2. 油气钻完井技术国家工程研究中心, 北京 102206;
3. 中国石油大学(北京)地球科学学院, 北京 102249
2. National Engineering Research Center of Oil & Gas Drilling and Completion Technology, Beijing 102206, China;
3. College of Geosciences, China University of Petroleum(Beijing), Beijing 102249, China
庆城油田是中国石油长庆油田公司在鄂尔多斯盆地中生界延长组长7段发现的中国最大的页岩油田,探明地质储量为3.58×108 t,预测地质储量为6.93×108 t,合计为10.51×108 t,实现了长7段页岩油勘探的历史性突破[1]。鄂尔多斯盆地长7段下部发育的一套“张家滩页岩”,有机质丰度最高可以达到29.90%,有机质类型以Ⅱ1型和Ⅱ2型为主,正处于生烃的高峰期,具有极好的生烃潜力,被认为是含油层系的主力烃源岩[2]。因此,确定烃源岩有效性、评估烃源岩有机质丰度成为近年来勘探领域的研究重点。针对烃源岩的研究通常从岩心、岩屑入手,但受制于岩心测试样品的数量,仅仅通过实测有机碳(TOC)含量评估有机质丰度的方法无法展现纵向或平面上烃源岩连续变化的特征,难以满足对页岩油精细勘探的需求[3]。与此同时,庆城地区具有较为丰富的常规测井资料,可以采用实测地球化学数据与测井资料相结合的方法定量评价烃源岩有机质含量,再进一步根据单井预测数据即可开展烃源岩在空间上分布特征的研究[4]。王贵文等[5]采用了ΔlogR法作为测井资料计算TOC含量的方法,这种方法具有TOC评价便捷、测井曲线特征响应快速的优点,后经过朱光有等[6]提出变系数ΔlogR法进一步修正完善;杨涛涛等[7]采用了自然伽马(GR)测井法,记录衰变元素的放射强度,获得了较好的自然伽马与TOC含量的线性关系;杨少春等[8]则是采用了BP神经网络模型对烃源岩进行测井评价,这种方法加入了人为优化,可以有效解决非线性复杂问题,降低估算值误差。在进行方法优选对比中发现,庆城地区三叠系长7段烃源岩TOC含量通常并不只由1个或2个自变量决定,而上述方法一般只针对单因素进行分析。多元线性回归法在面对多个具有较好相关性的不相关自变量时分析结果通常优于单因素分析,利用三维模型进行表征时也可以清楚展示变量之间的相关性。因此,本文采用三维多元线性回归法对烃源岩TOC含量进行预测。
根据实测TOC数据,结合单井测井曲线,采用三维多元线性回归法对鄂尔多斯盆地庆城地区三叠系长7段页岩油藏烃源岩TOC含量进行预测,并分析烃源岩对页岩油成藏的控制作用,以期为鄂尔多斯盆地长7段页岩油勘探提供依据。
1 地质概况鄂尔多斯盆地是在华北地台基础上发展演化形成的[9],构造上处在伊陕地台西缘与贺兰地穹之间的过渡地带,呈西倾的平缓大单斜,是一个多旋回沉积型克拉通盆地[10],总面积约25×104 km2。鄂尔多斯盆地的地质构造具有稳定性和活动性双重特征,前者主要体现在盆地本部整体升降,且地层分布较为平缓,缺乏大型褶皱和岩浆活动;后者主要表现为基底镶嵌增生、周缘构造发育等特征[11]。鄂尔多斯盆地在构造上划分为6个一级构造单元[12],分别是伊陕斜坡、天环坳陷、晋西挠褶带、西缘逆冲带、伊盟隆起以及渭北隆起(图 1a)。盆地内部构造平缓,边缘褶皱和断层较为发育[13-14],在空间上呈现西陡东缓的构造格局[15-16]。构造演化上经历了形成、发展、全盛、衰退至消亡,最终形成了今天的鄂尔多斯盆地陆相碎屑沉积[17]。盆地地层较为完整,除了古生界寒武系、下奥陶统、上石炭统、二叠系;还有中生界三叠系的刘家沟组、和尚沟组、纸坊组、延长组等[18]。其中的长7段沉积时湖盆正处于发育最旺盛的时期,湖盆沉陷明显,范围广。平均沉积厚度为100 m,自上而下分为长71、长72和长73小层(图 1b)。其中长73小层主要发育一套被称为“张家滩页岩”的有机质黑色页岩[19],夹有薄层的粉、细砂岩;而长7段中上部沉积相主要为三角洲前缘和重力流沉积[20]。岩性上,从长71小层以暗色泥岩夹厚层粉细砂岩为主过渡到长72小层以黑色页岩、暗色泥岩夹薄层粉砂岩为主,最后到长73小层以黑色页岩夹薄层凝灰岩为主[21](图 1b)。
|
下载原图 图 1 鄂尔多斯盆地庆城地区构造位置(a)及三叠系长7段岩性地层综合柱状图(b) Fig. 1 Tectonic location (a) and stratigraphic column of Triassic Chang 7 member (b) of Qingcheng area in Ordos Basin |
庆城地区位于鄂尔多斯盆地西南部,处于伊陕斜坡西南部与天环凹陷南部。该区长7段大规模富集页岩油藏,是目前页岩油藏勘探开发的重点区域,面积约5.6×103 km2(图 1a)。长71和长72小层内部呈现大面积复合连片展布的砂体与暗色泥岩直接接触,下部长73小层黑色页岩形成了大面积的页岩油聚集。
2 烃源岩特征 2.1 岩石学特征选取鄂尔多斯盆地庆城地区长7段9口井的31块样品,其中长71小层样品3块,长72小层样品13块,长73小层样品15块。岩性包括粉砂质泥岩、暗色泥岩、黑色页岩等。通过对样品进行总有机碳测定、氯仿抽提、岩石热解、扫描电镜、XRD全岩矿物分析实验,研究了庆城地区长7段样品地球化学特征和孔隙类型,所选用样品的具体信息如表 1所列。
|
|
下载CSV 表 1 鄂尔多斯盆地庆城地区三叠系长7段烃源岩样品基本信息 Table 1 Basic information of source rock samples of Triassic Chang 7 member in Qingcheng area, Ordos Basin |
根据全岩矿物X射线衍射分析实验,研究区长7段烃源岩样品的矿物组成较为复杂,主要包括石英、长石、黏土矿物、黄铁矿、方解石、白云石等,不同小层之间的矿物组成差别较大。其中黏土矿物含量最高,在3个小层中的质量分数均大于50%;其次为石英和长石等碎屑矿物,质量分数为20%~ 30%;碳酸盐类矿物总体质量分数为6%~9%;黄铁矿含量较低。从长71小层到长73小层,样品的黏土矿物含量逐渐增高,石英和长石的含量逐渐降低。
2.2 有机质评价主要从TOC含量、氯仿沥青“A”、成熟度、含油饱和度指数(OSI)等多个方面对庆城地区三叠系长7段有机质进行评价。
研究区所选泥页岩样品中,长71小层样品的TOC为4.45%~5.63%,平均为5.01%;氯仿沥青“A”为0.44%~0.88%,平均为0.63%。根据中国陆相烃源岩有机质丰度评价标准[22],长71小层泥页岩样品为较好—好烃源岩。
长72小层泥页岩样品的TOC为1.89%~ 13.45%,平均为6.04%;氯仿沥青“A”为0.20%~ 1.10%,平均为0.67%。根据TOC与氯仿沥青“A”的交会图,二者相关系数为0.578 4,具有一定的正相关关系(图 2a)。通过Tmax指数分布研究,确定其中11个样品处于成熟阶段,1个样品达到高成熟阶段(图 2b)。根据Tmax与HI数据分布,有机质类型以Ⅱ1型和Ⅱ2型为主(图 2c)。为表征烃源岩样品的含油性与可动性,开展了热解参数S1与TOC关系研究,S1为0.85~5.34 mg/g,平均为2.32 mg/g,OSI值为29.65~124.50 mg/g,平均为67.89 mg/g,依据Jarvie[23]提出的OSI值评价标准,样品含油级别从低含油—具页岩油潜力级别均有分布,其中含油级别占主导(图 2d)。整体而言,研究区长72小层泥页岩样品属于较好—好烃源岩。
|
下载原图 图 2 鄂尔多斯盆地庆城地区三叠系长72小层泥页岩样品有机质地球化学特征 Fig. 2 Geochemical characteristics of organic matter of shale samples of Triassic Chang 72 submember in Qingcheng area, Ordos Basin |
长73小层泥页岩样品的TOC为2.13%~19.23%,平均为6.76%;氯仿沥青“A”为0.23%~1.23%,平均为0.73%。根据TOC与氯仿沥青“A”的交会图,二者相关系数为0.702 5,相关性较好(图 3a)。长73小层泥页岩样品中13个样品处于成熟阶段,2个样品达到高成熟阶段(图 3b)。有机质类型以Ⅱ2型为主,Ⅱ1型有机质占比较低(图 3c)。S1为1.45~5.83 mg/g,平均为2.54 mg/g,OSI为28.70~112.75 mg/g,平均为62.6 mg/g,以中含油级别为主(图 3d)。由此可见,研究区长73小层大部分泥页岩样品为好烃源岩,部分泥页岩样品为极好烃源岩。
|
下载原图 图 3 鄂尔多斯盆地庆城地区三叠系长73小层泥页岩样品有机质地球化学特征 Fig. 3 Geochemical characteristics of organic matter of shale samples of Triassic Chang 73 submember in Qingcheng area, Ordos Basin |
鄂尔多斯盆地长7油层组泥页岩中发育多种类型孔隙。在对烃源岩样品进行氩离子抛光处理后,利用扫描电镜(SEM)观察了泥页岩微观结构、矿物组成及孔隙类型,并依据Loucks等[24]的孔隙分类方案对样品孔隙类型进行划分。研究区长7段泥页岩中孔隙类型表现出较大差异,孔隙普遍为微米—纳米级,以纳米级为主[25]。从扫描电镜下观察到的孔隙类型以原生孔为主,Imagej定量统计表明原生孔相对体积分数可达70% 以上。镜下观察到的原生孔包含晶间孔隙、晶间-粒间孔隙、粒内孔及有机质收缩缝4种类型,其中占比最多的是矿物颗粒之间的晶间孔隙,其次为自生矿物和沉积碎屑颗粒之间的晶间-粒间孔隙;粒内孔多发育于黏土矿物内部,孔隙体积较小,在镜下同样可以观察到;有机质收缩缝通常发育于有机质内部,在4种孔隙类型中占比最小。其中广泛发育的晶间-粒间孔被认为是泥页岩中自生自储的有效储集空间(图 4)。
|
下载原图 图 4 鄂尔多斯盆地庆城地区三叠系长7段烃源岩样品的主要孔隙类型 (a)黄铁矿晶间孔,X88井,2 093.60 m;(b)晶间-粒间孔,R138井,2 032.40 m;(c)粒内孔,Zt78井,2 089.54 m;(d)有机质收缩缝,R63井,2 256.75 m。 Fig. 4 Main pore types of source rock samples of Triassic Chang 7 member in Qingcheng area, Ordos Basin |
(1)晶间孔隙
研究区长7段泥页岩样品中的晶间孔隙基本为黏土矿物、自身石英、黄铁矿等矿物之间的晶间孔隙。在中等有机质含量(TOC为3%~6%)的样品中,晶间孔隙通常出现在黄铁矿颗粒之间。该孔隙类型在泥页岩孔隙类型中占比较大,相对体积分数大于40%(图 4a)。
(2)晶间-粒间孔隙
研究区自生矿物晶体与沉积碎屑颗粒之间的混合孔隙称为晶间-粒间孔。在有机质含量低(TOC < 3%)的样品中,晶间-粒间孔隙主要以片状黏土矿物和板状长石颗粒的形式出现;在中等有机质含量(TOC为3%~6%)的样品中,主要以黏土矿物与石英等颗粒矿物混杂的形式出现。该孔隙类型在样品中分布广泛,各种有机质含量的样品中均可在镜下观察到大量晶间-粒间孔隙,相对体积分数达到32% 以上(图 4b)。
(3)粒内孔
样品中黏土矿物含量较高,镜下观察到黏土矿物的内部孔隙即为粒内孔,在形态上以不规则的絮状、针状为主,孔径较小,通常小于100 nm。在中等有机质含量的一些样品中,粒内孔以生物格架孔的形式出现,样品中该孔隙类型的相对体积分数约25%(图 4c)。
(4)有机质收缩缝
有机质收缩缝是由于有机质排烃或者热演化过程中失水导致有机质体积发生变化形成的微裂缝[26-27]。收缩缝通常发育于有机质内部,或者与矿物结合在边缘产生微孔隙(缝),一般呈弯曲状或者长条状分布,最大的收缩缝宽度可以达到180 nm。在一些中等有机质含量的样品和高有机质含量(TOC > 6%)的样品中,有机质呈条带状定向排列,边缘与中心有可以观察到收缩缝,但是颗粒中的有机质孔并不发育,推测是由于湖相页岩的生油阶段变化导致了这种情况的发生。收缩缝在镜下较少观察到,相对含量较低(图 4d)。
3 烃源岩有效性和展布特征 3.1 有效烃源岩的确定一般有效烃源岩评价标准只考虑残余有机质丰度,而忽略了关键的是否有烃类排出,因此,需要针对有效烃源岩的有机碳下限值进行研究。TOC含量下限的含义是当同一套烃源岩的生烃量达到烃源岩本身的吸附上限时,富余的烃类会脱离烃源岩,而内部的残留烃量会随之而降低。热解参数S1和氯仿沥青“A”代表烃源岩中已生成烃的残留状况,其数量与岩性、TOC含量、有机质类型及演化阶段具有密切关系。在相近的地质条件下,TOC含量与生烃量之间应该具有较好的正相关关系,即随着TOC含量增加,生烃量也增加。一般烃源岩生成的油气必须首先满足烃源岩本身在一定地质条件下的饱和吸附量,多余的烃类才会排出,而TOC值越高,相同条件下生烃量也应该越高,就越能满足饱和吸附,从而发生排烃[28]。
基于上述分析,研究区泥页岩TOC与S1呈正相关关系,但是当TOC增大到某一界限时,S1呈现下降趋势,表明此时部分烃类排出。采用S1/TOC参数进行表征,即残余生烃的转化率,既可以反映排烃特征,也可以根据图表拐点确定TOC的下限值。庆城地区长7段的主要烃源岩类型为暗色泥岩和黑色页岩,收集长7段样品实验数据,绘制TOC与和S1/TOC的关系图(图 5),确定研究区长7段有效烃源岩TOC下限值为1.5%。
|
下载原图 图 5 鄂尔多斯盆地庆城地区三叠系长7段烃源岩样品S1/TOC与TOC交会图 Fig. 5 Cross plot of S1/TOC and TOC content of source rock samples of Triassic Chang 7 member in Qingcheng area, Ordos Basin |
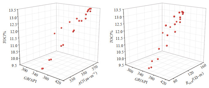
测井曲线对不同的岩性、不同TOC含量的层段以及不同的泥质含量均具有较好的响应特征,非常适合用于TOC预测。目前常用的TOC预测方法主要有多元回归线性法、ΔlogR法和多层前馈网络模型[29]。本文主要采用多元线性回归法对烃源岩TOC进行预测,建立适合研究区长7段的TOC数学模型。该方法的原理是烃源岩的自然伽马(GR)、电阻率(RLLD)和声波时差(AC)曲线具有极好的相关性,能够在纵向单井曲线上反映不同层段TOC含量的变化。在参数的选取上,GR,AC,RLLD和中子(DEN)均可作为基本预测曲线,其中DEN和TOC的相关性较差。应用GR,AC和RLLD这3个参数进行多元线性回归,两两组合,同TOC值作三维交会图,相关系数均达到0.8以上,回归的可靠性高。选取GR和AC,GR和RLLD进行二元回归拟合,根据拟合结果,最终以这3个参数对TOC进行预测(图 6)。
|
下载原图 图 6 鄂尔多斯盆地庆城地区三叠系长7段烃源岩TOC与电测参数三维交会图 Fig. 6 Three-dimensional cross plots of TOC content and electrical logging parameters of source rocks of Triassic Chang 7 member in Qingcheng area, Ordos Basin |
通过TOC与GR,AC以及TOC与GR,RLLD作三维交会图,明确其中GR-AC系数K值以及GR-RLLD系数,即各个三维电测参数对应的斜率。结合最佳拟合线,通过最小二乘法(OLS)的平方总和残留,明确公式的截距,最终得到预测TOC含量的三元回归公式:
| $ T O C=0.02 G R+0.05 A C+1.07 \lg R_{\mathrm{LLD}}-18.36 $ | (1) |
式中:GR为自然伽马值,API;AC为声波时差值,μs/m;RLLD为电阻率值,Ω·m。
选取研究区内TOC实测数据点数量大于30的B544井和B251井,根据式(1)计算TOC,将实测TOC的点位与测井解释柱状图中的计算TOC进行比对(图 7)。结果显示:B544井实测数据较多且分布紧密,与预测数据基本吻合,拟合情况良好(图 7a);B251井部分井位样品实测数据分布较稀疏,与预测数据存在不匹配情况,但是整体误差处于可接受范围(图 7b),证明该方法在研究区长7段具有较高的准确度。
|
下载原图 图 7 鄂尔多斯盆地庆城地区B544井(a)和B251井(b)三叠系长7段TOC预测柱状图 Fig. 7 Histogram of TOC prediction of Triassic Chang 7 member of well B544 (a) and well B251 (b) in Qingcheng area, Ordos Basin |
从2口井的实测TOC与计算TOC交会图可看出,B544井实测TOC数据与计算TOC数据相关系数接近0.9,相关性良好(图 8a);B251井实测TOC数据与预测TOC数据相关系数接近0.8,较B544井稍差(图 8b),可能是由于实测数据点数量较少,分布不够紧密导致的。由此可见,该预测模型在研究区长7段TOC预测中具有较好的匹配度,可以应用于该区长7段烃源岩研究。
|
下载原图 图 8 鄂尔多斯盆地庆城地区三叠系长7段实测TOC与计算TOC交会图 Fig. 8 Cross plots of measured TOC and calculated TOC of Triassic Chang 7 member in Qingcheng area, Ordos Basin |
为准确研究庆城地区长7段烃源岩的空间展布特征,需要针对该区烃源岩TOC进行确定性插值。常用的插值方法包括IDW(反距离权重法)、样条函数法和地统计自相关(即测量点之间的统计关系)法。地质上常采用Kriging模型外推法,该方法基于地统计自相关的统计模型,不仅具有产生预测表面的功能,还能够对预测的确定性或准确性提供某种度量,最重要的一点在于Kriging模型外推法假定采样点之间的距离或方向可以反映能用于说明表面变化的空间相关性。Kriging模型是利用随机函数在空间若干处的已知随机变量所求取的该随机函数在空间某一点处的随机变量的估计值进行外推,在地质上的应用主要通过实验变差函数来进行,即应用观测值计算的变差函数,对于不同的滞后距h,在h-γ*(h)坐标上标出各点[h,γ*(h)],再将相邻各点用线段连接起来,便可得到实验变差函数图[30]。实验变差函数的计算公式为
| $ \gamma^*(h)=\frac{1}{2 N(h)}+{\sum}_{i=1}^{N(h)}\left[Z\left(x_i\right)-Z\left(x_i+h\right)\right]^2 $ | (2) |
式中:γ*(h)为实验变差函数;N (h) 为数据点数量,个;h为滞后距;xi为初始变量的i个样本数据。
代入二维网格平面上相距为(x,y)的点对及其个数N,即可得到其数据展布:
| $ \gamma^*(x, y)=\frac{1}{2 N}+{\sum}_{i, j=1}^N\left[Z\left(x_i, y_i\right)-Z\left(x_{i+m}, y_{j+l}\right)\right]^2 \quad m, l=1, 2 \cdots, n $ | (3) |
选取测井数据完整的24口井,通过上述TOC预测方法进行计算,将计算TOC值导入Geomap软件,并利用Kriging实验变差函数外推至整个研究区范围,绘制研究区长7段各个小层的TOC平面展布图(图 9),并分析其空间展布特征与分布规律。
|
下载原图 图 9 鄂尔多斯盆地庆城地区三叠系长7段TOC平面分布 Fig. 9 Plane TOC distribution of Triassic Chang 7 member in Qingcheng area, Ordos Basin |
研究区长71小层的TOC偏低,有效烃源岩分布范围也比较小,主要分布于庆城北部地区,其余地区TOC普遍低于4%(图 9a);长72小层的TOC相比长71小层高,分布也较为集中,连续性变好,范围也更大,主要集中在庆城附近(图 9b);长73小层的TOC最大,连续性非常好,在庆城与环县附近出现TOC大于20%的连续分布(图 9c)。由于长7段TOC空间展布特征主要是由烃源岩的分布决定的,因此可以预测在平面上长71小层的烃源岩主要分布于庆城及庆城北部地区;长72小层是在庆城附近地区分布连续性较强,质量较好的烃源岩;长73小层则是在庆城及环县附近均分布有大范围连续分布的优质烃源岩。
4 烃源岩的控藏作用长73小层的黑色页岩是庆城地区主要的油源基础,其次长71小层与长72小层的部分暗色泥岩也为研究区长7段的页岩油成藏提供了一定的物质基础。通过研究发现,页岩油成藏模式与烃源岩具有重要的关系,距离烃源岩中心越近的地方,越有利于油气聚集[32]。
纵向上,离烃源岩中心较远的地方油气聚集程度有所下降。从庆城地区X295井—X312井顺物源方向的油藏剖面(图 10)可看出,距离黑色页岩较近的Zt57井含油性好,含油厚度大;X291井和X312井离黑色页岩距离较远,干层多,含油性差。
|
下载原图 图 10 鄂尔多斯盆地庆城地区过X295—X312井三叠系长7段油藏剖面 Fig. 10 Reservoir profile of Triassic Chang 7 member across wells X295 to X312 in Qingcheng area, Ordos Basin |
平面上,选取研究区长7段3个小层试油数据较为完整且具有代表性的14口井的试油产量与预测TOC分布进行叠合后发现,TOC的平面分布与试油产量具有显著的相关性(图 11)。在长71小层试油数据与TOC平面分布叠合图中,大部分TOC较高的地方,往往试油数据好,日产油量高;TOC值较低的地方试油数据显示较差。这一特征在长72小层更为显著,长73小层也基本遵循这一规律,即烃源岩发育好的地方,试油结果好;烃源岩发育差的地方,试油结果也差。
|
下载原图 图 11 鄂尔多斯盆地庆城地区三叠系长7段试油数据与TOC分布叠合图 Fig. 11 Superposition diagram of oil test data and TOC distribution of Triassic Chang 7 member in Qingcheng area, Ordos Basin |
从绘制的试油产量与预测TOC的交会图(图 12)可以看出,研究区长71小层拟合效果良好,试油产量与TOC相关系数达到0.746 3(图 12a);长72小层与长73小层拟合效果均非常好,相关系数分别达到了0.858 2与0.877 3(图 12b,图 12c)。推测不同层段出现拟合效果差异是由于长71小层粉砂质泥岩与夹薄砂层泥岩较多导致的,长72与长73小层基本为暗色泥岩与黑色页岩样品,因此拟合结果较好。
|
下载原图 图 12 鄂尔多斯盆地庆城地区三叠系长7段试油产量与TOC会交会图 Fig. 12 Cross plots of well test data and TOC content of Triassic Chang 7 member in Qingcheng area, Ordos Basin |
综上所述,研究区长7段有效烃源岩对页岩油成藏具有良好的控制作用,主要体现在有效烃源岩的TOC与空间展布特征影响了页岩油藏的含油性,其中TOC直接决定了产油量的高低。
5 结论(1)鄂尔多斯盆地庆城地区三叠系长7段烃源岩的有机质丰度较高,分布范围较大。长71小层样品的TOC平均值为5.01%,氯仿沥青“A”平均值为0.63%,属于较好—好烃源岩;长72小层泥岩与页岩样品TOC平均值分别为6.04%和6.76%,氯仿沥青“A”的平均值为0.67%,有机质类型以Ⅱ1型和Ⅱ2型为主,处于成熟—高成熟阶段,含油性与可动性均较好,达到较好—好烃源岩级别;长73小层泥页岩样品TOC平均值为6.76%,氯仿沥青“A”的平均值为0.73%,有机质类型主要为Ⅱ2型,大部分样品处于成熟—高成熟阶段,属于好—极好烃源岩级别。此外,OSI指数显示研究区长7段大部分样品属于中含油。
(2)研究区长7段烃源岩矿物组成较为复杂,石英、长石与黏土矿物3类矿物质量分数超过70%,随着深度增加,黏土矿物含量逐渐增大。孔隙类型以原生孔为主,广泛发育有粒间孔与晶间孔,有机质收缩缝分布较少。样品TOC含量不同,其孔隙类型存在较大差异,而且孔隙中有机质的空间分布样式也存在明显不同,随着TOC增高,有机质收缩缝的分布明显增多。
(3)研究区长7段烃源岩TOC下限为1.5%。利用多元线性回归法确定的测井曲线与TOC三维模型预测结果与实测数据相关性较好。庆城地区附近长72小层、庆城与环县地区附近长73小层为主要有效烃源岩发育区。
(4)试油数据与烃源岩TOC在研究区长7段3个小层均呈现良好的正相关关系;平面上试油数据与烃源岩展布在长71和长72小层叠合效果较好,在长73小层叠合效果良好,页岩油藏含油性受到烃源岩TOC与空间展布的控制,距离烃源岩中心越近的地方,更有利于油气聚集。
| [1] |
付锁堂, 付金华, 牛小兵, 等. 庆城油田成藏条件及勘探开发关键技术. 石油学报, 2020, 41(7): 777-795. FU Suotang, FU jinhua, NIU Xiaobing, et al. Accumulation conditions and key exploration and development technologies in Qingcheng oilfield. Acta Petrolei Sinica, 2020, 41(7): 777-795. |
| [2] |
薛楠, 邵晓州, 朱光有, 等. 鄂尔多斯盆地平凉北地区三叠系长7段烃源岩地球化学特征及形成环境. 岩性油气藏, 2023, 35(3): 51-65. XUE Nan, SHAO Xiaozhou, ZHU Guangyou, et al. Geochemical characteristics and formation environment of source rocks of Triassic Chang 7 member in northern Pingliang area, Ordos Basin. Lithologic Reservoirs, 2023, 35(3): 51-65. |
| [3] |
黄彦杰, 白玉彬, 孙兵华, 等. 鄂尔多斯盆地富县地区延长组长7烃源岩特征及评价. 岩性油气藏, 2020, 32(1): 66-75. HUANG Yanjie, BAI Yubin, SUN Binghua, et al. Characteristics and evaluation of Chang 7 source rock of Yanchang Formation in Fuxian area, Ordos Basin. Lithologic Reservoirs, 2020, 32(1): 66-75. |
| [4] |
康玉柱. 中国非常规泥页岩油气藏特征及勘探前景展望. 天然气工业, 2012, 32(4): 1-5. KANG Yuzhu. Characteristics and exploration prospects of unconventional shale oil and gas reservoirs in China. Natural Gas Industry, 2012, 32(4): 1-5. DOI:10.3787/j.issn.1000-0976.2012.04.001 |
| [5] |
王贵文, 朱振宇, 朱广华. 烃源岩测井识别与评价方法研究. 石油勘探与开发, 2002, 29(4): 50-52. WANG Guiwen, ZHU Zhenyu, ZHU Guanghua. Logging identification and evalution of Cambrian-Ordovicaian source rocks in syneclise of Tarim Basin. Petroleum Exploration and Development, 2002, 29(4): 50-52. |
| [6] |
朱光有, 金强. 利用测井信息评价烃源岩的地球化学特征. 地学前缘, 2003, 10(2): 494. ZHU Guangyou, JIN Qiang. Using well logging information to evaluate geochemistry characteristic of source rocks. Earth Science Frontiers, 2003, 10(2): 494. DOI:10.3321/j.issn:1005-2321.2003.02.042 |
| [7] |
杨涛涛, 范国章, 吕福亮, 等. 烃源岩测井响应特征及识别评价方法. 天然气地球科学, 2013, 24(2): 414-422. YANG Taotao, FAN Guozhang, LYU Fuliang, et al. The logging features and identification methods of souuce rock. Natural Gas Geoscience, 2013, 24(2): 414-422. |
| [8] |
杨少春, 王娜, 李明瑞, 等. 鄂尔多斯盆地崇信地区三叠系延长组烃源岩测井评价. 天然气地球科学, 2013, 24(3): 470-476. YANG Shaochun, WANG Na, LI Mingrui, et al. The logging evaluation of source rocks of Triassic Yanchang Formation in Chongxin area, Ordos Basin. Natural Gas Geoscience, 2013, 24(3): 470-476. |
| [9] |
邓秀芹. 鄂尔多斯盆地三叠系延长组超低渗透大型岩性油藏成藏机理研究[D]. 西安: 西北大学, 2011. DENG Xiuqin. Study on the accumulation mechanism of ultralow permeability large lithologic reservoir in Yanchang Formation of Triassic in Ordos Basin[D]. Xi'an: Northwest University, 2011. |
| [10] |
任战利, 张军. 鄂尔多斯盆地古地温研究. 沉积学报, 1994, 12(1): 56-65. REN Zhanli, ZHANG Jun. Paleogeothermal study in Ordos Basin. Acta Sedimentologica Sinica, 1994, 12(1): 56-65. |
| [11] |
杨华, 席胜利, 魏新善, 等. 鄂尔多斯多旋回叠合盆地演化与天然气富集. 中国石油勘探, 2006, 23(1): 17-24. YANG Hua, XI Shengli, WEI Xinshan, et al. Evolution and natural gas enrichment of Ordos multi-cycle superimposed basin. China Petroleum Exploration, 2006, 23(1): 17-24. |
| [12] |
杨印华. 姬塬油田长6油藏储层评价及开发技术政策研究[D]. 西安: 西北大学, 2011. YANG Yinhua. Research on reservoir evaluation and development technology policy of Chang6 reservoir in Jiyuan oilfield[D]. Xi'an: Northwest University, 2011. |
| [13] |
何自新. 鄂尔多斯盆地演化与油气. 北京: 石油工业出版社, 2003. HE Zixin. Evolution of Ordos Basin and oil and gas. Beijing: Petroleum Industry Press, 2003. |
| [14] |
段吉业. 浅析华北板块中元古代-古生代构造格局及其演化. 现代地质, 2002, 16(4): 331-338. DUAN Jiye. Analysis of the Mesoproterozoic-Paleozoic tectonic framework and its evolution of the North China Plate. Modern Geology, 2002, 16(4): 331-338. |
| [15] |
白杨, 张晓磊, 刚文哲, 等. 鄂尔多斯盆地平凉北地区上三叠统长8段储层低含油饱和度油藏特征及成因. 岩性油气藏, 2023, 35(3): 66-75. BAI Yang, ZHANG Xiaolei, GANG Wenzhe, et al. Characteristics and genesis of Upper Triassic Chang 8 reservoir with low oil saturation in northern Pingliang area, Ordos Basin. Lithologic Reservoirs, 2023, 35(3): 66-75. |
| [16] |
申浩澈, 康维国, 梁万通, 等. 华北板块和扬子板块碰撞时代的探讨. 长春地质学院学报, 1994, 3(1): 22-27. SHEN Haoche, KANG Weiguo, LIANG Wantong, et al. A discussion on the collision age of the North China Plate and the Yangtze Plate. Journal of Changchun Institute of Geology, 1994, 3(1): 22-27. |
| [17] |
文志刚, 罗雨舒, 刘江艳, 等. 陇东地区三叠系长7段页岩油储层孔隙结构特征及成因机制. 岩性油气藏, 2022, 34(6): 47-59. WEN Zhigang, LOU Yushu, LIU Jiangyan, et al. Pore structure characteristics and genetic mechanism of Triassic Chang 7 shale oil reservoir in Longdong area. Lithologic Reservoirs, 2022, 34(6): 47-59. |
| [18] |
杨华, 李士祥, 刘显阳. 鄂尔多斯盆地致密油、页岩油特征及资源潜力. 石油学报, 2013, 34(1): 1-11. YANG Hua, LI Shixiang, LIU Xianyang. Characteristics and resource prospects of tight oil and shale oil in Ordos Basin. Acta Petrolei Sinica, 2013, 34(1): 1-11. |
| [19] |
刘化清, 刘宗堡, 吴孔友, 等. 岩性地层油气藏区带及圈闭评价技术研究新进展. 岩性油气藏, 2021, 33(1): 25-36. LIU Huaqing, LIU Zongbao, WU Kongyou, et al. New progress in study of play and trap evaluation technology for lithostratigraphic reservoirs. Lithologic Reservoirs, 2021, 33(1): 25-36. |
| [20] |
付金华, 罗顺社, 牛小兵, 等. 鄂尔多斯盆地陇东地区长7段沟道型重力流沉积特征研究. 矿物岩石地球化学通报, 2015, 34(1): 29-37. FU Jinhua, LUO Shunshe, NIU Xiaobing, et al. Study on the sedimentary characteristics of channel-type gravity flow in the Longdong area of the Ordos Basin. Bulletin of Mineral and Rock Geochemistry, 2015, 34(1): 29-37. |
| [21] |
江梦雅. 鄂尔多斯盆地陇东地区长9和长10油层组石油成藏特征[D]. 北京: 中国石油大学(北京), 2020. JIANG Mengya. Oil accumulation characteristics of Chang 9 and Chang 10 oil formations in Longdong area of Ordos Basin[D]. Beijing: China University of Petroleum(Beijing), 2020. |
| [22] |
全国石油天然气标准化技术委员会. 页岩油地质评价方法GB/T 38718-2020[S]. 北京: 中国标准出版社, 2020: 1-12. National Petroleum and Natural Gas Standardization Technical Committee. Geological evaluating methods for shale oil GB/T 38718-2020[S]. Beijing: Standards Press of China, 2020: 1-12. |
| [23] |
JARVIE D M. Shale Resource Systems for oil and gas: Part 1. Shale-gas resource systems//Breyer J A. Shale reservoirs: Giant resources for the 21st Century[G]. AAPG Memoir 97, 2012: 69-87.
|
| [24] |
LOUCKS R G, REED R M, RUPPEL S C, et al. Morphology, genesis, and distribution of nanometer-scale pores in siliceous mudstones of the mississippian barnett shale. Journal of Sedimentary Research, 2009, 12(79): 848-861. |
| [25] |
梁晓伟, 关梓轩, 牛小兵, 等. 鄂尔多斯盆地延长组7段页岩油储层储集性特征. 天然气地球科学, 2020, 31(10): 1489-1500. LIANG Xiaowei, GUAN Zixuan, NIU Xiaobing, et al. Reservoir characteristics of shale oil reservoir in member 7 of Yanchang Formation in Ordos Basin. Natural Gas Geoscience, 2020, 31(10): 1489-1500. |
| [26] |
曹茜. 鄂尔多斯盆地延长组长7段富有机质泥页岩储层微孔隙特征及表征技术[D]. 成都: 成都理工大学, 2016. CAO Qian. Characterization and techniques of micropores in organic-rich shale of Chang 7th of Yanchang Formation, Ordos Basin[D]. Chengdu: Chengdu University of Technology, 2016. |
| [27] |
张琴, 朱筱敏, 李晨溪, 等. 渤海湾盆地沾化凹陷沙河街组富有机质页岩孔隙分类及孔径定量表征. 石油与天然气地质, 2016, 37(3): 422-432. ZHANG Qin, ZHU Xiaomin, LI Chenxi, et al. Pore classification and pore size quantitative characterization of organic-rich shale in Shahejie Formation, Zhanhua Depression, Bohai Bay Basin. Oil & Gas Geology, 2016, 37(3): 422-432. |
| [28] |
高岗, 柳广弟, 付金华, 等. 确定有效烃源岩有机质丰度下限的一种新方法: 以鄂尔多斯盆地陇东地区上三叠统延长组湖相泥质烃源岩为例. 西安石油大学学报(自然科学版), 2012, 27(2): 22-26. GAO Gang, LIU Guangdi, FU Jinhua, et al. A new method for determining the lower limit of organic matter abundance of effective source rocks: Taking the lacustrine argillaceous source rocks of the Upper Triassic Yanchang Formation in the Longdong area of the Ordos Basin as an example. Journal of Xi'an Petroleum University(Natural Science Edition), 2012, 27(2): 22-26. |
| [29] |
聂海宽, 唐玄, 边瑞康. 页岩气成藏控制因素及中国南方页岩气发育有利区预测. 石油学报, 2009, 30(4): 484-491. NIE Haikuan, TANG Xuan, BIAN Ruikang. Controlling factors for shale gas accumulation and prediction of potential development area in shale gas reservoir of South China. Acta Petrolei Sinica, 2009, 30(4): 484-491. |
| [30] |
牛文杰. 三维数据场可视化克里金建模及其算法的理论和应用研究[D]. 北京: 北京航空航天大学, 2002: 68-135. NIU Wenjie. Research on the theory and application of 3D data field visualization Kriging modeling and its algorithm. Beijing: Beihang University, 2002: 68-135. |
| [31] |
杨阳. 克里金储层预测技术及应用[D]. 北京: 中国石油大学, 2007. YANG Yang. Kriging reservoir prediction technology and its application[D]. Beijing: China University of Petroleum(Beijing), 2007. |
| [32] |
刘池洋, 赵红格, 桂小军, 等. 鄂尔多斯盆地演化-改造的时空坐标及其成藏(矿)响应. 地质学报, 2006, 80(5): 617-638. LIU Chiyang, ZHAO Hongge, GUI Xiaojun, et al. Space-time coordinate of the evolution and reformation and mineralization response in Ordos Basin. Acta Geologica Sinica, 2006, 80(5): 617-638. |
2024, Vol. 36



