2009, 74(2): 1-15. |
| [9] |
印兴耀, 崔维, 宗兆云, 等. 基于弹性阻抗的储层物性参数预测方法. 地球物理学报, 2014, 57(12): 4132-4140. YIN Xingyao, CUI Wei, ZONG Zaoyun, et al. Petrophysical property inversion of reservoirs based on elastic impedance. Chinese Journal of Geophysics, 2014, 57(12): 4132-4140. DOI:10.6038/cjg20141224 |
| [10] |
燕庚, 孔令洪. 层序地层格架下的岩性圈闭识别与描述技术: 哈萨克斯坦南图尔盖盆地实例. 石油地球物理勘探, 2013, 48((增刊1)): 139-145. YAN Geng, KONG Linghong. Identification and characterization of lithological traps within sequence stratigraphic framework: A case study of South Turgay Basin, Kazakhstan. Oil Geophysical Prospecting, 2013, 48(Suppl 1): 139-145. |
| [11] |
徐长贵, 杨海风, 王德英, 等. 渤海海域莱北低凸起新近系大面积高丰度岩性油藏形成条件. 石油勘探与开发, 2021, 48(1): 12-25. XU Changgui, YANG Haifeng, WANG Deying, et al. Formation conditions of Neogene large-scale high-abundance lithologic reservoir in the Laibei low uplift, Bohai Sea, East China. Petroleum Exploration and Development, 2021, 48(1): 12-25. |
| [12] |
杨海风, 牛成民, 柳永军, 等. 渤海垦利6-1新近系大型岩性油藏勘探发现与关键技术. 中国石油勘探, 2020, 25(3): 24-32. YANG Haifeng, NIU Chengmin, LIU Yongjun, et al. Discovery and key exploration technology of KL6-1 large lithologic oil reservoir of Neogene in the Bohai Bay Basin. China Petroleum Exploration, 2020, 25(3): 24-32. DOI:10.3969/j.issn.1672-7703.2020.03.003 |
| [13] |
DUAN Xinyi, TAN Huihuang, ZHANG Shengqiang, et al. The study and application of AVO analysis based on spectrum-reconstruction method[C]. SEG Technical Program Expanded Abstracts, 2018: 650-654.
|
| [14] |
ROSS Christopher P. Seismic offset balancing. Geophysics, 1994, 59(1): 93-101. DOI:10.1190/1.1443538 |
| [15] |
张艳, 高世臣, 孟婉莹, 等. 致密砂岩储层AVO正演模拟过程中的不确定性分析. 岩性油气藏, 2020, 32(6): 120-128. ZHANG Yan, GAO Shichen, MENG Wanying, et al. Uncertainty analysis in AVO forward modeling for tight sandstone reservoirs. Lithologic Reservoirs, 2020, 32(6): 120-128. |
| [16] |
张生强, 张志军, 郭军, 等. 时频空间域低频约束AVO响应校正方法. 石油地球物理勘探, 2021, 56(1): 137-145. ZHANG Shengqiang, ZHANG Zhijun, GUO Jun, et al. AVO response correction constrained by low-frequency components in time-frequency-space domain. Oil Geophysical Prospecting, 2021, 56(1): 137-145. |
| [17] |
王波, 夏同星, 刘垒, 等. 薄互层高分辨率定量雕刻方法及应用: 以渤海A油田为例[C]. 南京: SPG/SEG南京2020年国际地球物理会议, 2020: 627-630. WANG Bo, XIA Tongxing, LIU Lei, et al. Thin interlayer highresolution quantitative engraving method and its application: A case study in Bohai oilfield[C]. Nanjing: SPG/SEG Nanjing 2020 International Geophysical Conference, 2020: 627-630. |
| [18] |
罗泽, 谢明英, 涂志勇, 等. 一套针对高泥质疏松砂岩薄储层的识别技术: 以珠江口盆地X油田为例. 岩性油气藏, 2019, 31(6): 95-101. LUO Ze, XIE Mingying, TU Zhiyong, et al. A set of recognition techniques for thin reservoirs with unconsolidated high-argillaceous sandstone: A case study from X oilfield in Pearl River Mouth Basin. Lithologic Reservoirs, 2019, 31(6): 95-101. |
| [19] |
贺东阳, 李海山, 何润, 等. 基于混合高斯先验分布的地质统计学反演. 岩性油气藏, 2021, 33(3): 113-119. HE Dongyang, LI Haishan, HE Run, et al. Geostatistical inversion based on Gaussian mixture prior distribution. Lithologic Reservoirs, 2021, 33(3): 113-119. |
| [20] |
王朋岩, 李耀华, 赵荣. 叠后MCMC法岩性反演算法研究. 地球物理学进展, 2015, 30(4): 1918-1925. WANG Pengyan, LI Yaohua, ZHAO Rong. Algorithm research of post-stack MCMC lithology inversion method. Progress in Geophysics, 2015, 30(4): 1918-1925. |
| [21] |
刘桓, 苏勤, 曾华会, 等. 近地表Q补偿技术在川中地区致密气勘探中的应用. 岩性油气藏, 2021, 33(3): 104-112. LIU Huan, SU Qin, ZENG Huahui, et al. Application of near-surface Q compensation technology in tight gas exploration in central Sichuan Basin. Lithologic Reservoirs, 2021, 33(3): 104-112. |
2022, Vol. 34



