致密砂岩是中国陆相湖盆中常见的储集体类型之一,储集砂岩整体物性差,渗透率多低于1.00 mD,孔隙度一般小于或等于10.0%,砂体连续分布且受沉积相带控制[1-2]。存储在致密砂岩中的油气属致密油气,在中国松辽盆地白垩系青山口组、鄂尔多斯盆地三叠系延长组、准噶尔盆地二叠系、四川盆地侏罗系均发现了亿吨级规模储量[3-5],勘探开发潜力巨大。勘探实践表明,致密砂岩储层紧邻优质烃源岩是形成致密油气藏的关键,油气短距离持续充注可以克服致密砂岩孔隙喉道小、毛管压力高等不利条件,在低孔、特低孔隙中聚集。鄂尔多斯盆地三叠系延长组可以划分为10个油层组,致密砂岩油藏主要分布在长6段和长8段,平面上主要分布于延长湖盆中部长7段优质烃源岩范围内[6],在区内相继发现了姬塬、华池、陇东、陕北4大亿吨级储量区。延长组主要发育北东及南西两大物源体系、次为西北及南部物源,控制了延长期大面积三角洲的形成,具有“满盆砂”的特征,为致密油藏的形成提供了储集条件[7-9]。然而,受成岩作用的影响,不同部位储层的储集空间类型及优质储层成因存在较大差异[10-11]。环庆地区致密油藏主要分布于区域东部,截止2024年底,该区累计探明长8致密油储量约4 000×104 t,但单井日产油量一般小于2 t,储层整体致密是导致产量较低的主要原因之一,需寻找相对高渗的优质储层及油藏富集区,以提高储量动用程度。
综合利用钻井、测井资料,岩心铸体薄片,扫描电镜及压汞实验数据等,对鄂尔多斯盆地环庆地区长8致密砂岩储层的岩石学、物性、储集空间等特征进行分析,探讨其成岩成储演化特征,明确致密油藏形成的控制因素,为该区的开发部署提供科学依据,为鄂尔多斯盆地其他地区长8致密油藏的研究提供参考。
1 地质概况环庆地区行政区划隶属于甘肃省环县,构造位置处于天环坳陷南段,横跨西部天环坳陷和东部伊陕斜坡两大构造单元,面积约1 600 km2。该区三叠系延长期发育一大型坳陷型湖盆,长10—长7沉积期为湖盆形成与发育阶段,整体表现为长期基准面上升旋回沉积,长7沉积期湖盆范围最广,地层厚度为80~100 m,沉积了一套以黑色泥页岩为主的优质烃源岩。勘探目的层长8的厚度为70~85 m,储层岩性主要为细砂岩,纵向上叠置发育(图 1)。从沉积物源体系来看,研究区长8沉积主要受西南物源体系控制,发育辫状河三角洲沉积,其中区域西部发育三角洲平原沉积,辫状河道砂体平均孔隙度为15.80%,平均渗透率为11.50 mD,为低孔、低渗储层,且该区位于长7优质烃源岩分布范围以外,油气需长距离运移成藏,已发现油藏类型主要为构造油藏及构造-岩性油藏。区域东部长8主要发育三角洲前缘沉积,水下分流河道砂体是主要的储集砂体类型,储层孔隙度一般小于10.00%,渗透率一般小于1.00 mD,局部发育相对高渗储层,为典型的特低孔、特低渗储层;区域长7发育黑色泥页岩,紧邻下伏长8地层,油气可近距离运移至长8砂岩中,形成“上生下储”型致密油藏。
|
下载原图 图 1 鄂尔多斯盆地环庆地区构造位置(a)和三叠系延长组岩性地层综合柱状图(b) Fig. 1 Structural location(a)and stratigraphic column of Triassic Yanchang Formation(b)in Huanqing area, Ordos Basin |
对环庆地区东部232个长8钻井岩样进行实验分析,结果显示:长8致密砂岩主要为岩屑长石砂岩与长石岩屑砂岩,含少量岩屑砂岩及长石砂岩(图 2)。镜下薄片观察结果显示,该套砂岩的矿物组分中长石与岩屑的含量相对较高,平均体积分数分别为26.14% 与25.63%;岩屑成分以火成岩和变质岩岩屑为主,其次为沉积岩岩屑,平均成分成熟度为0.97;碎屑颗粒之间接触方式主要为点-线接触,少见凹凸接触,磨圆度及分选性均较差。为进一步分析储层之间的差异,选取典型油层与差油层进行比较,结果(表 1)显示:油层中石英、长石、岩屑的平均体积分数依次为38.1%,22.3%,19.0%,岩屑中火山岩岩屑、变质岩岩屑、沉积岩岩屑的平均体积分数分别为6.9%,6.4% 和3.5%;差油层中石英、长石、岩屑的平均体积分数依次为32.9%,25.5%,21.6%,岩屑中火山岩岩屑、变质岩岩屑、沉积岩岩屑的平均体积分数分别为7.4%,7.6% 和4.0%。整体而言,差油层中岩屑的含量略高于油层,而变质岩岩屑中千枚岩等塑性岩屑被压实,更容易形成致密储层。
|
下载原图 图 2 环庆地区三叠系长8致密储层岩石类型三角图 Fig. 2 Triangle diagram of rock types of Triassic Chang 8 tight sandstone reservoir in Huanqing area |
|
|
下载CSV 表 1 环庆地区三叠系长8致密砂岩储层铸体薄片鉴定结果统计 Table 1 Identification results of casting thin section of Triassic Chang 8 tight sandstone reservoirs in Huanqing area |
填隙物的类型及含量对储层也有重要影响,研究区东部长8储层中填隙物主要为云母、方解石、高岭石及硅质,油层与差油层中填隙物含量差异明显,油层中云母、方解石、高岭石、硅质的平均体积分数分别为2.2%,4.4%,9.4% 和1.6%,而差油层中云母、方解石、高岭石、硅质的平均体积分数分别为2.6%,11.1%,5.7% 和0.8%。油层中方解石胶结物含量更低,高岭石含量更高,储层物性整体比差油层要好(表 1)。
2.2 孔隙类型及物性特征镜下薄片观察结果显示,研究区东部长8致密砂岩孔隙空间类型主要包括粒间孔、粒内孔和高岭石晶间孔,这些孔隙的堆叠构成了致密砂岩的储集空间(图 3a)。粒间孔周围碎屑颗粒间为点-线接触,颗粒周边表面干净,缺乏黏土膜(图 3b,3c)。粒内孔主要为长石及岩屑颗粒的溶蚀,长石碎屑通常沿着解理的方向发生溶蚀(图 3d,3e),形成梳状孔隙(图 3f);长石与其他碎屑颗粒之间的接触关系多样,溶蚀作用弱的长石与其他碎屑颗粒多呈点-线状接触,而边缘溶蚀作用强烈的长石与其他碎屑颗粒多为点接触或不直接接触,可形成铸模孔(图 3g)。高岭石呈书页状(图 3h),填充粒间孔隙(图 3i)和粒内孔隙(图 3j),在高岭石集合体中常见长石溶蚀残余(图 3l)和方解石溶蚀残余(图 3k);方解石呈斑块状或星点状方式产出,斑块状方解石与周围碎屑颗粒之间呈点状接触或漂浮在方解石中(图 3l,3m),星点状方解石主要零星地散布在高岭石集合体中(图 3n,3o)。塑性矿物(云母)挤压变形形成假杂基,充填骨架颗粒之间的孔隙(图 3o)。
|
下载原图
图 3 环庆地区三叠系长8致密砂岩储层典型微观照片
注:Q. 石英;F. 长石;R. 岩屑;Ca. 方解石;K. 高岭石;FD. 长石溶蚀;P. 粒间孔;KP. 高岭石晶间孔。 (a)致密砂岩全貌和方解石,H103井,2 399.12 m;(b)碎屑颗粒表面缺乏黏土膜,H201井,2 460.27 m;(c)碎屑颗粒表面缺乏黏土膜,H211井,2 427.69 m;(d)长石溶蚀强烈,H211井,2 448.29 m;(e)长石顺着解理溶蚀,H205井,2 648.41 m;(f)长石梳状残余,H103井,2 406.15 m;(g)长石溶蚀铸膜孔,H211井,2 448.29 m;(h)高岭石,H217井,2 523.78 m;(i)高岭石充填粒间孔隙,H103井,2 399.12 m;(j)高岭石充填粒内孔隙,长石残余丰富,H211井,2 429.33 m;(k)高岭石集合体内部富星点状方解石,H201井,2 460.27 m;(l)—(m)斑块状方解石,H103井,2 432.83 m;(n)—(o)星点状方解石,H217井,2 521.06 m。 Fig. 3 Typical microscopic images of Triassic Chang 8 tight sandstone reservoirs in Huanqing area |
据统计,研究区东部长8油层中粒间孔、粒内孔、高岭石晶间孔的面孔率依次为2.5%,2.8% 和3.1%;差油层中粒间孔、粒内孔、高岭石晶间孔的面孔率依次为1.2%,1.5% 和1.9%(图 4)。由135个样品物性数据分析可知,长8油层的孔隙度主要为5.50%~12.60%,平均为9.50%;渗透率为0.09~3.43mD,平均为0.79 mD;差油层的孔隙度主要为1.10%~8.80%,平均为4.60%,渗透率为0.02~0.46 mD,平均为0.11 mD。油层物性普遍高于差油层,且孔隙度与渗透率呈一定正相关(图 5)。
|
下载原图 图 4 环庆地区三叠系长8致密砂岩储集空间分布直方图 Fig. 4 Spatial distribution histogram of Triassic Chang 8 tight sandstone reservoirs in Huanqing area |
|
下载原图 图 5 环庆地区三叠系长8致密砂岩储层渗透率与孔隙度关系图 Fig. 5 Relationship between permeability and porosity of Triassic Chang 8 tight sandstone reservoirs in Huanqing area |
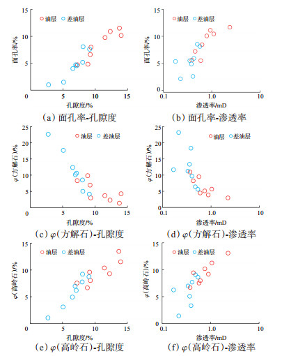
将上述储层物性参数分别与面孔率、填充物含量进行拟合,结果(图 6)显示:面孔率与孔隙度有直接的关系,物性参数与面孔率、高岭石含量均呈正相关关系,孔隙度和渗透率随着面孔率和高岭石含量的升高而增大;物性参数与方解石含量呈负相关关系,孔隙度和渗透率随着方解石含量的升高而降低。
|
下载原图 图 6 环庆地区三叠系长8致密砂岩储层物性、面孔率与填隙物含量的相关性分析 Fig. 6 Relationships of physical properties with areal porosity and interstitial materials content of Triassic Chang 8 tight sandstone reservoirs in Huanqing area |
对研究区8个长8致密砂岩样品进行压汞实验,结果(表 2)显示:样品孔隙度为2.78%~14.02%,渗透率为0.22~2.63 mD,油层样品的物性更好;该套储层整体上平均孔喉半径较小,为0.12~0.16 μm,物性较好的油层样品最大孔喉半径为0.49~0.62 μm,比差油层明显更大,这表明较高渗透率主要为大孔喉贡献;油层样品的排驱压力更小,除少数样品点外,其最大进汞饱和度普遍高于差油层样品。
|
|
下载CSV 表 2 环庆地区三叠系长8致密砂岩储层毛管压力曲线参数统计 Table 2 Statistics of capillary pressure curves parameters of Triassic Chang 8 tight sandstone reservoirs in Huanqing area |
综合分析可知,研究区长8致密储层具有喉道半径小、排驱压力较高、退汞效率低的特征,进汞量快速达到最大值后进汞速度快速下降(图 7)。此外,尽管油层的孔喉参数优于差油层,但孔隙结构总体较差,“死胡同型孔隙”占比较高,有效喉道半径范围窄,渗流能力较差。
|
下载原图 图 7 环庆地区三叠系长8致密砂岩储层毛管压力曲线(a)、毛管半径与渗透率贡献率的关系(b) Fig. 7 Capillary pressure curves(a)and relationship between capillary radius and permeability contribution rate(b)of Triassic Chang 8 tight sandstone reservoirs in Huanqing area |
研究区长8储层样品的核磁共振分析结果(图 8)表明:油层可动流体饱和度为27.17%~34.82%,平均为31.78%;差油层可动流体饱和度为19.75%~27.99%,平均为23.68%。以往研究表明,鄂尔多斯盆地长8致密砂岩储层的可动流体饱和度一般大于35.00%[12-13],而研究区长8致密油层的可动流体饱和度更小,决定了其产能更低。
|
下载原图 图 8 环庆地区三叠系长8致密砂岩油藏中油层(a)和差油层(b)的T2谱特征 注:K为渗透率,mD;Ф为孔隙度,%。 Fig. 8 NMR T2 spectra characteristics of oil layers(a) and poor oil layers(b)of Triassic Chang 8 tight sandstone reservoirs in Huanqing area |
对于陆相湖盆而言,原生粒间孔隙和次生孔隙构成致密油的主要储集空间,其中原生粒间孔隙决定着储层的质量,而次生孔隙对改善储层物性有着重要影响。鄂尔多斯盆地东部延长组致密砂岩原生粒间孔隙的壁面普遍发育绿泥石黏土膜,是优质储层和致密油“甜点”的标志。在光学显微镜下,绿泥石膜表现为原生粒间孔隙的黄色环带,遭石油浸染的绿泥石膜则为暗色环带,其形成时间不晚于早成岩阶段[14-15]。然而,环庆地区长8致密砂岩孔隙中不发育绿泥石黏土膜,粒间孔隙的形成时间晚于早成岩阶段,即为中成岩阶段形成的次生孔隙,主要为方解石胶结物溶蚀形成,早期的原生粒间孔隙已被损失殆尽。
次生孔隙的形成需要酸性或碱性溶蚀流体对砂岩进行改造。酸性流体的改造对象是长石等碎屑颗粒和碳酸盐胶结物,而碱性流体的溶蚀对象主要是石英碎屑颗粒和硅质胶结物[16]。环庆地区长8致密砂岩中长石颗粒的溶蚀现象和星点状方解石溶蚀残余极为发育,而石英颗粒没有被溶蚀的迹象,说明溶蚀流体为酸性流体。酸性流体来源主要为大气水[17]、有机酸流体和深源热液[18]等3个方面,大气水富含CO2,显酸性,以表生阶段的淋滤作用或通过断层下渗方式改造砂岩[19];有机酸流体主要形成于有机质成熟时期,随油气一起进入砂岩储层,溶蚀长石碎屑颗粒和碳酸盐胶结物;深源热液为富含多种金属离子的强酸,不仅能对砂岩进行强烈地改造,还可以形成黄铁矿、铅锌矿、白云石、钠长石等矿物组合[20-21]。研究区致密油发育区断层不发育,地层未抬升至地表,也未曾发现黄铁矿等深源热液作用所具有的特定矿物及其组合。因此,可以认为长7泥页岩生烃过程中产生的有机酸为储层改造的主要流体。
3.2 成岩成储演化序列根据石油天然气行业标准[22],中国陆相湖盆碎屑岩成岩作用过程划分为同生成岩阶段、早成岩阶段、中成岩阶段和晚成岩阶段,其中早成岩阶段和中成岩阶段进一步划分为A期和B期。晚三叠世,鄂尔多斯盆地为一个大型淡水湖泊,早成岩阶段A期最显著的成岩特征是压实作用和方解石胶结[23];早成岩阶段B期最显著的成岩特征是绿泥石膜的形成和粒间孔隙的保存;中成岩阶段A期最显著的成岩特征是石油和有机酸流体通过生烃增压缝进入砂岩中,长石和方解石溶解、自生石英颗粒和高岭石沉淀以及油藏形成[24]。综合上文对研究区长8致密砂岩孔隙类型及成因的剖析,其成岩演化序列为:早成岩阶段A期,由于压实作用与方解石胶结作用而形成致密钙质砂岩,储层尚未形成;早成岩阶段B期没有发生明显的成岩作用;中成岩阶段A期,有机酸流体与长石和方解石接触,发生溶解反应,形成次生粒间孔隙和粒内孔隙。
从研究区长8致密砂岩储层的成岩成储演化序列(图 9)来看,该套砂岩致密化的时间较早,早成岩阶段A期,在上覆地层的压实作用下,泥质沉积物的压实程度较砂质沉积物更高,在二者之间产生压力差,导致钙碳酸盐过饱和的压释水从泥质沉积物进入相邻的砂质沉积物,形成方解石胶结物。由于研究区长8致密砂岩厚度一般小于6 m,砂地比普遍小于30%,呈“泥包砂”结构,钙碳酸盐过饱和压释水很容易充满整个砂质沉积物,导致砂岩致密。已有研究表明,厚度小于4~7 m的长8砂岩基本上都是钙质胶结的致密砂岩,反言之,只有砂岩单层厚度大于7 m才可能不被压释水贯穿形成“钙壳包裹储层”的砂岩透镜体[25-26]。
|
下载原图 图 9 环庆地区三叠系长8致密砂岩储层埋藏史-热史-成岩史-成藏史-孔渗演化史耦合作用模式 Fig. 9 Coupling model of buried history, geothermal history, diagenetic history, accumulation history, and porosity-permeability evolution history of Triassic Chang 8 tight sandstone reservoirs in Huanqing area |
中成岩阶段A期伊始,长7烃源岩产生丰富的有机酸和油气,在生烃增压缝的导流作用下,经短距离运移,油气和有机酸流体优先进入下伏长8致密钙质砂岩中。有机酸流体与方解石胶结物接触,方解石一致性溶解,形成溶蚀孔隙,进而成为粒间孔隙;有机酸流体与长石碎屑颗粒接触,长石发生不一致溶解,形成高岭石和粒内孔隙。晚白垩世以来,鄂尔多斯盆地整体构造抬升,不再发生明显的压实作用,早成岩阶段A期已形成的致密砂岩在中成岩阶段A期转化为次生粒间孔隙发育的储集砂岩,具有“先致密后成储”的特点。
4 致密油分布及富集主控因素 4.1 致密油分布特征油藏开发实践表明,环庆地区长8致密油藏属于岩性油藏,其分布具有如下特征:①平面上连续、纵向上叠置分布,但不同部位油气富集程度有差别;同一套砂体的不同部位含油性不同。②构造对油藏的控制作用不明显,油藏整体含水率为4.9%~46.2%,但与构造高低没有直接关系,如位于构造高部位的H17-2A井含水率为35.3%,构造低部位的H208井含水率为29.4%,而介于二者间的H21-21B井和H19-9井的含水率分别为34.7% 和4.9%(图 10)。③纵向上油层的分布有一定规律,长8上部砂体含油性好、单油层数多,而长8下部砂体含油性变差,含油层数少,差油层及干层数量多;厚度较大(> 4 m)的单砂体含油性更好,油层数量更多,而厚度较小(≤ 4 m)的单砂体含油性变差,多为差油层及干层。
|
下载原图 图 10 环庆地区三叠系长8致密砂岩油藏剖面(剖面位置见图 12) Fig. 10 Tight sandstone reservoir profile of Triassic Chang 8 in Huanqing area |
陆相湖盆致密油的形成主要受控于盆地或坳(凹)陷中心及近邻的斜坡环境、规模发育的优质生油岩、大面积分布的储集砂体、有利源-储配置及适宜的“温-压-流体”场[27-28]。从以上角度来看,环庆地区东部长8具备形成致密油的有利条件。
(1)相对稳定的构造背景
研究区构造整体呈现中部低,东、西高的形态,东部为一西倾斜坡(图 11),发育多个微幅度鼻状构造,但坡度较缓,约0.6°,稳定的构造背景下,油水分异不明显,有利于岩性油藏的形成。
|
下载原图 图 11 环庆地区三叠系长8段顶面构造 Fig. 11 Top surface structure of Triassic Chang 8 in Huanqing area |
(2)优质烃源岩发育
研究区长7段发育黑色泥(页)岩,厚度为25~40 m,且底部发育一套厚度稳定的黑色页岩,约8~15 m,由290个实验数据分析结果可知,该套长7泥(页)岩的平均TOC值约为2.5%,平均生烃潜量约为6.46 mg/g,其中,页岩平均TOC值约为3.4%,平均生烃潜量约11.85 mg/g,整体达到优质烃源岩标准;此外,钻井揭示该套泥(页)岩的厚度自东向西逐渐变小,页岩只在东部发育,为长8致密油藏发育主要区域(图 12)。
|
下载原图 图 12 环庆地区东部三叠系长8砂体、烃源岩与致密油富集区叠合图(平面位置见图 11) Fig. 12 Superimposed map of sand body, source rock and tight oil enrichment areas of Triassic Chang 8 in eastern Huanqing area |
(3)河道砂体发育
研究区长8三角洲前缘河道频繁迁移叠置,单期河道砂体厚度一般为4~6 m,平面上呈网状分布,为连续性致密油藏的形成奠定了基础。然而,不同部位砂体含油性差别较大,主要受砂体储集性能影响,方解石溶蚀及孔喉连通性好的区域油气富集程度更高。
(4)源-储配置条件好
长8紧邻长7烃源岩下部,因此长8上部砂体具有“近水楼台”的优势,尤其与长7底部页岩直接接触的长8顶部砂体,油气富集程度最高,向下油气富集程度变差(图 13)。油气向下充注的主要动力来自于长7生烃过程产生的异常压力,而生烃增压产生的微裂缝为油气向更深层储集体运移创造了条件。在长7与长8剩余压力差的作用下,有机酸流体沿裂缝面向下渗流,抵达裂缝面底部的致密钙质砂岩,溶蚀方解石和长石,油气进入溶蚀孔隙中聚集。此外,厚度较大的砂体横向上分布广,遇到裂缝面及捕获油气的概率更大,而薄层砂体面积更小,遇到裂缝面的概率也较小,更可能形成差油层或干层。
|
下载原图 图 13 环庆地区东部三叠系长8致密油富集模式 Fig. 13 Enrichment model of tight oil of Triassic Chang 8 in eastern Huanqing area |
在致密油开采过程中,由于油层高岭石含量高和水润湿性,建议温和注水或间歇性注水开发,充分发挥渗吸作用的潜力,尽可能采出高岭石晶间孔隙中的油气,提高采收率。
5 结论(1)环庆地区东部长8致密砂岩主要为岩屑长石砂岩与长石岩屑砂岩,储集空间类型主要为次生粒间溶孔、粒内溶孔及高岭石晶间孔,孔隙结构总体较差,有效喉道半径小,可动流体饱和度低。
(2)研究区东部长8致密砂岩主要形成岩阶段A期,与压实作用和早期方解石的胶结作用有关;中成岩阶段A期,长7烃源岩热演化过程中有机酸流体溶蚀方解石和长石形成次生溶孔,成储过程为先致密后成储。
(3)研究区东部长8紧邻长7烃源岩下部,油气向下充注导致长8顶部砂体油气最为富集,多为油层;下部砂体含油性较差,多为差油层及干层;生烃增压产生的微裂缝为油气向更深层储集体运移创造了条件。此外,致密砂岩中高岭石含量高,适合温和注水或间歇性注水开发,以提高采收率。
| [1] |
陶士振, 胡素云, 王建, 等. 中国陆相致密油形成条件、富集规律与资源潜力. 石油学报, 2023, 44(8): 1222-1239. TAO Shizhen, HU Suyun, WANG Jian, et al. Forming conditions, enrichment regularities and resource potentials of continental tight oil in China. Acta Petrolei Sinica, 2023, 44(8): 1222-1239. |
| [2] |
胡素云, 陶士振, 王民, 等. 陆相湖盆致密油充注运聚机理与富集主控因素. 石油勘探与开发, 2023, 50(3): 481-490. HU Suyun, TAO Shizhen, WANG Min, et al. Migration and accumulation mechanisms and main controlling factors of tight oil enrichment in a continental lake basin. Petroleum Exploration and Development, 2023, 50(3): 481-490. |
| [3] |
郭彦如, 刘俊榜, 杨华, 等. 鄂尔多斯盆地延长组低渗透致密岩性油藏成藏机理. 石油勘探与开发, 2012, 39(4): 417-425. GUO Yanru, LIU Junbang, YANG Hua, et al. Hydrocarbon accumulation mechanism of low permeable tight lithologic oil reservoirs in the Yanchang Formation, Ordos Basin, China. Petroleum Exploration and Development, 2012, 39(4): 417-425. |
| [4] |
李登华, 李建忠, 张斌, 等. 四川盆地侏罗系致密油形成条件、资源潜力与甜点区预测. 石油学报, 2017, 38(7): 741-749. LI Denghua, LI Jianzhong, ZHANG Bin, et al. Formation condition, resource potential and sweet-spot area prediction of Jurassic tight oil in Sichuan Basin. Acta Petrolei Sinica, 2017, 38(7): 741-749. |
| [5] |
卢双舫, 黄文彪, 李文浩, 等. 松辽盆地南部致密油源岩下限与分级评价标准. 石油勘探与开发, 2017, 44(3): 474-477. LU Shuangfang, HUANG Wenbiao, LI Wenhao, et al. Lower limits and grading evaluation criteria of tight oil source rocks of southern Songliao Basin, NE China. Petroleum Exploration and Development, 2017, 44(3): 474-477. |
| [6] |
梁正中, 许红涛, 李昌. 鄂尔多斯盆地西南边缘地区长8段充注成藏模式南北对比. 油气藏评价与开发, 2022, 12(6): 918-926. LIANG Zhengzhong, XU Hongtao, LI Chang. Comparison of accumulation model of Chang-8 reservoirs between Huanxi-Pengyang area in southwestern Ordos Basin. Petroleum Reservoir Evaluation and Development, 2022, 12(6): 918-926. |
| [7] |
杨华, 傅强, 齐亚林, 等. 鄂尔多斯盆地晚三叠世延长期古湖盆生物相带划分及地质意义. 沉积学报, 2016, 34(4): 688-693. YANG Hua, FU Qiang, QI Yalin, et al. The paleontology phase zones and its geological significance on the Late Triassic Yanchang stage Palaeo-lacustrine Ordos Basin. Acta Sedimentologica Sinica, 2016, 34(4): 688-693. |
| [8] |
李文厚, 刘溪, 张倩, 等. 鄂尔多斯盆地中晚三叠世延长期沉积演化. 西北大学学报(自然科学版), 2019, 49(4): 605-621. LI Wenhou, LIU Xi, ZHANG Qian, et al. Deposition evolution of Middle-Late Triassic Yanchang Formation in Ordos Basin. Journal of Northwest University(Natural Science Edition), 2019, 49(4): 605-621. |
| [9] |
钟红利, 卓自敏, 张凤奇, 等. 鄂尔多斯盆地甘泉地区长7页岩油储层非均质性及其控油规律. 特种油气藏, 2023, 30(4): 10-18. ZHONG Hongli, ZHUO Zimin, ZHANG Fengqi, et al. Heterogeneity of Chang 7 shale oil reservoir and its oil control law in Ganquan area, Ordos Basin. Special Oil & Gas Reservoirs, 2023, 30(4): 10-18. |
| [10] |
刘长利, 刘欣, 张莉娜, 等. 碎屑岩成岩作用及其对储层的影响: 以鄂尔多斯盆地镇泾地区为例. 石油实验地质, 2017, 39(3): 349-353. LIU Changli, LIU Xin, ZHANG Lina, et al. Clastic rock diagenesis and its influence on reservoirs: A case study of Zhenjing area in the Ordos Basin. Petroleum Geology & Experiment, 2017, 39(3): 349-353. |
| [11] |
徐波, 王建, 于乐丹, 等. 致密油储层成岩相类型及其对产能的影响: 以鄂尔多斯盆地姜家川地区长8储层为例. 岩性油气藏, 2018, 30(6): 109-116. XU Bo, WANG Jian, YU Ledan, et al. Diagenetic facies types of tight reservoir and its effects on productivity: A case of Chang 8 reservoir in Jiangjiachuan area, Ordos Basin. Lithologic Reservoirs, 2018, 30(6): 109-116. DOI:10.12108/yxyqc.20180613 |
| [12] |
闫子旺, 张红玲, 周晓峰, 等. 超低渗透油藏核磁共振可动流体研究: 以鄂尔多斯盆地西南部长8储层为例. 陕西科技大学学报(自然科学版), 2015, 33(5): 105-109. YAN Ziwang, ZHANG Hongling, ZHOU Xiaofeng, et al. Research on movable fluids in ultra-low permeability reservoir with NMR technology: An example from southwest Chang 8 reservoir in Ordos Basin. Journal of Shaanxi University of Science &Technology, 2015, 33(5): 105-109. |
| [13] |
任颖惠, 吴珂, 何康宁, 等. 核磁共振技术在研究超低渗-致密油储层可动流体中的应用: 以鄂尔多斯盆地陇东地区延长组为例. 矿物岩石, 2017, 37(1): 103-110. REN Yinghui, WU Ke, HE Kangning, et al. Application of NMR technique to movable fluid of ultra-low permeability and tight reservoir: A case study on the Yanchang Formation in Longdong area, Ordos Basin. Mineralogy and Petrology, 2017, 37(1): 103-110. |
| [14] |
向芳, 冯钦, 张得彦, 等. 绿泥石环边的再研究: 来自镇泾地区延长组砂岩的证据. 成都理工大学学报(自然科学版), 2016, 43(1): 59-67. XIANG Fang, FENG Qin, ZHANG Deyan, et al. Further study of chlorite rim in sandstone: Evidences from Yanchang Formation in Zhenjing area, Ordos Basin, China. Journal of Chengdu University of Technology(Science & Technology Edition), 2016, 43(1): 59-67. |
| [15] |
周晓峰, 丁黎, 杨卫国, 等. 鄂尔多斯盆地延长组长8油层组砂岩中绿泥石膜的生长模式. 岩性油气藏, 2017, 29(4): 1-10. ZHOU Xiaofeng, DING Li, YANG Weiguo, et al. Growth pattern of chlorite film in Chang 8 sandstone of Yanchang Formation in Ordos Basin. Lithologic Reservoirs, 2017, 29(4): 1-10. DOI:10.3969/j.issn.1673-8926.2017.04.001 |
| [16] |
陈修, 曲希玉, 邱隆伟, 等. 石英溶解特征及机理的水热实验研究. 矿物岩石地球化学通报, 2015, 34(5): 1027-1033. CHEN Xiu, QU Xiyu, QIU Longwei, et al. Hydrothermal experiment research on characteristics and mechanisms of quartz dissolution. Bulletin of Mineralogy, Petrology and Geochemistry, 2015, 34(5): 1027-1033. |
| [17] |
丁晓琪, 韩玫梅, 张哨楠, 等. 大气淡水在碎屑岩次生孔隙中的作用. 地质论评, 2014, 60(1): 145-158. DING Xiaoqi, HAN Meimei, ZHANG Shaonan, et al. Roles of meteoric water on secondary porosity of siliciclastic reservoirs. Geological Review, 2014, 60(1): 145-158. |
| [18] |
时志强, 王毅, 金鑫, 等. 塔里木盆地志留系热液碎屑岩储层: 证据、矿物组合及油气地质意义. 石油与天然气地质, 2014, 35(6): 903-913. SHI Zhiqiang, WANG Yi, JIN Xin, et al. The Silurian hydrothermal clastic reservoirs in Tarim Basin: Evidences, mineral assemblages and its petroleum geological implications. Oil & Gas Geology, 2014, 35(6): 903-913. |
| [19] |
唐海忠, 魏军, 周在华, 等. 酒泉盆地营尔凹陷深层下沟组砂岩方解石胶结物特征. 天然气地球科学, 2019, 30(5): 652-661. TANG Haizhong, WEI Jun, ZHOU Zaihua, et al. Characteristics of calcite cements in deep Xiagou Formation sandstones of Ying'er Depression, Jiuquan Basin. Natural Gas Geoscience, 2019, 30(5): 652-661. |
| [20] |
张兰馨, 张凤奇, 赵振宇, 等. 热液流体活动的识别方法及油气地质意义研究进展. 海相油气地质, 2023, 28(3): 225-234. ZHANG Lanxin, ZHANG Fengqi, ZHAO Zhenyu, et al. Research progress on identification methods and geological significance for oil and gas of hydrothermal fluid activity. Marine Origin Petroleum Geology, 2023, 28(3): 225-234. |
| [21] |
黎霆, 诸丹诚, 杨明磊, 等. 热液活动对四川盆地中西部地区二叠系茅口组白云岩的影响. 石油与天然气地质, 2021, 42(3): 640-649. LI Ting, ZHU Dancheng, YANG Minglei, et al. Influence of hydrothermal activity on the Maokou Formation dolostone in the central and western Sichuan Basin. Oil & Gas Geology, 2021, 42(3): 640-649. |
| [22] |
石油地质勘探专业标准化委员会. 碎屑岩成岩阶段划分: SY/T 5477—2003[S]. 北京: 石油工业出版社, 2003. Petroleum Exploration Standardization Technical Committee. The division of diagenetic stages in clastic rocks: SY/T5477—2003[S]. Beijing: Petroleum Industry Press, 2003. |
| [23] |
屈雪峰, 周晓峰, 刘丽丽, 等. 鄂尔多斯盆地古峰庄-麻黄山地区长82低渗透砂岩致密化过程分析. 天然气地球科学, 2018, 29(3): 338-345. QU Xuefeng, ZHOU Xiaofeng, LIU Lili, et al. Densification process of Chang 82 ultra-low permeability sandstone, Gufengzhuang-Mahuangshan area, Ordos Basin. Natural Gas Geoscience, 2018, 29(3): 338-345. |
| [24] |
王昌勇, 王成玉, 梁晓伟, 等. 鄂尔多斯盆地姬塬地区上三叠统延长组长8油层组成岩相. 石油学报, 2011, 32(4): 597-602. WANG Changyong, WANG Chengyu, LIANG Xiaowei, et al. Diagenetic facies of the Chang 8 oil-bearing layer of the Upper Triassic Yanchang Formation in the Jiyuan area, Ordos Basin. Acta Petrolei Sinica, 2011, 32(4): 597-602. |
| [25] |
吴穹螈, 吴胜和, 秦国省, 等. 密井网条件下钙质胶结条带空间展布研究. 西南石油大学学报(自然科学版), 2017, 39(4): 72-77. WU Qiongyuan, WU Shenghe, QIN Guosheng, et al. Study on spatial distribution of calcite-cemented strips under close wellspacing conditions. Journal of Southwest Petroleum University(Science & Technology Edition), 2017, 39(4): 72-77. |
| [26] |
邹敏, 夏东领, 庞雯, 等. 鄂南镇泾地区长8油层组沉积格架与储层质量的关系研究. 特种油气藏, 2019, 26(1): 81-86. ZOU Min, XIA Dongling, PANG Wen, et al. Sedimentary framework and reservoir quality relation study of chang8 pay zone in Zhenjing area, southern Hubei province. Special Oil & Gas Reservoirs, 2019, 26(1): 81-86. |
| [27] |
何登发, 包洪平, 开百泽, 等. 鄂尔多斯盆地及其邻区关键构造变革期次及其特征. 石油学报, 2021, 42(10): 1255-1269. HE Dengfa, BAO Hongping, KAI Baize, et al. Critical tectonic modification periods and its geologic features of Ordos Basin and adjacent area. Acta Petrolei Sinica, 2021, 42(10): 1255-1269. |
| [28] |
任战利, 祁凯, 李进步, 等. 鄂尔多斯盆地热动力演化史及其对油气成藏与富集的控制作用. 石油与天然气地质, 2021, 42(5): 1030-1042. REN Zhanli, QI Kai, LI Jinbu, et al. Thermodynamic evolution and hydrocarbon accumulation in the Ordos Basin. Oil & Gas Geology, 2021, 42(5): 1030-1042. |
2025, Vol. 37


