2. 西南石油大学 油气藏地质及开发工程国家重点实验室, 成都 610500;
3. 中国石油碳酸盐岩储层重点实验室 西南石油大学研究分室, 成都 610500;
4. 中国石油西南油气田公司 川中北部采气管理处, 四川 遂宁 629000;
5. 中国石油西南油气田公司 川中油气矿, 四川 遂宁 629000
2. State Key Laboratory of Oil and Gas Reservoir Geology and Exploration, Southwest Petroleum University, Chengdu 610500, China;
3. CNPC Key Laboratory of Carbonate Reservoirs Southwest Petroleum University Division, Chengdu 610500, China;
4. North Central Sichuan Gas Production Management Office, PetroChina Southwest Oil and Gas Field Company, Suining 629000;
5. Chuanzhong Division of PetroChina Southwest Oil & Gasfield Conpany, CNPC, Suining 629000, Sichuan, China
四川盆地为中国最重要的含油气盆地,天然气资源十分丰富[1-3]。深层海相碳酸盐岩油气一直是四川盆地勘探开发的热点目标[4-6]。自2020年以来,川中古隆起北斜坡蓬莱地区PT1井、PT101井陆续在震旦系灯影组二段(简称“灯二段”)钻遇厚层碳酸盐岩孔洞型储层,测试均获日产超百万方高产工业气流,揭示了该区灯二段较大的勘探开发潜力[7-9]。目前关于蓬莱地区灯二段气藏的研究多集中在储层成因机制及油气成藏等方面,取得了丰硕的研究成果及认识,其中丘滩相是形成优质储层的关键,这一观点已取得学者们的共识[10-12]。地震沉积学作为传统沉积地质学发展的新航程及新方向[13],是一门利用地震资料研究沉积岩及其沉积作用的学科,自Zeng等[14]首次提出后便得到学术界的高度关注。经过20多年的快速发展,许多学者在地震沉积学的方法和应用上进行了大量的实践,其应用场景主要集中在资料品质较高、埋深较浅、目标层位岩石组分之间具有明显岩石物理分异的碎屑岩沉积体系内[15-17];由于碳酸盐岩地层的沉积体系、成岩特征和充填模式与碎屑岩差异较大,除具有明显丘形地貌的生物礁这类碳酸盐岩沉积体或发育具有明显指示水深及沉积底形的反射标志的沉积环境外[18-20],地震沉积学在我国碳酸盐岩台地沉积体系中应用鲜有报道[21-23]。其主要研究难点一方面在于碳酸盐岩台地内各岩相之间岩石物理参数重叠严重,标志地震响应特征模糊;另一方面我国碳酸盐岩沉积集中在深层—超深层环境之下,地震资料在高速、低频背景下分辨率及资料品质较差,导致地震刻画多解性强,90°相位化及地层切片等地震沉积学关键技术在碳酸盐岩中效果不甚理想,已有地震沉积学研究规范在碳酸盐岩研究中适用性降低[14]。因此,探索地震沉积学研究新方法、新技术,建立碳酸盐岩地震沉积学研究规范成为了我国地震沉积学研究新的机遇与挑战。
选取四川盆地蓬莱地区平均埋深大于6 000 m的灯二段丘滩复合体为主要研究对象,结合岩心、薄片、测井等资料,通过地震沉积学研究方法与技术,在等时地层格架约束下开展丘滩复合体的识别与精细刻画,明确灯二段丘滩复合体的时空分布规律及沉积演化过程,以期为研究区灯二段气藏的勘探开发提供参考。
1 地质概况蓬莱地区位于四川盆地中北部,构造上隶属川中古隆中斜平缓构造带北部,处于四川省遂宁市安居区、资阳市乐至县、蓬莱镇与磨溪镇之间(图 1a)。研究区域为磨溪—蓬莱三维连片地震覆盖区,三维地震资料为SEG零相位正极性数据,主频为26 Hz,有效频宽为8~60 Hz,面积约800 km2,该区共9口井钻遇灯二段。
|
下载原图 图 1 川中北部蓬莱地区震旦系灯二段构造位置(a)与岩性地层综合柱状图(b) Fig. 1 Structural location (a) and stratigraphic column (b) of the second member of Sinian Dengying Formation in Penglai area, north-central Sichuan Basin |
震旦纪—寒武纪之交,受罗迪尼亚超大陆裂解影响,扬子克拉通西北缘处于拉张环境[24]。在川中—川西地区,由于对构造分异的地质响应,发育近南北走向的德阳—安岳裂陷槽,控制了震旦纪—寒武纪的沉积格局[25-27]。受此影响,处于德阳—安岳裂陷槽周缘北段的蓬莱地区,在同沉积断裂的控制作用下形成了多个微生物丘滩岩性-地层、岩性圈闭[28]。
四川盆地震旦系灯影组以浅水碳酸盐台地沉积为主,总体上表现为一个向上变浅的沉积序列,自下而上划分为灯一段、灯二段、灯三段、灯四段(图 1b)。受桐湾运动影响,研究区部分区域缺失灯三段、灯四段。灯一段岩性以泥粉晶白云岩为主,夹少量微生物白云岩,与上覆灯二段为连续沉积,呈整合接触。灯二段发育大量富微生物岩类,岩性包括叠层石白云岩、凝块白云岩、砂屑白云岩、少量泥粉晶白云岩等,与上覆灯三段呈不整合接触。灯三段剥蚀区,灯二段则直接与寒武系麦地坪组呈不整合接触,其中灯二段可划分为灯二上亚段与灯二下亚段。灯三段为一套大规模快速海侵形成的暗色薄层为主的泥岩、页岩、泥质粉砂岩及砂质白云岩。灯四段岩性主要为微生物白云岩与泥粉晶白云岩,局部夹硅质条带。川中北部地区灯一段+灯二段整体厚度为350~730 m,是近期灯影组天然气勘探开发的重点。
2 层序地层格架建立等时地层格架是地震沉积学分析的前提,精细的地震层位解释是建立等时地层格架的关键。有学者以中上扬子地区为研究对象,认为灯影组可划分为4个三级层序,其中灯一段+灯二段对应2个三级层序(SQ1,SQ2);灯三段+灯四段对应2个三级层序(SQ3,SQ4)[29-30]。在以往研究基础框架上,运用Vail经典层序地层学原理,综合电性、岩性、储集层等特征,井-震结合对灯一段+灯二段进行整体考虑与解译,识别出灯一段底界面(SB1界面,Ⅱ型)、灯二段下亚段与上亚段界面(SB2界面,Ⅱ型)及灯二段顶界面(SB3界面,Ⅰ型)3个三级层序界面。
SB1界面对应灯影组底界面,灯影组与下伏陡山沱组为典型的岩性岩相转换界面,属于Ⅱ型层序界面,清平剖面可见界面之下发育陡山沱组黑色炭质页岩[30],界面之上发育灯影组浅水碳酸盐岩沉积,多以泥粉晶白云岩为主,含泥质,上下地层呈整合接触。地震上表现为强波谷反射特征,局部地区界面之上可见上超,该界面可追踪性强(图 2、图 3)。
|
下载原图 图 2 四川盆地蓬莱地区震旦系灯影组SQ1和SQ2层序测井、地震反射特征(以PT103井例) Fig. 2 Sequence logging and seismic reflection characteristics of SQ1 and SQ2 layers of Sinian Dengying Formation in Penglai area, Sichuan Basin |
|
下载原图 图 3 四川盆地蓬莱地区震旦系灯影组SQ1和SQ2层序地震对比剖面图(灯二段顶界拉平,剖面位置见图 1) Fig. 3 Sequence seismic contrast section of SQ1 and SQ2 of Sinian Dengying Formation in Penglai area, Sichuan Basin |
SB2界面对应灯二段上亚段底界面,为典型的Ⅱ型层序界面,界面之下为砂屑白云岩,微生物凝块白云岩等,界面之上通常表现为快速海侵形成的泥晶白云岩或泥质白云岩。GR曲线由箱状低值向微齿状低值过渡,具有明显上下分段特征,上部GR具有多期旋回特征,下部总体箱状。该界面对应地震波谷,局部区域可借助分频地震资料辅助追踪。
SB3界面对应灯二段顶界面,上覆地层受桐湾运动影响,在研究区变化较大,可为灯三段或者寒武系麦地坪组地层,该界面为桐湾运动Ⅰ幕形成的不整合面,是Ⅰ型层序界面,表现为暴露面/岩性突变面。界面之下发育浅灰色微生物白云岩;界面之上为深色硅质、炭质泥页岩为主,夹泥晶灰岩、白云岩屑磷块岩和磷质岩屑粉砂岩(麦地坪组)或暗黑色的泥岩、泥质白云岩及少量泥质粉砂岩(灯三段)。GR曲线由界面之下的箱状平滑低值向上转化为齿状—尖峰状高值。地震剖面上表现为中强波峰反射特征,南侧裂陷槽边缘可见削截反射,局部地区界面之上可见上超反射,该界面可追踪性强。
根据上述层序界面的识别和划分结果,将研究区震旦系灯影组灯一段+灯二段自下而上划分为SQ1(灯一段+灯二段下亚段)和SQ2(灯二段上亚段)2个三级层序,每个层序均由下部的海侵域和上部的高位域组成。SQ1和SQ2这2个三级层序在横向上发育完整,尽管地层岩性和厚度存在变化,但均具有良好的等时性,可对比性强。以三级层序为单元,建立具有代表性的全区等时井-震地层对比格架,反映了该区的沉积格局及地层发育情况。
3 沉积相类型川中北部蓬莱地区灯一段—灯二段整体表现为局限台地沉积[31],通过5口井的岩心和薄片观察结果(图 4)发现,蓬莱地区灯二段岩性以微生物白云岩为主,主要发育砂屑白云岩、凝块白云岩、叠层石白云岩等高能碳酸盐岩,同时也见泥晶白云岩等低能碳酸盐岩。结合岩性岩相、成像测井及常规测井等资料,进一步可识别出丘滩复合体、丘滩间海、台坪、局限潟湖4个亚相。
|
下载原图 图 4 四川盆地蓬莱地区震旦系灯影组SQ1和SQ2层序典型岩石学宏微观特征 (a)凝块白云岩,微生物丘,洞穴被粗大白云石半充填,少量残留孔,局部发育核形石,PT101井,5 733.00 m;(b)凝块白云岩,微生物丘,PT1井,5 756.36~5 756.54 m,岩心;(c)叠层石白云岩,微生物丘,PS5井,5 697.42 m;(d)核形石白云岩,微生物丘,PT103井,6 102.03 m;(e)砂屑白云岩,颗粒滩,PT103井,5 714.44 m,灯二段;(f)砂屑白云岩,颗粒滩,PT1井,5 728.72~5 728.85 m,顺层溶洞发育,岩心;(g)鲕粒白云岩,颗粒滩,PS5井,5 666.30 m,灯二段;(h)泥晶白云岩,丘滩间海,孔隙不发育,PT103井,5 716.50 m;(i)泥晶白云岩,台坪,MX132井,5 539.22~5 539.44 m,岩心。 Fig. 4 Typical petrological macro-micro characteristics of the Sinian Dengying Formation SQ1 and SQ2 in Penglai area, Sichuan Basin |
(1)丘滩复合体。可识别出微生物丘与颗粒滩2类微相。①微生物丘,发育于浪基面附近,由蓝细菌为主的微生物通过物理作用沉淀灰泥、化学作用成岩所形成的碳酸盐建造。在岩性上,微生物丘主要由凝块石白云岩(图 4a,4b)、叠层石白云岩(图 4c)及核形石白云岩(图 4d)等高能碳酸盐岩组成。低伽马、中低电阻率,成像测井上暗斑大小不一,与颗粒滩类似,研究区PT101,PT1,PT102等井均有钻遇。②颗粒滩,多发育于微生物丘之上,当微生物丘建造隆起高度使沉积界面处于浪基面之上时,早前形成的晶粒白云岩类或微生物白云岩被破碎,形成砂屑、粒屑等内碎屑,后微生物黏结内碎屑形成(黏结)颗粒白云岩。岩性主要为砂屑白云岩(图 4e,4f)和鲕粒白云岩(图 4g)等。低伽马、中低电阻率,孔隙发育,成像测井呈亮黄色块状夹暗色斑块,研究区PT101,PT1,PT102等井均有钻遇。灯二段沉积期海水较浅、气候温暖,有利于微生物繁盛[32],由于该区台地频繁振荡,微生物丘与颗粒滩多以互层高频叠置的形式产出,将此类碳酸盐岩建隆统一划分为丘滩复合体。
(2)丘滩间海。表现为丘滩复合体围限的浪基面以下的低能环境,微生物含量及颗粒含量均较低,主要为泥晶白云岩(图 4h)及含硅质泥晶白云岩。中—高伽马、中—高电阻率,声波、密度曲线显示孔隙发育差,成像测井表现为明暗交替的薄互层沉积特征,研究区PT103,PT104等井均有钻遇。
(3)台坪。发育于地势平坦的水下高地,其动力来自于平均海平面的周期性变动,沉积水体较浅,沉积界面处于平均海平面附近,周期性或长期暴露于大气之下,波浪作用较弱。岩性主要由泥粉晶白云岩(图 4i)、纹层状泥晶白云岩等组成。中—高伽马、中—高电阻率,成像测井上以明暗交替的薄互层沉积为特征,研究区台坪相带主要分布于磨溪地区,MX12,MX8等井钻遇。
(4)局限潟湖。处于台地内部,周边受高能丘滩体阻隔,一般处于平均低潮面或正常浪基面以下,环境能量低,以静水沉积为主,岩性以泥质白云岩、泥晶白云岩、泥粉晶白云岩为主,可夹薄层藻纹层白云岩。目前,研究区暂无井钻遇潟湖相,邻区高石梯地区有发育。
4 地震沉积学特征 4.1 地震地貌分析蓬莱地区灯二段整体属于碳酸盐岩台地沉积[31],丘滩复合体在海平面升降、古地貌等因素的控制影响下在该区频繁生长叠置、迁移。由于缺少指示水深的地震相标志,常规的地震地貌学手段所获得沉积体平面几何形态等信息多是不同类型沉积体叠置过后的综合响应,难以准确地恢复研究区古地貌特征。因此,层序地层格架约束下的经典印模法(cast)和残厚法(isopach)仍是古地貌恢复的有效手段[21]。使用印模法逐一恢复SQ1和SQ2沉积期古地貌特征及演化过程。古地貌恢复结果(图 5)表明,研究区整体继承了“隆凹”格局的沉积特征,SQ1沉积期地貌隆凹分异明显,整体呈南东高、北西低,向北西方向倾覆的特征,磨溪地区较蓬莱地区地貌整体较高,PS5井一线及MX12井一线呈南东—北西走向的局部地貌高带。SQ2沉积期古地貌对SQ1沉积期有一定继承性,整体仍表现为南东高、北西低的特征;地貌高带有向北西迁移的趋势,在PT101井—PT102井—PT104井东侧一线和MX12井西侧一线呈南东—北西走向的2条地貌高带,其中,西侧地貌高带整体低于东侧地貌高带,形成“两隆三凹”的古地貌特征。同时,研究区局部的微地貌高差控制了坡折带的形成,坡折带类型为沉积型缓坡折,控制着丘滩复合体的沉积分异(参见图 3,图 5)。
|
下载原图 图 5 四川盆地蓬莱地区震旦系灯影组SQ1(a)和SQ2(b)沉积期地貌图(剖面位置见图 1) Fig. 5 Depositional geomorphology map of Sinian Dengying Formation SQ1(a) and SQ2(b) in Penglai area, Sichuan Basin |
通过井-震结合建立等时地层格架,利用钻/测井资料对地震反射特征进行标定,基于正演模拟,明确不同地震反射特征所代表的岩性岩相意义,建立不同岩性、沉积亚相与地震响应特征的对应关系,并结合地震多属性分析对研究区沉积相带分布进行精细刻画。
4.2.1 地震-岩性标定丘滩复合体是一种特殊的碳酸盐岩沉积体,其发育主要受水动力作用及微古地貌共同控制[33]。不同的沉积环境造就不同的岩相组合,不同岩相之间的阻抗差导致地震相具有明显差异。井-震标定显示,丘滩复合体的地震响应为低幅丘状外形、内部杂乱或断续反射、内幕核部存在亮点;丘滩间海及局限潟湖的地震响应为连续稳定、平行或亚平行反射结构,表现为中频中等振幅特征。
为了进一步明确研究区地震相与沉积相对应关系,从实钻测井资料拾取地层及沉积体的理论厚度与速度参数值,建立了该区层序格架内丘滩复合体发育的理论地质模型,采用射线追踪方法,选择主频为26 Hz的零相位正极性雷克子波进行激发模拟(图 6)。正演结果显示,丘滩复合体发育时,在正演地震剖面上表现为低幅丘状外形结构,内部杂乱或断续—弱断续反射、内幕核部亮点反射特征。丘滩间海表现为平行—亚平行中频中等振幅特征,局限潟湖相则表现为席状平行强反射、中低频强振幅反射特征,与实际井-震标定结果保持一致。
|
下载原图 图 6 四川盆地蓬莱地区震旦系灯影组SQ1和SQ2层序丘滩复合体地震正演及模拟结果 Fig. 6 Seismic forward modeling and simulation results of SQ1 and SQ2 sequence mound-shoal complexes of Sinian Dengying Formation in Penglai area, Sichuan Basin |
结合典型井地震正演模拟、地震相特征、波形特征、典型井岩心薄片特征、沉积结构等综合分析,研究地震相与沉积相之间转化关系(图 7),从而在地震剖面上建立:①丘滩复合体;②丘滩间海、台坪;③局限潟湖3类沉积相带的识别模式。其中,丘滩间海与台坪地震响应特征基本一致,因此均归纳为Ⅱ类地震相,而二者平面分布由沉积地貌控制,台坪主要发育于地势平坦的水下高地,丘滩间海则主要发育于沉积地貌低地。
|
下载原图 图 7 四川盆地蓬莱地区震旦系灯影组SQ1和SQ2层序典型地震相-沉积相对应图版 Fig. 7 Corresponding plates of typical seismic facies-sedimentary facies SQ1 and SQ2 of Dengying Formation in Penglai area, Sichuan Basin |
由地震相-沉积相标定可知,研究区SQ2层序中,亮点可以解释为丘滩复合体核部,也可解释为局限潟湖,不同的岩相组合可能存在高度相似的地震响应特征,仅靠单一地震属性刻画丘滩具有多解性。因此,需要综合多种地震属性,在地震相带约束下,利用多属性融合技术精细刻画研究区沉积微相展布特征。
4.2.2 地震相分析波形聚类是岩性识别和沉积相(地震相)常用的分析工具之一[34]。其原理是通过提取所开时窗内地震道的波形特征与邻近时窗进行对比,利用神经网络或模糊聚类等算法,通过不断地特征提取、学习、分类及分析对地震波形进行归类,从而得到不同波形组合在平面上的展布规律。结合地震相分析,对全区三维地震资料进行波形分类,分类时窗设为SQ1和SQ层序地层格架内,利用波形聚类技术得到研究区各层序地震相平面分布特征图(图 8)。通过观察地震相平面图上的不同颜色分布范围,再根据波形特征,对不同类型的波形赋予不同的颜色,类比每一口井与地震相对应关系,从而了解地震相所解释区域的分布。其中,①—③类波形代表Ⅰ类地震相,即丘滩复合体对应地震相;④类、⑤类波形代表Ⅱ类地震相,即丘滩间海和台坪对应地震相;⑥类波形代表Ⅲ类地震相,即局限潟湖对应地震相。从图 8中可以看出,研究区代表丘滩复合体反射模式的地震相发育广泛分布,在SQ1层序中主要分布于东部的磨溪地区,SQ2层序中则主要发育于PT1井—PT101井区。代表局限潟湖反射模式的地震相在SQ1层序中仅在PT102井和PT108井区周缘少量发育,SQ2层序中则主要发育在PS5井以东、MX12以西部分区域。
|
下载原图 图 8 四川盆地蓬莱地区震旦系灯影组SQ1(a)和SQ2(b)地震相平面分布图 Fig. 8 Plane distribution of seismic facies SQ1(a) and SQ2(b) of Sinian Dengying Formation in Penglai area, Sichuan Basin |
地震属性优化是基于研究人员的经验或数学方法,优选对所分析问题最敏感、个数最少的地震属性或属性组合,目的在于提高地震储层预测精度。常见的多属性分析方法主要有聚类分析、主成分分析(PCA)、逐步回归、随机森林等[35]。其中PCA是一种非监督的机器学习方法,近年来广泛应用于图像识别和人工智能领域中[36-39]。其实质是一种数据降维算法,根据样本和属性的分布情况,从待选属性中选出若干个最有利的属性组合,通过K-L变换将多个地震属性压缩成新的融合属性[40]。
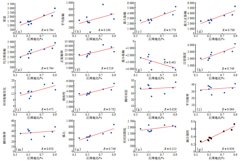
以研究区SQ2层序顶、底界面为约束,从三维地震数据中提取灯影组SQ2层间地震属性,所提取的地震属性主要包括振幅类、频率类、相位类以及波形结构类等15种地震属性。将各地震属性与井点丘滩地比进行交会分析,相关系数R为0.029~0.794(图 9a—9o),R越高表明该属性敏感度越高。
|
下载原图 图 9 SQ2单一地震属性及融合属性与丘滩地比的交会分析图 注:丘滩地比为单井丘滩复合体岩相厚度与地层厚度比值。 Fig. 9 Interactive analysis diagram of SQ2 single seismic attribute and fusion attribute and ratio of mound-shoal thickness to total formation thickness |
交会分析图发现,振幅类属性整体敏感度较高,频率类属性相对较低,张量属性敏感度最高。为了提高地震属性与井点丘滩地比的相关性,选择R大于0.7且相互独立的地震属性作为相应层序内的优化属性组合。经分析计算选取最大正振幅、视极性和张量属性作为SQ2层序PCA融合的基本属性。
经过数据归一化处理后,利用PCA得到SQ2融合属性切片(图 10a)。将融合属性值与井点处丘滩地比交会后,相关性有明显提高,相关系数为0.930(图 9p)。此外,融合属性图所反映的微相分布边界更加清晰,微相平面分布更符合区域沉积背景,其结果更能反映目的层丘滩体分布的实际情况。经上述分析流程,对SQ1层序进行多属性分析,并获取融合属性切片(图 10b)。
|
下载原图 图 10 四川盆地蓬莱地区震旦系灯影组SQ1和SQ2融合属性图及沉积微相平面展布图 Fig. 10 Confluence property map and sedimentary microfacies map of SQ1 and SQ2 of Sinian Dengying Formation in Penglai area, Sichuan Basin |
通过对研究区北西—南东向连井剖面(图 11)进行沉积相对比分析发现,该区灯影组灯二段主要发育局限台地相,以发育丘滩复合体为特征。受控早期地貌分异,MX8井区SQ1沉积期原始地貌较高,丘滩单期沉积规模稳定,纵向厚度为40~50 m;而蓬莱地区SQ1沉积期丘滩发育程度明显弱于磨溪地区,丘滩发育规模相对小,单期纵向厚度为10~20 m,横向连续性较差,丘滩间海的发育范围更大。至SQ2沉积期,蓬莱地区单期丘滩体发育规模变大,纵向厚度为60~70 m,横向连续性好;磨溪地区SQ2沉积期整体表现为台坪沉积,丘滩发育明显较蓬莱地区差,单期发育规模小,厚度为10~20 m。同时在蓬莱和磨溪地区之间发育岩性致密带(局限潟湖)。
|
下载原图 图 11 四川盆地蓬莱地区震旦系灯影组SQ2和SQ1沉积相横向对比剖面图(SB2界面拉平,剖面位置见图 1) Fig. 11 Cross-correlation section of SQ2 and SQ1 sedimentary facies of Sinian Dengying Formation in Penglai area, Sichuan Basin |
根据研究区SQ2和SQ1的PCA融合属性预测结果,利用单井控制,综合沉积期古地貌、波形聚类平面分布以及实钻井资料,对该区沉积相带进行预测。平面上,按照单井丘滩地比和相对发育关系,可进一步识别出滩核、滩缘、云质丘滩间海、云坪、云质潟湖5种沉积微相。滩核和滩缘均位于Ⅰ类地震相带:滩核微相(PT101井和PT1井)单井丘滩地比> 0.7,融合属性值为0.53~1.00,按照融合属性展布趋势逐步包络丘滩地比> 0.7的单井,恢复滩核微相的展布范围;滩缘微相单井丘滩地比为0.5~0.7,融合属性值为0.38~0.53,按照融合属性展布趋势逐步圈定0.5 < 丘滩地比 < 0.7的单井范围,定为滩缘微相。云质丘滩间海微相位于Ⅱ类地震相带,单井丘滩地比 < 0.5,融合属性值为0~0.38,按照融合属性展布趋势逐步包络丘滩地比 < 0.5的单井,预测云质丘滩间海的展布范围。云质潟湖微相位于Ⅲ类地震相带,区内无井钻遇,融合属性值大于0.56,按照融合属性展布趋势和地震相边界,结合实际剖面特征,预测云质潟湖的展布范围。研究区云坪仅在SQ2层序中发育,位于Ⅱ类地震相带内,受地貌分异影响,发育在云质潟湖相区东部的磨溪地区。针对未有单井约束的地区,应综合周缘单井丘滩地比变化规律、地貌和地震相展布情况及已有单井丘滩地比与融合属性对应关系,进而预测区内沉积微相发育情况。
预测结果(图 10c,10d)显示,该区丘滩发育展布规律与古地貌形态密切相关,丘滩集中发育在局部地貌高差控制的缓坡折处。SQ1层序中,磨溪地区丘滩发育程度好,滩核微相连片规模发育,蓬莱地区丘滩发育程度相对变差,丘滩间海分布于各丘滩体之间,分布范围广,云质潟湖则零星发育。SQ2层序中,蓬莱地区丘滩发育规模明显变大,滩核微相连片发育,分布范围广,而磨溪地区以云坪沉积为主,丘滩仅在局部区域零星发育,规模小,滩核占比小;云质潟湖微相则在MX12井以西区域呈北东—南西向连片发育,以低能泥质或泥粉晶云岩沉积为主,丘滩几乎不发育。
以往研究表明,前震旦系裂谷活动使扬子板块震旦纪沉积前古地貌具有“隆凹相间”的特征,影响了上覆地层的沉积古地理格局[41-42],灯影组沉积早期受断裂影响,发生差异沉积作用,于断垒处高能丘滩发育,断堑处低能丘滩间海或局限潟湖沉积。震旦纪灯影期海平面大振荡变化有3期,其中,灯一段至灯二段主要经历了缓慢海进—低位振荡海退—高位振荡海退[43-44]。SQ1沉积早期(灯一段)水体上升过程中水体能量较弱,为缓慢海进阶段;在此阶段,微生物丘滩生长速度较慢,加之陡山沱组沉积后整个盆内地貌相对平缓,岩性以泥粉晶白云岩为主。SQ1沉积中晚期(灯二段下亚段)水体能量较高,海水动荡,整体处于低位振荡海退期;磨溪地区原始地貌较高,率先处于浪基面附近,丘滩快速沉积;相比之下,蓬莱地区地貌稍低,水动力不足以满足丘滩广泛沉积,因此丘滩复合体发育规模小(图 10c、图 12a)。SQ2沉积(灯二段上亚段)期,海水振荡幅度增大,古海洋进入高位振荡海退期,海水能量明显增强;此时丘滩复合体的生长建造与可容纳空间的匹配性较好,丘滩复合体在优势的地形地貌处建隆特征明显,蓬莱地区受控于坡折带,且位于浪基面附近,外海波浪在该处聚集,丘滩得以快速发育,形成大规模的丘滩沉积(图 10d、图 12b)。由于蓬莱地区丘滩建造对西侧波浪的遮蔽作用,磨溪地区波浪扰动深度减小,能量减弱,丘滩复合体发育程度受限,整体表现为台坪沉积;同时,在蓬莱地区以东,磨溪以西区域以局限潟湖沉积为主,形成区域性的垂向稳定分布的岩性致密带。
|
下载原图 图 12 四川盆地蓬莱地区丘滩体沉积演化模式图(剖面位置见图 1) Fig. 12 Depositional evolution model of mound-shoal complexes in Penglai area, Sichuan Basin |
(1)四川盆地蓬莱地区灯二段沉积期表现为碳酸盐岩台地沉积环境,发育有丘滩复合体、丘滩间海、台坪、局限潟湖4种沉积亚相。
(2)实际地震资料及正演理论地震资料解译均表明地震相分析可较好地识别研究区不同的沉积相类型,其中丘滩复合体以低幅丘状外形、内部杂乱或断续—弱断续反射、内幕核部亮点反射为特征;丘滩间海和台坪相为连续稳定的、平行或亚平行、中频中等振幅反射;局限潟湖相则表现为席状外形、平行或亚平行反射、中低频强振幅反射特征。
(3)单一地震属性的多解性问题制约了地震岩性的准确识别,多地震属性的融合处理是解决该问题的重要手段。基于地震相约束下的PCA多属性融合技术有效地提升了蓬莱地区灯二段丘滩复合体的识别精度。
(4)蓬莱地区灯二段沉积期在海平面变化及古地貌的共同作用下控制了丘滩复合体时空分布的差异性。形成了丘滩复合体建造在SQ1期磨溪地区优于蓬莱地区,而至SQ2期转变为蓬莱地区优于磨溪地区的独特规律。
| [1] |
刘树根, 孙玮, 李智武, 等. 四川叠合盆地海相碳酸盐岩油气分布特征及其构造主控因素. 岩性油气藏, 2016, 28(5): 1-17. LIU Shugen, SUN Wei, LI Zhiwu, et al. Distribution characteristics of marine carbonate reservoirs and their tectonic controlling factors across the Sichuan superimposed basin. Lithologic Reservoirs, 2016, 28(5): 1-17. DOI:10.3969/j.issn.1673-8926.2016.05.001 |
| [2] |
马新华, 杨雨, 文龙, 等. 四川盆地海相碳酸盐岩大中型气田分布规律及勘探方向. 石油勘探与开发, 2019, 46(1): 1-13. MA Xinhua, YANG Yu, WEN Long, et al. Distribution and exploration direction of medium-and large-sized marine carbonate gas fields in Sichuan Basin, SW China. Petroleum Exploration and Development, 2019, 46(1): 1-13. |
| [3] |
韩云浩, 姜振学, 张志遥, 等. 含油气盆地超高油气柱形成的有利地质条件. 岩性油气藏, 2023, 35(2): 125-135. HAN Yunhao, JIANG Zhenxue, ZHANG Zhiyao, et al. Favorable geological conditions for the formation of ultra-high petroleum columns in petroliferous basins. Lithologic Reservoirs, 2023, 35(2): 125-135. |
| [4] |
熊加贝, 何登发. 全球碳酸盐岩地层-岩性大油气田分布特征及其控制因素. 岩性油气藏, 2022, 34(1): 187-200. XIONG Jiabei, HE Dengfa. Distribution characteristics and controlling factors of global giant carbonate stratigraphic-lithologic oil and gas fields. Lithologic Reservoirs, 2022, 34(1): 187-200. |
| [5] |
朱如凯, 崔景伟, 毛治国, 等. 地层油气藏主要勘探进展及未来重点领域. 岩性油气藏, 2021, 33(1): 12-24. ZHU Rukai, CUI Jingwei, MAO Zhiguo, et al. Main exploration progress and future key fields of stratigraphic reservoirs. Lithologic Reservoirs, 2021, 33(1): 12-24. |
| [6] |
耿夏童, 邢凤存, 闫海军, 等. 四川盆地磨溪地区震旦系灯影组四段储层特征及勘探启示. 岩性油气藏, 2022, 34(6): 126-140. GENG Xiatong, XING Fengcun, YAN Haijun, et al. Reservoir characteristics of the fourth member of Sinian Dengying Formation and its implications for oil and gas exploration in Moxi area, Sichuan Basin. Lithologic Reservoirs, 2022, 34(6): 126-140. |
| [7] |
赵路子, 汪泽成, 杨雨, 等. 四川盆地蓬探1井灯影组灯二段油气勘探重大发现及意义. 中国石油勘探, 2020, 25(3): 1-12. ZHAO Luzi, WANG Zecheng, YANG Yu, et al. Important discovery in the second member of Dengying Formation in well Pengtan 1 and its significance, Sichuan Basin. China Petroleum Exploration, 2020, 25(3): 1-12. DOI:10.3969/j.issn.1672-7703.2020.03.001 |
| [8] |
周红飞, 戴鑫, 贾敏, 等. 川中古隆起北斜坡震旦系灯影组二段油气成藏特征. 岩性油气藏, 2022, 34(5): 130-138. ZHOU Hongfei, DAI Xin, JIA Min, et al. Hydrocarbon accumulation characteristics of the second member of Sinian Dengying Formation in the north slope of central Sichuan paleo-uplift. Lithologic Reservoirs, 2022, 34(5): 130-138. |
| [9] |
赵东方, 谭秀成, 罗冰, 等. 微生物诱导白云石沉淀研究进展及面临的挑战. 沉积学报, 2022, 40(2): 335-349. ZHAO Dongfang, TAN Xiucheng, LUO Bing., et al. A review of microbial dolomite: Advances and challenges. Acta Sedimentologica Sinica, 2022, 40(2): 335-349. |
| [10] |
岑永静, 梁锋, 王立恩, 等. 四川盆地蓬莱—中江地区震旦系灯影组二段成藏特征. 岩性油气藏, 2024, 36(2): 89-98. CEN Yongjing, LIANG Feng, WANG Lien, et al. Reservoir accumulation characteristics of the second member of Sinian Dengying Formation in Penglai-Zhongjiang area, Sichuan Basin. Lithologic Reservoirs, 2024, 36(2): 89-98. |
| [11] |
文龙, 张建勇, 潘立银, 等. 川中蓬莱—中江地区灯二段微生物白云岩储层特征、发育主控因素与勘探领域. 石油实验地质, 2023, 45(5): 982-993. WEN Long, ZHANG Jianyong, PAN Liyin, et al. Characteristics, controlling factors and exploration prospects of microbial dolomite reservoirs in the second member of Dengying Formation, Penglai-Zhongjiang area of central Sichuan Basin. Petroleum Geology & Experiment, 2023, 45(5): 982-993. |
| [12] |
夏茂龙, 张本健, 曾乙洋, 等. 川中地区蓬莱气田震旦系灯影组二段储层发育主控因素及分布规律. 岩性油气藏, 2024, 36(3): 50-60. XIA Maolong, ZHANG Benjian, ZENG Yiyang, et al. Main controlling factors and distribution of reservoirs of the second member of Sinian Dengying Formation in Penglai gas field, central Sichuan Basin. Lithologic Reservoirs, 2024, 36(3): 50-60. |
| [13] |
朱筱敏, 董艳蕾, 曾洪流, 等. 沉积地质学发展新航程——地震沉积学. 古地理学报, 2019, 21(2): 189-201. ZHU Xiaomin, DONG Yanlei, ZENG Hongliu, et al. New development trend of sedimentary geology: Seismic sedimentology. Journal of Palaeogeography (Chinese Edition), 2019, 21(2): 189-201. |
| [14] |
ZENG Hongliu, BACKUS M M, BARROW K T, et al. Stratal slicing, partⅠ: realistic 3-D seismic model. Geophysics, 1998, 63(2): 502-513. DOI:10.1190/1.1444351 |
| [15] |
曾洪流, 朱筱敏, 朱如凯, 等. 陆相坳陷型盆地地震沉积学研究规范. 石油勘探与开发, 2012, 39(3): 275-284. ZENG Hongliu, ZHU Xiaomin, ZHU Rukai, et al. Guidelines for seismic sedimentologic study in non-marine postrit basins. Petroleum Exploration and Development, 2012, 39(3): 275-284. |
| [16] |
刘化清, 苏明军, 倪长宽, 等. 薄砂体预测的地震沉积学研究方法. 岩性油气藏, 2018, 30(2): 1-11. LIU Huaqin, SU Mingjun, NI Changkuan, et al. Thin bed prediction from interbeded background: Revised seismic sedimentological method. Lithologic Reservoirs, 2018, 30(2): 1-11. |
| [17] |
朱筱敏, 董艳蕾, 曾洪流, 等. 中国地震沉积学研究现状和发展思考. 古地理学报, 2020, 22(3): 397-411. ZHU Xiaomin, DONG Yanlei, ZENG Hongliu, et al. Research status and thoughts on the development of seismic sedimentology in China. Journal of Palaeogeography (Chinese Edition), 2020, 22(3): 397-411. |
| [18] |
黄捍东, 曹学虎, 罗群. 地震沉积学在生物礁难预测中的应用: 以川东褶皱芾建南—龙驹坝地区为例. 石油学报, 2011, 32(4): 629-636. HUANG Handong, CAO Xuehu, LUO Qun. An application of seismic sedimentology in predicting organic reefs and banks: A case study on the Jiannan-Longjuba region of the eastern Sichuan fold belt. Acta Petrolei Sinica, 2011, 32(4): 629-636. DOI:10.3969/j.issn.1001-8719.2011.04.022 |
| [19] |
SAQAB M M, BOURGET J. Seismic geomorphology and evolution of early-mid miocene isolated carbonate build-ups in the Timor Sea, North West Shelf of Australa. Marine Geology, 2016, 379: 224-24. DOI:10.1016/j.margeo.2016.06.007 |
| [20] |
ZENG Hongliu, XU Zhaohui, LIU Wei, et al. Seismic-informed carbonate shelf-to-basin transition in deeply buried Cambrian strata, Tarim Basin, China. Marine and Petroleum Geology, 2022, 136: 105448. DOI:10.1016/j.marpetgeo.2021.105448 |
| [21] |
曾洪流, 赵文智, 徐兆辉, 等. 地震沉积学在碳酸盐岩中的应用: 以四川盆地高石梯—磨溪地区寒武系龙王庙组为例. 石油勘探与开发, 2018, 45(5): 775-784. ZENG Hongliu, ZHAO Wenzhi, XU Zhaohui, et al. Carbonate seismic sedimentology: A case study of Cambrian Longwangmiao Formation, Gaoshiti-Moxi area, Sichuan Basin, China. Petroleum Exploration and Development, 2018, 45(5): 775-784. |
| [22] |
ZHAO Wenzhi, ZENG Hongliu, XU Zhaohui, et al. Seismic sedimentology of a broad, low-relief carbonate platform: The Cambrian Longwangmiao Formation, Moxi-Gaoshiti area, Sichuan Basin, China. AAPG Bulletin, 2024, 108(3): 547-575. DOI:10.1306/02242318016 |
| [23] |
TAN Lei, LIU Hong, TANG Qingsong, et al. Application of seismic geomorphology to carbonate rocks: A case study of the Cambrian Longwangmiao Formation in the Gaoshiti-Moxi area, Sichuan Basin, China. Marine and Petroleum Geology, 2021, 126: 104919. DOI:10.1016/j.marpetgeo.2021.104919 |
| [24] |
ZHAO Dongfang, TAN Xiucheng, HU Guang, et al. Characteristics and primary mineralogy of fibrous marine dolomite cements in the end-Ediacaran Dengying Formation, South China: Implications for aragonite-dolomite seas. Palaeogeography, Palaeoclimatology, Palaeoecology, 2021, 581: 110635. DOI:10.1016/j.palaeo.2021.110635 |
| [25] |
汪泽成, 姜华, 陈志勇, 等. 中上扬子地区晚震旦世构造古地理及油气地质意义. 石油勘探与开发, 2020, 47(5): 884-897. WANG Zecheng, JIANG Hua, CHEN Zhiyong, et al. Tectonic paleogeography of Late Sinian and its significances for petroleum exploration in the middle-upper Yangtze region, South China. Petroleum Exploration and Development, 2020, 47(5): 884-897. |
| [26] |
杨雨, 汪泽成, 文龙, 等. 扬子克拉通西北缘震旦系油气成藏条件及勘探潜力. 石油勘探与开发, 2022, 49(2): 238-248. YANG Yu, WANG Zecheng, WEN Long, et al. Sinian hydrocarbon accumulation conditions and exploration potential at the northwest margin of the Yangtze region, China. Petroleum Exploration and Development, 2022, 49(2): 238-248. |
| [27] |
马奎, 文龙, 张本健, 等. 四川盆地德阳—安岳侵蚀裂陷槽分段性演化分析和油气勘探意义. 石油勘探与开发, 2022, 49(2): 274-284. MA Kui, WEN Long, ZHANG Benjian, et al. Segmented evolution of Deyang-Anyue erosion rift trough in Sichuan Basin and its significance for oil and gas exploration, SW China. Petroleum Exploration and Development, 2022, 49(2): 274-284. |
| [28] |
张本健, 钟原, 周刚, 等. 四川盆地中部蓬莱地区灯二段沉积微相演化及气藏综合评价. 海相油气地质, 2023, 28(1): 1-10. ZHANG Benjian, ZHONG Yuan, ZHOU Gang, et al. Sedimentary microfacies evolution and comprehensive evaluation of gas reservoir of the Dengying member 2 in Penglai area, central Sichuan Basin. Marine Origin Petroleum Geology, 2023, 28(1): 1-10. |
| [29] |
陈洪德, 田景春, 刘文均, 等. 中国南方海相震且系—中三叠统层序划分与对比. 成都理工学院学报, 2002, 29(4): 355-379. CHEN Hongde, TIAN Jingchun, LIU Wenjun, et al. Division and correlation of the sequences of marine sinian system to middle triassic series in the south of China. Journal of Chengdu University of Technology, 2002, 29(4): 355-379. |
| [30] |
文龙, 罗冰, 钟原, 等. 四川盆地灯影期沉积特征及槽-台体系成因模式. 成都理工大学学报(自然科学版), 2021, 48(5): 513-524. WEN Long, LUO Bing, ZHONG Yuan, et al. Sedimentary characteristics and genetic model of trough-platform system during the Dengying period in Sichuan Basin, China. Journal of Chengdu University of Technology (Science & Technology Edition), 2021, 48(5): 513-524. |
| [31] |
李剑, 杨春龙, 谢武仁, 等. 四川盆地安岳气田震旦系台缘带和台内地区天然气成藏差异性及勘探领域. 石油与天然气地质, 2023, 44(1): 34-45. LI Jian, YANG Chunlong, XIE Wuren, et al. Differences of natural gas accumulation and play fairways in the marginal zone and interior of Sinian platform in Anyue gas field, Sichuan Basin. Oil & Gas Geology, 2023, 44(1): 34-45. |
| [32] |
刘树根, 宋金民, 罗平, 等. 四川盆地深层微生物碳酸盐岩储层特征及其油气勘探前景. 成都理工大学学报(自然科学版), 2016, 43(2): 129-152. LIU Shugen, SONG Jinmin, LUO Ping, et al. Characteristics of microbial carbonate reservoir and its hydrocarbon exploring outlook in the Sichuan Basin, China. Journal of Chengdu University of Technology (Science & Technology Edition), 2016, 43(2): 129-152. |
| [33] |
苏建龙, 蒲勇, 缪志伟, 等. 元坝地区灯影组四段丘滩体相控储层预测. 石油物探, 2020, 59(4): 607-615. SU Jianlong, PU Yong, MIAO Zhiwei, et al. Facies-controlled reservoir prediction for the bioherm shoal of the fourth member of Dengying formation in the Yuanba area, China. Geophysical Prospecting for Petroleum, 2020, 59(4): 607-615. |
| [34] |
唐昱哲, 柴辉, 王红军, 等. 中亚阿姆河右岸东部地区侏罗系盐下碳酸盐岩储层特征及预测新方法. 岩性油气藏, 2023, 35(6): 147-158. TANG Yuzhe, CHAI Hui, WANG Hongjun, et al. Characteristics and new prediction methods of Jurassic subsalt carbonate reservoirs in the eastern right bank of Amu Darya, Central Asia. Lithologic Reservoirs, 2023, 35(6): 147-158. |
| [35] |
李婷婷, 王钊, 马世忠, 等. 地震属性融合方法综述. 地球物理学进展, 2015, 30(1): 378-385. LI Tingting, WANG Zhao, MA Shizhong, et al. Summary of seismic attributes fusion method. Progress in Geophysics, 2015, 30(1): 378-385. |
| [36] |
GEWERS F L, FERREIRA G R, ARRUDA H F, et al. Principal Component Analysis: A natural approach to data exploration. ACM Computing Surveys, 2022(4): 54. |
| [37] |
LUBO-ROBLES D, BEDLE H, MARFURT K J, et al. Evaluation of principal component analysis for seismic attribute selection and self-organizing maps for seismic facies discrimination in the presence of gas hydrates. Marine and Petroleum Geology, 2023, 150: 106097. |
| [38] |
CHEN Huayue, WANG Tingting, CHEN Tao, et al. Hyperspectral image classification based on fusing S3-PCA, 2D-SSA and random patch network. Remote Sensing, 2023, 15(13): 3402. |
| [39] |
SMERESKY B, ABELL P, FRIES M, et al. Bolide fragment detection in Doppler weather radar data using artificial intelligence/machine learning. Meteoritics and Planetary Science, 2021, 56(8): 1585-1596. |
| [40] |
胡荣强, 扈玖战, 李永义, 等. 地震多属性融合与水平井导向技术在致密油勘探开发中的应用. 石油地球物理勘探, 2022, 57(增刊2): 154-159. HU Rongqiang, HU Jiuzhan, LI Yongyi, et al. Application of seismic multi-attribute fusion and horizontal well steering technology in tight oil exploration and development. Oil Geophysical Prospecting, 2022, 57(Suppl 2): 154-159. |
| [41] |
文龙, 周刚, 孙峥, 等. 四川盆地及周缘前震旦系裂谷特征与油气地质意义. 天然气工业, 2024, 44(1): 26-39. WEN Long, ZHOU Gang, SUN Zheng, et al. Characteristics and petroleum geological significance of pre-Sinian rifts in the Sichuan Basin and its periphery. Natural Gas Industry, 2024, 44(1): 26-39. |
| [42] |
李智武, 冉波, 肖斌, 等. 四川盆地北缘震旦纪—早寒武世隆-坳格局及其油气勘探意义. 地学前缘, 2019, 26(1): 59-85. LI Zhiwu, RAN Bo, XIAO Bin, et al. Sinian to Early Cambrian uplift-depression framework along the northern margin of the Sichuan Basin, central China and its implications for hydrocarbon exploration. Earth Science Frontiers, 2019, 26(1): 59-85. |
| [43] |
罗贝维, 魏国齐, 杨威, 等. 四川盆地晚震旦世古海洋环境恢复及地质意义. 中国地质, 2013, 40(4): 1099-1111. LUO Beiwe, WEI Guoqi, YANG We, et al. Reconsructon of the late Sinian palo-ocean environment in Sichuan basin and its geological significance. Geology in China, 2013, 40(4): 1099-1111. |
| [44] |
曾富英, 杨威, 孙爱, 等. 四川盆地川中地区震旦系灯影组台地边缘相带地震识别及其分段特征. 石油与天然气地质, 2017, 38(6): 1079-1086. ZENG Fuying, YANG Wei, SUN Ai, et al. Seismic recognition and zonation of the platform margin facies of the Sinian Dengying Formation in central Sichuan Basin. Oil & Gas Geology, 2017, 38(6): 1079-1086. |
2025, Vol. 37



