2. 油气资源与工程全国重点实验室, 中国石油大学(北京), 北京 102249
2. National Key Laboratory of Petroleum Resources and Engineering, China University of Petroleum (Beijing), Beijing 102249, China
近年来,随着油气探明储量的不断增加,火山岩作为一种特殊的油气储集类型已成为勘探开发的研究热点[1]。中国火山岩广泛分布,深层火山岩油气藏在准噶尔盆地、三塘湖盆地、四川盆地、渤海湾盆地以及松辽盆地等地区均有发现[2]。与传统的沉积岩(如砂岩和碳酸盐岩)储层相比,火山岩储层具有独特的火山喷发成岩机制,受喷发形态、期次,岩石的结晶,以及在形成过程中受岩浆与孔隙流体等因素影响发生蚀变程度不同等的影响,其岩性类型复杂、矿物成分多样、孔隙结构复杂,在横向和垂向上均呈现出快速变化的岩相分布,表现出更为复杂的特征,岩石物理性质评价难度大[3-5]。精细评价基性火山岩储层对特殊油气藏的勘探开发具有重要的指导意义,然而,目前对基性火山岩储层的评价方法研究较为有限,仍处于探索阶段。
核磁共振测井(NMR)在各类储层,尤其是非常规油气评价中得到了广泛应用。一般情况下,核磁共振测量信号时受岩石骨架的影响较小,但当岩石骨架中存在顺磁性物质时(如基性火山岩中较高含量的绿泥石或其他顺磁性矿物),岩石固体骨架与流体之间磁化系数的差异会产生较高的内部磁场梯度,进而增加横向弛豫速率,使测量信号迅速衰减,导致反演的T2分布难以准确表征岩石的物理性质[6-7]。因此,研究顺磁性矿物对基性火山岩核磁共振响应的影响与规律,对于火山岩储层的准确评价具有重要意义[8]。司马立强等[9]结合理论模拟、实验及测井资料,探讨了不同岩性火山岩的核磁共振响应特征与岩性之间的关系,认为岩石中顺磁性物质含量越高,岩石磁化率越高,核磁孔隙度与常规分析孔隙度的误差就越大,限制了核磁共振在中基性及小孔径火成岩储层中的应用。廖广志等[10]通过常规岩心测量和核磁共振实验,深入分析了顺磁性矿物对火山岩NMR测量的影响,认为常规一维NMR测量受内部磁场梯度的影响,导致孔隙度、渗透率等储层参数明显偏低,采用G-T2二维NMR测量方法可以探测火山岩内部磁场梯度的分布。史飞洲等[11]分析了核磁共振测井在酸性和中基性火成岩中的应用效果,指出应用效果随铁磁性矿物含量的增加而减弱,随石英含量的增加而提升,随泥质含量的增加而变差。屈乐等[12]基于含顺磁性物质的人工岩心与实际火成岩岩心,探讨了顺磁性物质含量与核磁孔隙度测量误差之间的关系,分析了不同回波间隔和岩性条件下的核磁孔隙度误差。李晓峰等[13]建立了Fe含量与火山岩核磁孔隙度的关系模型,提高了松辽盆地深层中基性火山岩孔隙度的计算精度。高衍武等[14]通过实验数据探讨了顺磁性物质在NMR谱中的信号特征及其与孔隙度的关系,并对核磁孔隙度进行了校正。孙军昌等[15]对不同区块火山岩气田进行了岩心核磁共振实验,对火山岩气藏储层的成岩机制、孔隙结构和矿物成分特征进行了分析,认为不同岩性的元素组成差异是导致核磁孔隙度误差的主要原因,顺磁性物质如铁、锰等含量越高,误差越大。整体而言,目前针对火山岩核磁共振响应机理的研究有限,尤其是针对火山岩T2谱校正及孔隙结构表征方法的研究鲜有报道,限制了对火山岩的勘探开发。
通过多尺度联合实验,在X射线衍射全岩矿物分析(XRD)、定量矿物分析(QEMSCAN)及核磁共振实验的基础上,分析基性火山岩的岩石学特征及核磁共振响应规律;结合核磁共振内部磁场梯度的数值模拟,探讨顺磁性矿物对T2谱的影响,建立核磁共振孔隙度校正方法和火山岩储层孔隙结构表征方法,以期为火山岩油气藏的精细勘探开发提供参考。
1 地质概况受峨眉地裂运动影响,四川、贵州、云南等地区在二叠纪中晚期广泛发育巨型厚层基性火山岩,即峨眉山玄武岩,这是国际公认的大火成岩区域[16]。四川盆地二叠系火山岩主要分布于川西—蜀南地区,呈现穿时地层特征,整体上西南厚、东北薄,但局部地区,如成都—简阳地区因基底断裂发育形成小型喷发中心,火山岩厚度较大。按照酸度(SiO2含量)划分,基性火山岩的SiO2质量分数为44.0%~53.5%,而超基性岩石中SiO2质量分数一般低于44.0%[17],盆地内火山岩储层为偏碱性的基性火山碎屑岩及基性浅层侵入岩,矿物成分主要为硅酸盐。根据TAS(Total Alkali Silica)的分类,四川盆地火山岩储层以偏碱性或亚碱性的基性岩和超基性岩为主,基性玻璃质经脱玻化后形成隐晶质结构,析出高价氧化铁,较高的暗色矿物含量也促使火山岩地层更容易发生蚀变作用[18-21]。按照岩石结构和成因划分,盆地内火山岩储层岩性主要为火山碎屑熔岩、玄武岩和凝灰岩,火山碎屑熔岩发育孔隙型储层,物性较好;玄武岩储层则以发育裂缝为主,基质孔隙度较低,为孔隙-裂缝型储层;凝灰岩储层岩性致密,储集性能差,多为非储层[22-24]。
研究区四川盆地西南部指的成都—简阳地区,包含成都市的简阳市、金堂县、德阳市中江县、资阳市乐至县,位于斜坡构造带高部位,属川中古隆平缓构造区与川西中新坳陷低陡构造区的交界位置,北部为三皇庙构造,东临土桥构造,西抵磨盘山构造,南接平泉构造(图 1a)。根据火山岩岩心和测井等资料,研究区二叠系峨眉山玄武岩组基性火山岩的岩性包含玄武质火山碎屑熔岩、灰质角砾熔岩、粒玄岩、辉绿玢岩、玄武岩和凝灰岩6种,有利储层岩性为玄武质火山碎屑熔岩、灰质角砾熔岩(孔隙型储层)和玄武岩(裂缝型储层),本文研究对象基性火山岩是指玄武质火山碎屑熔岩,灰质角砾熔岩和辉绿玢岩。灰质角砾熔岩储层孔隙度主要为10%~20%,渗透率变化较大,主要为0.001~10.000 mD,受母源灰岩角砾影响,非均质性较强,孔隙结构复杂,孔渗规律不明显,但渗透率整体随着孔隙度的增加而变大。玄武质火山碎屑熔岩储层孔隙度主要为10%~20%,渗透率较低,但孔渗相关性较好。辉绿玢岩储层极为致密,孔隙度低于1%,渗透率接近于0,无法得出明确的孔渗关系。
|
下载原图 图 1 四川盆地西南部二叠系峨眉山玄武岩组火山岩平面分布(a)和岩性地层综合柱状图(b)(据文献[24]修改) Fig. 1 Distribution map of volcanic rocks (a) and stratigraphic column (b) of Permian Emeishan Basalt Formation in southwestern Sichuan Basin |
火山岩因其特殊的成岩机制,内含多种矿物,种类繁多、结构复杂,可大致分为浅色矿物(如石英、长石)和暗色矿物(如辉石、角闪石、黑云母),多样的矿物种类使得在对火山岩进行评价时,骨架参数难以确定,地层元素测井解谱模型难以建立,此外,较多的含铁矿物也会对核磁共振测量造成较大的影响。
对四川盆地西南地区玄武组灰质角砾熔岩和玄武质火山碎屑熔岩样品进行QEMSCAN矿物扫描测试,结果(图 2)显示:灰质角砾熔岩主要矿物是方解石(质量分数为42.36%)、石英(质量分数为10.54%)、斜长石(质量分数为8.80%)以及黏土矿物(质量分数为38.30%);黏土矿物中绿泥石的相对含量较高,质量分数为35.49%,呈结核状、连片状或分散状附着在孔隙壁上或填充在孔隙中,对孔隙结构影响大。玄武质火山碎屑熔岩主要矿物是方解石(质量分数为47.04%)、石英(质量分数为21.42%)、钠长石(质量分数为18.80%)和黏土矿物(质量分数为12.47%),其中绿泥石质量分数为5.24%,相对较低,分布零散,对孔隙结构的影响较小。
|
下载原图 图 2 四川盆地西南部典型井二叠系峨眉山玄武岩组灰质角砾熔岩和玄武质火山碎屑熔岩矿物分布特征 Fig. 2 Mineral distribution characteristics of calcareous breccia lava of Permian Emeishan Basalt Formation of typical wells in southwestern Sichuan Basin |
对研究区玄武组4口井24块火山岩样品进行全岩及黏土矿物X射线衍射分析(每口井仅展示1块岩心的实验数据)。结果(表 1,表 2)显示:灰质角砾熔岩的矿物成分主要为斜长石、方解石、黏土矿物及石英,含有少量含铁矿物,黏土矿物平均质量分数为33.0%,其中84.0% 由绿泥石组成,部分样品黏土矿物中绿泥石含量可达100%。玄武质火山碎屑熔岩矿物成分也以斜长石、黏土矿物、石英和方解石为主,黏土质量分数为32.0%,以伊蒙混层、伊利石、绿泥石为主,绿泥石含量相对灰质角砾熔岩更少,质量分数占黏土矿物的33.0%。辉绿玢岩的主要矿物成分为黏土矿物、斜长石、钾长石、辉石、铁白云石,还有少量的石英、方解石、磁铁矿和黄铁矿,黏土矿物平均质量分数为25.5%,以伊蒙混层、伊利石、绿泥石和高岭石为主,含铁矿物含量较高,平均质量分数约为17.7%。
|
|
下载CSV 表 1 四川盆地西南部二叠系峨眉山玄武岩组基性火山岩全岩矿物X射线衍射分析 Table 1 XRD analysis of whole rock minerals of basic volcanic rocks of Permian Emeishan Basalt Formation in southwestern Sichuan Basin |
|
|
下载CSV 表 2 四川盆地西南部二叠系峨眉山玄武岩组基性火山岩黏土矿物X射线衍射分析 Table 2 XRD analysis of clay minerals of basic volcanic rocks of Permian Emeishan Basalt Formation in southwestern Sichuan Basin |
根据Berger等[25]和Brownstein等[26]提出的BT模型(受限流体弛豫模型),岩石中孔隙流体的纵向弛豫时间和横向弛豫时间可表示为
| $ \frac{1}{T_1}=\frac{1}{T_{1, \text { bulk }}}+\rho_1 \frac{S}{V} $ | (1) |
| $ \frac{1}{T_2}=\frac{1}{T_{2, \text { bulk }}}+\rho_2 \frac{S}{V}+\frac{D \gamma^2 G^2 T_{\mathrm{E}}^2}{12} $ | (2) |
式中:T1和T2分别为纵向弛豫时间和横向弛豫时间,ms;T1,bulk和T2,bulk分别为T1和T2的体弛豫,ms,只与流体本身物理性质(黏度、温度等)有关;ρ1和ρ2分别为T1和T2的表面弛豫率,m/ms,与岩石颗粒表面及胶结物的性质有关;S为孔隙表面积,m2;V为孔隙体积,m3;S/V为孔隙的比表面积,m-1;Dγ2G2TE2/12为扩散弛豫,其中D为自由流体的扩散系数,m2 ms;γ为氢核旋磁比,rad/(ms·T);TE为核磁共振脉冲序列的回波间隔,s;G为磁场梯度,mT/m,在无外加梯度磁场时,G一般指内部磁场梯度(Gin),由岩石骨架颗粒与孔隙流体之间磁化率的差异产生,且与孔径几何形状与尺寸有关。其表达式为
| $ G_{\mathrm{in}}=\Delta \chi \frac{B_0}{r} $ | (3) |
式中:Δχ为岩石骨架颗粒与孔隙流体之间磁化率的差异,A/m(亚伏每米);B0为静磁场强度,T(特斯拉);r为孔隙空间的弯曲程度。
司马立强等[9]的研究认为基性火山岩的体积磁化率明显高于其他岩石类型(表 3),且自身具备微小且复杂的孔隙结构,这使得在核磁共振测量过程中出现明显的内部磁场梯度情况,这种内部磁场梯度效应对弛豫速率产生了不可忽略的影响。
|
|
下载CSV 表 3 四川盆地西南部二叠系峨眉山玄武岩组常见火山岩体积磁化率对比 Table 3 Magnetic susceptibility of volcanic rocks of Permian Emeishan Basalt Formation in southwestern Sichuan Basin |
T2谱通常由核磁共振测量的回波串衰减数据反演得到,内部磁场梯度对测量结果的影响会直接体现在回波串数据上,通过数值模拟可以分析梯度磁场下扩散弛豫造成的影响[27]。理论上,内部磁场梯度Gin主要影响扩散弛豫,对体弛豫及表面弛豫没有影响。因此,可以假设岩石的体弛豫和表面弛豫保持不变,单独分析内部磁场梯度的大小及回波间隔变化对T2的影响。
无内部磁场梯度时,CPMG序列测量得到的回波串[28]可表达为
| $ M\left(t_i\right)=M_0 \exp \left(\frac{-t_i}{T_{2 j}}\right)+\varepsilon_i $ | (4) |
式中:M0为零时刻的磁化强度,A/m2;i为回波数,个,i = 1,2,…,n;ti为每一个回波对应的信号幅度,μV;T2j为第j个T2分量的弛豫时间,ms;εi为第i个回波信号对应的高斯白噪声,dB。
加入扩散弛豫后,回波串表达式为[28]
| $ M\left(t_i\right)=M_0 \exp \left(\frac{-t_i}{T_{2 j}}\right) \exp \left(\frac{D \gamma^2 G^2 T_{\mathrm{E}}^2}{12}\right)+\varepsilon_i $ | (5) |
在数值模拟过程中,首先通过高斯分布生成一个在无内部磁场梯度条件下呈现双峰形态的T2谱,其中10 ms附近为束缚水峰,200 ms附近为可动水峰(图 3);随后设定扩散弛豫的参数,使回波间隔与实验参数相同,并以式(5)为核函数进行回波数据的正演,由此得到在不同内部磁场梯度影响下的回波串数据,并加入随机生成的高斯白噪声。最后,通过BRD反演方法(BRD算法是以正则化算法为基础的一种反演算法框架)[29]获得受内部磁场梯度影响时的T2谱。
|
下载原图 图 3 四川盆地西南部二叠系峨眉山玄武岩组基性火山岩无内部磁场梯度时的T2谱模型 注:T2为横向弛豫时间,ms;TE为回波间隔,ms。 Fig. 3 T2 spectral model without internal gradient magnetic field of basic volcanic rocks of Permian Emeishan Basalt Formation in southwestern Sichuan Basin |
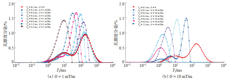
通过数值模拟,可以获得不同内部磁场梯度、不同回波间隔时的T2谱,结果(图 4)显示:当内部磁场梯度G = 1 mT/m,仪器回波间隔TE为0.1 ms时,T2谱与无内部磁场梯度时的T2谱相似,均呈双峰形态分布;当G = 1 mT/m,TE为0.2~2.4 ms时,T2谱谱峰左移,最终形成单峰,谱面积减小的趋势不明显;当G = 10 mT/m,TE = 0.1 ms时,T2谱主峰向左偏移10倍,谱峰变窄,束缚水峰也随之左移;当G = 10 mT/m,TE为0.2~2.4 ms时,T2谱呈单峰分布,谱面积明显减小。由此可知,内部磁场梯度越大,对核磁共振测试结果的影响越大,回波间隔较大会导致T2谱严重失真。
|
下载原图 图 4 四川盆地西南部二叠系峨眉山玄武岩组基性火山岩不同内部磁场梯度(G)与回波间隔(TE)条件下的T2谱 Fig. 4 T2 spectrum with different echo spacing under different internal gradient magnetic field of basic volcanic rocks of Permian Emeishan Basalt Formation in southwestern Sichuan Basin |
对四川盆地西南部峨眉山玄武岩组24块岩心进行核磁共振实验,实验之前先对岩心进行洗盐、洗油和烘干处理,并测量气体孔隙度和渗透率,以便与核磁实验结果对比;再对岩心饱和地层水(矿化度为45 000 mg/L的盐水),并测量含水孔隙度,得到基本物性参数(表 4)。
|
|
下载CSV 表 4 四川盆地西南部二叠系峨眉山玄武岩组基性火山岩岩心物性参数 Table 4 Core physical properties of basic volcanic rocks of Permian Emeishan Basalt Formation in southwestern Sichuan Basin |
通常,当回波间隔增大时,T2谱受到2个方面的影响,一是回波间隔大可能导致短弛豫信号无法被测量,这是核磁共振实验中普遍存在的现象;二是当岩心中顺磁性矿物含量较高时,会产生较高的内部磁场梯度,导致弛豫信号出现额外的衰减,这种效应在T2谱上表现为整体向短弛豫方向移动,且谱面积逐渐减小。对4块样品进行改变回波间隔的核磁共振实验,实验时对每块样品都将CPMG脉冲序列回波间隔依次设置为0.1 ms,0.2 ms,0.4 ms,0.6 ms,0.9 ms,1.2 ms和2.4 ms,分别进行一维核磁共振实验。结果(图 5)显示,不同岩性的基性火山岩的T2谱响应特征如下:
|
下载原图 图 5 四川盆地西南部二叠系峨眉山玄武岩组不同岩性基性火山岩变回波间隔(TE)实验结果 Fig. 5 Experimental results of varying echo spacing on cores of different lithological of basic volcanic rocks of Permian Emeishan Basalt Formation in southwestern Sichuan Basin |
(1)灰质角砾熔岩
灰质角砾熔岩样品的T2谱呈单峰且分布较窄,主峰位于10.0 ms附近,这表明基质孔隙较小,孔径分布比较均匀。然而,T2谱上的可动水峰并不明显,分析认为是由于样品黏土含量较高,且以铁绿泥石为主,导致T2谱受顺磁性矿物(铁绿泥石)的影响,可动水峰左移并与束缚水峰重叠。随着回波间隔增大为0.1~2.4 ms时,大量弛豫信号消失,谱面积持续减小,此时T2谱的变化主要是因短弛豫信号无法测量所致。
(2)玄武质火山碎屑熔岩
玄武质火山碎屑熔岩样品的T2谱呈双峰分布且分布较广,主峰略大于10.0 ms,在1.0 ms附近出现泥质束缚水峰,这表明孔径较小且分布范围较广。随着回波间隔增大,T2谱变化规律与灰质角砾熔岩类似,但谱左移幅度相对较小,分析认为玄武质火山碎屑熔岩内部黏土含量虽高,但铁绿泥石含量相对较低,受内部磁场梯度的影响较小。
(3)辉绿玢岩
辉绿玢岩样品岩心致密,主峰约为0.3 ms,峰值较低,孔隙度及孔隙尺寸极小,孔隙中自由流体信号较少,该样品矿物成分中含铁矿物质量分数约为17.7%(表 2),因此,随着回波间隔增大,短弛豫组分迅速减小,T2谱总面积持续减小,信号丢失严重。
4.3 不同岩性火山岩的内部磁场梯度不同岩性基性火山岩的矿物组成、蚀变程度及孔隙结构都不相同,这种复杂的岩性特征影响着基性火山岩的核磁共振响应机理。在四川盆地二叠系基性火山岩中,蚀变形成的绿泥石内部含有大量的顺磁性铁元素,这对核磁共振测量产生了显著影响,而内部磁场梯度的存在导致氢核发生额外扩散,从而增加弛豫速率[28]。本文中实验测量均未使用外加磁场,在这种情况下,当仪器接收到CPMG脉冲序列的第一个回波信号时,结合式(3)—(5)进行分析,有助于理解内部磁场梯度对弛豫特性的影响。
| $ M(2 \tau)=M_0 \exp \left(-\frac{2 D \gamma^2 G^2 \tau^2}{3}\right) $ | (6) |
式中:τ为回波间隔的一半,ms;M(2τ)为测量得到回波信号,A/m2。
通过对不同回波间隔下的核磁共振信号进行反演,可以得到内部磁场梯度G的分布,再进行归一化处理后,发现内部磁场梯度与孔隙结构之间存在关联,即内部磁场梯度值越大,表明孔隙的几何形态越扭曲,孔径越小。如图 6所示,灰质角砾熔岩样品内部磁场梯度主要为2~100 mT/m,呈单峰分布,表明其孔隙结构相对单一;玄武质火山碎屑熔岩样品内部磁场梯度主要为5~100 mT/m,呈双峰分布,且其主峰相对于灰质角砾岩样品略偏左,表明其顺磁性物质含量相对较低,且孔隙结构的非均质性更强;辉绿玢岩样品内部磁场梯度约为100 mT/m,说明顺磁性物质含较高,由于孔径更小且更为致密,观测数据的信噪比极低,幅度约为0.002 μV,几乎无法测量到有效信号。
|
下载原图 图 6 四川盆地西南部二叠系峨眉山玄武岩组基性火山岩内部磁场梯度分布 Fig. 6 Internal gradient distribution of basic volcanic rocks of Permian Emeishan Basalt Formation in southwestern Sichuan Basin |
对四川盆地西南部峨眉山玄武岩组19块样品进行变回波间隔实验来测量核磁孔隙度,结果(图 7)显示:当回波间隔为0.1 ms时,核磁孔隙度与含水孔隙度的一致性最好,内部磁场梯度对测量结果的影响最小;当回波间隔为0.2 ms时,标定后的核磁孔隙度略降低,绝对误差小于1%;随着回波间隔的持续增大,内部磁场梯度的存在导致核磁孔隙度迅速减小,此时内部磁场梯度对孔隙度测量的影响不能忽略。结合前文矿物成分分析,灰质角砾熔岩中顺磁性矿物(绿泥石+含铁矿物)含量最高,玄武质火山碎屑熔岩次之,辉绿玢岩中顺磁性矿物含量最低,可知内部磁场梯度对灰质角砾熔岩的核磁孔隙度影响最大,对玄武质火山碎屑熔岩影响次之,对辉绿玢岩的影响最小。
|
下载原图 图 7 四川盆地西南部二叠系峨眉山玄武岩组基性火山岩变回波间隔(TE)实验核磁孔隙度计算结果 注:虚线为核磁孔隙度/含水孔隙度的1∶1对照线。 Fig. 7 Calculation results of nuclear magnetic porosity for different echo time of basic volcanic rocks of Permian |
基于上述实验和分析结果,研究区基性火山岩的内部磁场梯度主要受铁(Fe)元素含量的影响,在进行核磁共振测井时,如果设置的回波间隔较大,测得的核磁孔隙度将低于岩心测试孔隙度。以A井为例,16个样品数据的分析结果显示顺磁性矿物(Fe)含量与核磁孔隙度相对误差呈线性正相关关系,Fe含量越高,核磁孔隙度相对误差越大(图 8)。
|
下载原图 图 8 四川盆地西南部二叠系峨眉山玄武岩组基性火山岩核磁孔隙度相对误差-顺磁性矿物Fe含量交会图 Fig. 8 Cross-plot of relative error of NMR porosity and paramagnetic mineral Fe content of basic volcanic rocks of Permian Emeishan Basalt Formation in southwestern Sichuan Basin |
岩心含水孔隙度与核磁共振孔隙度的相对误差可建立核磁共振孔隙度校正公式:
| $ e_{\text {扎隙度 }}=\frac{\varphi_{\text {常规 }}-\varphi_{\mathrm{CMRE}}}{\varphi_{\text {常规 }}} $ | (7) |
| $ \varphi_{\text {校正 }}=\frac{\varphi_{\mathrm{CMRE}}}{3.47-0.54 w(\mathrm{Fe})} $ | (8) |
式中:e孔隙度为孔隙度相对误差,%;φ常规,φCMRE,φ校正分别为含水孔隙度,核磁孔隙度和校正后的核磁孔隙度,%;w(Fe)为Fe的质量分数,%。
将校正后的核磁孔隙度与测井孔隙度进行对比,结果(图 9)显示,核磁孔隙度与测井孔隙度的相对误差从60% 下降为15%,这也证明了利用该校正模型可以获得更加准确的基性火山岩孔隙度。
|
下载原图 图 9 四川盆地西南部二叠系峨眉山玄武岩组基性火山岩核磁孔隙度校正前后对比 Fig. 9 Comparison of NMR porosity of basic volcanic rocks of Permian Emeishan Basalt Formation in southwestern Sichuan Basin before and after correction |
上述数值模拟和实验结果均表明,当存在较高的内部磁场梯度时,T2谱往往会出现左移现象,导致表征孔隙结构时得到的孔径分布可能会比实际值低一个数量级。根据纵向弛豫时间的定义,T1不受外部和内部磁场梯度下的扩散弛豫影响,并且同样可以用来表征岩石的孔隙结构[30]:
| $ \frac{1}{T_1} \approx \rho_1 \frac{S}{V}=F_{\mathrm{s}} \frac{\rho_1}{r_{\mathrm{co}}} $ | (9) |
| $ r_{\mathrm{co}}=c r_{\text {th }} $ | (10) |
式中:Fs为孔隙几何形状;rco为孔隙半径,m;c为平均喉道比;rth为喉道半径,m,c和rth均由压汞实验得到。
T1与孔径分布之间的关系可表示为
| $ \frac{1}{T_1}=F_{\mathrm{s}} \frac{\rho_1}{\left(c r_{\mathrm{th}}\right)^n} $ | (11) |
| $ r_{\mathrm{th}}=m T_1^n $ | (12) |
式中:m和n均为反应岩石孔喉大小的参数[31]。
T2谱与毛管压力曲线Pc及喉道半径之间关系[32]为
| $ P_{\mathrm{c}}=\frac{2 \sigma \cos \theta}{r_{\mathrm{t}}}=\frac{2 \sigma \cos \theta}{f\left(\rho F_{\mathrm{s}} T_2\right)}=g\left(T_2\right) $ | (13) |
式中:σ为表面张力,mN/m;θ为流体内表面和孔隙壁的接触角,(°);ρ表面弛豫率,m/s;f,g均表示函数关系。
通过式(12),将T1分布与孔径分布进行拟合(以A-10号样品为例),可得到反应岩石孔喉大小的参数m和n,从而实现T1谱向孔径分布的转换,将转换结果与三维CT数字岩心实验得到的孔径分布进行对比,T1谱孔径分布的转换结果与三维CT数字岩心实验得到的孔径分布比较一致(图 10)显示。在使用相同转换参数的情况下,T2评价得出的孔径大小明显小于T1,计算出来的孔隙孔径分布也偏小,因此需要进行校正。
|
下载原图 图 10 四川盆地西南部二叠系峨眉山玄武岩组基性火山岩T1及T2谱转换的孔径分布与CT数字岩心实验得到的孔径分布对比 Fig. 10 Comparison of pore size distribution obtained by converting T1, T2 and CT digital core experiments of basic volcanic rocks of Permian Emeishan Basalt Formation in southwestern Sichuan Basin |
T1与T2谱的几何平均值在一定程度上反应了平均孔喉大小,在基性火山岩中,T2受到内部磁场梯度的影响,导致谱峰向左偏移,使T2谱几何平均值减小,在无顺磁性矿物影响时,T2值通常略小于T1,两者的比值接近于1。因此,通过建立T1与T2谱几何平均值的关系,可以对T2谱的峰值移动幅度进行校正[式(14)],将T2谱校正至无内部磁场梯度影响下的状态。
| $ T_2^{\prime}=a \frac{T_{1, \mathrm{gm}}}{T_{2, \mathrm{gm}}} T_1 $ | (14) |
式中:T2'为校正后的横向弛豫时间,ms;a为校正因子,可由岩心刻度得出;T1,gm和T2,gm分别为纵向和横向弛豫时间的几何平均值,ms,可由实验测量或测井曲线计算得出。
以A-10号样品为例,对T2谱的峰值移动幅度进行校正,并根据校正后的结果进行孔径分布转换,其中标定的校正因子a取值1.1。校正前后T2谱孔径分布转换结果对比(图 11)显示,校正前T2谱孔径分布1~100 μm,主峰9.6 ms,与CT数字岩心所得孔径分布(8~1 000 μm,主峰100 ms)的误差较大,校正后的T2谱孔径为6~800 μm,主峰100 ms,与T1谱及CT数字岩心所得孔径分布均有良好的对应关系,误差显著变小。
|
下载原图 图 11 四川盆地西南部二叠系峨眉山玄武岩组基性火山岩T2谱峰值移动幅度校正效果分析 Fig. 11 Correction effect analysis of T2 spectrum peak shift amplitude of basic volcanic rocks of Permian Emeishan Basalt Formation in southwestern Sichuan Basin |
采用本文校正方法[式(9)—(13)]对A井进行校正,校正前计算得出的平均孔喉半径约为为5.56 μm,误差达82%。岩心T1,gm/T2,gm约为5.46,校正后计算得到平均孔喉半径约为5.20 μm,误差下降为6%,反映了更真实的地层情况。利用校正后的结果进行核磁孔隙结构评价,结果(图 12)显示:平均孔喉半径、中值半径等孔隙结构表征参数曲线波动幅度大,表明该层段的火山岩孔隙分布非均质性强,以中小孔喉为主。
|
下载原图 图 12 四川盆地西南部A井二叠系峨眉山玄武岩组基性火山岩核磁孔隙结构评价 Fig. 12 NMR pore structure evaluation of basic volcanic rocks of Permian Emeishan Basalt Formation of well A in southwestern Sichuan Basin |
(1)顺磁性矿物含量是影响基性火山岩内部磁场梯度大小的主要因素,基性火山岩由于含有较多的暗色矿物,容易发生蚀变产生绿泥石,从而导致核磁共振测量中出现较大的内部磁场梯度,使T2谱谱峰左移,面积变小,核磁孔隙度偏低;当岩心存在较大的内部磁场梯度时,T2谱将从长弛豫组分开始向左移动,双峰形态的T2谱会变成单峰,内部磁场梯度越大,T2谱移动的速率越快;较短的回波间隔对内部磁场梯度有一定的抑制作用。
(2)结合地层元素测井中主要的顺磁性元素(Fe)含量对核磁共振孔隙度进行校正,再根据T1不受内部磁场梯度影响的特性,通过先将T1转化为孔径分布并建立T1谱与T2谱之间的转换关系,间接地通过T2来评价岩石的孔径分布特征的方法,在四川盆地西南部二叠系峨眉山玄武岩组基性火山岩孔隙结构评价中取得较好效果,所得平均孔喉半径与CT数字岩心实验测量的平均孔喉半径的误差为6%。
| [1] |
毛治国, 崔景伟, 綦宗金, 等. 风化壳储层分类、特征及油气勘探方向. 岩性油气藏, 2018, 30(2): 12-22. MAO Zhiguo, CUI Jingwei, QI Zongjin, et al. Classification, characteristics and petroleum exploration of weathering crust reservoir. Lithologic Reservoirs, 2018, 30(2): 12-22. DOI:10.12108/yxyqc.20180202 |
| [2] |
张文播, 李亚, 杨田, 等. 四川盆地简阳地区二叠系火山碎屑岩储层特征与成岩演化. 岩性油气藏, 2024, 36(2): 136-146. ZHANG Wenbo, LI Ya, YANG Tian, et al. Characteristics and diagenetic evolution of Permian pyroclastic reservoirs in Jianyang area, Sichuan Basin. Lithologic Reservoirs, 2024, 36(2): 136-146. DOI:10.12108/yxyqc.20240213 |
| [3] |
LI Shuai, YANG Shenglai, JIN Lei, et al. Investigation on pore structure, fluid mobility and water huff-n-puff oil recovery of tight volcanic oil reservoir. Journal of Petroleum Science & Engineering, 2022, 215: 2-18. |
| [4] |
任大忠, 周兆华, 梁睿翔, 等. 致密砂岩气藏黏土矿物特征及其对储层性质的影响: 以鄂尔多斯盆地苏里格气田为例. 岩性油气藏, 2019, 31(4): 42-53. REN Dazhong, ZHOU Zhaohua, LIANG Ruixiang, et al. Characteristics of clay minerals and its impacts on reservoir quality of tight sandstone gas reservoir: A case from Sulige Gas Field, Ordos Basin. Lithologic Reservoirs, 2019, 31(4): 42-53. DOI:10.12108/yxyqc.20190405 |
| [5] |
WANG Pengfei, JIANG Zhenxue, YIN Lishi, et al. Lithofacies classification and its effect on pore structure of the Cambrian marine shale in the Upper Yangtze Platform, South China: Evidence from FE-SEM and gas adsorption analysis. Journal of Petroleum Science & Engineering, 2017, 156: 307-321. |
| [6] |
单玄龙, 邹玉洁, 衣健, 等. 盆地火山岩相研究进展: 基性火山熔岩及水下喷发火山岩相新成果. 吉林大学学报(地球科学版), 2024, 54(3): 721-734. SHAN Xuanlong, ZOU Yujie, YI Jian, et al. Progress of basin volcanic facies: New results of intermediate-mafic volcanic lava and volcanic facies of subaqueous eruption. Journal of Jilin University: Earth Science Edition, 2024, 54(3): 721-734. |
| [7] |
汤庆艳, 李璐, 张燕, 等. 峨眉山大火成岩省含钒钛磁铁矿镁铁-超镁铁质侵入体中磷灰石主量元素地球化学特征及成岩成矿条件. 岩石学报, 2024, 40(7): 2169-2185. TANG Qingyan, LI Lu, ZHANG Yan, et al. Major element geochemistry of apatite from Fe-Ti-V oxide-bearing mafic-ultramafic intrusions in the Emeishan large igneous province and their petrogenesis and mineralization. Acta Petrologica Sinica, 2024, 40(7): 2169-2185. |
| [8] |
熊连桥, 于福生, 姚根顺, 等. 砂砾岩储层中黄铁矿的油气地质意义: 以准噶尔盆地车60井区齐古组为例. 岩性油气藏, 2017, 29(4): 73-80. XIONG Lianqiao, YU Fusheng, YAO Genshun, et al. Petroleum geological significance of pyrite in glutenite reservoirs: A case of Qigu Formation in Che 60 well field, Junggar Basin. Lithologic Reservoirs, 2017, 29(4): 73-80. DOI:10.3969/j.issn.1673-8926.2017.04.009 |
| [9] |
司马立强, 赵辉, 戴诗华. 核磁共振测井在火成岩地层应用的适应性分析. 地球物理学进展, 2012, 27(1): 145-152. SIMA Liqiang, ZHAO Hui, DAI Shihua. Analysis of adaptability of application of NMR logging in igneous rock reservoirs. Progress in Geophysics, 2012, 27(1): 145-152. |
| [10] |
廖广志, 肖立志, 谢然红, 等. 内部磁场梯度对火山岩核磁共振特性的影响及其探测方法. 中国石油大学学报(自然科学版), 2009, 33(5): 56-60. LIAO Guangzhi, XIAO Lizhi, XIE Ranhong, et al. Influence of internal magnetic field gradient on nuclear magnetic resonance of volcanic rocks and its detection method. Journal of China University of Petroleum (Edition of Natural Science), 2009, 33(5): 56-60. |
| [11] |
史飞洲, 王彦春, 孙炜, 等. 核磁共振测井资料在滴西地区火成岩中的应用效果分析. 新疆石油地质, 2016, 37(5): 593-597. SHI Feizhou, WANG Yanchun, SUN Wei, et al. Analysis on application effect of NMR logging data in igneous rocks in district Dixi. Xinjiang Petroleum Geology, 2016, 37(5): 593-597. |
| [12] |
屈乐, 孙卫, 章海宁, 等. 火成岩储层核磁共振岩石物理影响特征. 兰州大学学报(自然科学版), 2014, 50(1): 26-30. QU Le, SUN Wei, ZHANG Haining, et al. Characteristics of petrophysical impact on the nuclear magnetic resonance in igneous reservoir. Journal of Lanzhou University (Natural Science), 2014, 50(1): 26-30. |
| [13] |
李晓峰, 李庆峰, 董丽欣. 中基性火山岩顺磁物质对核磁共振孔隙度的影响分析. 测井技术, 2014, 38(5): 522-525. LI Xiaofeng, LI Qingfeng, DONG Lixin. On impact of paramagnetic substances on nuclear magnetic porosity of intermediate to basic volcanic rocks. Well Logging Technology, 2014, 38(5): 522-525. |
| [14] |
高衍武, 赵延静, 吴伟, 等. 顺磁性物质含量对火山岩核磁孔隙度的影响及校正: 以准噶尔盆地中拐凸起石炭系火山岩为例. 长江大学学报(自然科学版), 2021, 18(6): 26-32. GAO Yanwu, ZHAO Yanjing, WU Wei, et al. Influence of paramagnetic material content on nuclear magnetic porosity of volcanic rocks and its correction: Taking Carboniferous volcanic rocks in Zhongguai uplift of Junggar Basin as an example. Journal of Yangtze University (Natural Science Edition), 2021, 18(6): 26-32. |
| [15] |
孙军昌, 郭和坤, 杨正明, 等. 不同岩性火山岩气藏岩芯核磁孔隙度实验研究. 西南石油大学学报(自然科学版), 2011, 33(5): 27-34. SUN Junchang, GUO Hekun, YANG Zhengming, et al. Experimental study of the NMR porosity of different lithologic volcanicrock core samples. Journal of Southwest Petroleum University (Science & Technology Edition), 2011, 33(5): 27-34. |
| [16] |
文龙, 李亚, 易海永, 等. 四川盆地二叠系火山岩岩相与储层特征. 天然气工业, 2019, 39(2): 17-27. WEN Long, LI Ya, YI Haiyong, et al. Lithofacies and reservoir characteristics of Permian volcanic rocks in the Sichuan Basin. Natural Gas Industry, 2019, 39(2): 17-27. |
| [17] |
BEHRENBRUCH P, BINIWALE S. Characterisation of clastic depositional environments and rock pore structures using the Carman-Kozeny equation: Australian sedimentary basins. Journal of Petroleum Science & Engineering, 2005, 47(3/4): 175-196. |
| [18] |
唐华风, 王璞珺, 边伟华, 等. 火山岩储层地质研究回顾. 石油学报, 2020, 41(12): 1744-1773. TANG Huafeng, WANG Pujun, BIAN Weihua, et al. Review of volcanic reservoir geology. Acta Petrolei Sinica, 2020, 41(12): 1744-1773. |
| [19] |
牛嘉玉, 张映红, 袁选俊, 等. 中国东部中、新生代火成岩石油地质研究、油气勘探前景及面临问题. 特种油气藏, 2003, 10(1): 7-12. NIU Jiayu, ZHANG Yinghong, YUAN Xuanjun, et al. Petroleum geology study, oil and gas exploration future and problems faced in Mesozoic and Cenozoic igneous rocks in eastern China. Special Oil & Gas Reservoirs, 2003, 10(1): 7-12. |
| [20] |
王敏, 曹玥, 李万才, 等. 基于孔隙结构和核磁测井建立火山岩储层分类标准: 以松南断陷查干花气田为例. 油气藏评价与开发, 2024, 14(2): 216-223. WANG Min, CAO Yue, LI Wancai, et al. Establishing classification standards for volcanic reservoirs based on pore structure and nuclear magnetic logging: A case study of Chaganhua Gas Field in Songnan Fault Depression. Petroleum Reservoir Evaluation and Development, 2024, 14(2): 216-223. |
| [21] |
刘亚明, 王丹丹, 田作基, 等. 巴西桑托斯盆地复杂碳酸盐岩油田火成岩发育特征及预测方法. 岩性油气藏, 2023, 35(6): 127-137. LIU Yaming, WANG Dandan, TIAN Zuoji, et al. Characteristics and prediction methods of igneous rocks in complex carbonate oilfields in Santos Basin, Brazil. Lithologic Reservoirs, 2023, 35(6): 127-137. DOI:10.12108/yxyqc.20230614 |
| [22] |
柴毓, 王贵文, 柴新. 四川盆地金秋区块三叠系须二段储层非均质性及成因. 岩性油气藏, 2021, 33(4): 29-40. CHAI Yu, WANG Guiwen, CHAI Xin. Reservoir heterogeneity and genesis of the second member of Xujiahe Formation of Triassic in Jinqiu block, Sichuan Basin. Lithologic Reservoirs, 2021, 33(4): 29-40. DOI:10.12108/yxyqc.20210404 |
| [23] |
罗旭东, 邓世坤, 冯芸, 等. 火山岩储层分类方法在克百断裂带一区石炭系的应用. 特种油气藏, 2023, 30(1): 57-64. LUO Xudong, DENG Shikun, FENG Yun, et al. Application of volcanic rock reservoir classification method to carboniferous system in Kebai Fault area 1. Special Oil & Gas Reservoirs, 2023, 30(1): 57-64. |
| [24] |
刘鑫, 夏茂龙, 吴煜宇, 等. 四川盆地永探1井二叠系火山碎屑熔岩储层特征. 天然气勘探与开发, 2019, 42(4): 28-36. LIU Xin, XIA Maolong, WU Yuyu, et al. Characteristics of Permian volcaniclastic lava reservoirs in Yongtan 1 well, Sichuan Basin. Natural Gas Exploration and Development, 2019, 42(4): 28-36. |
| [25] |
BERGER A, GIER S, KROIS P. Porosity-preserving chlorite cements in shallow-marine volcaniclastic sandstones: Evidence from Cretaceous sandstones of the Sawan gas field, Pakistan. AAPG Bulletin, 2009, 93(5): 595-615. |
| [26] |
BROWNSTEIN K R, TARR C E. Spin-lattice relaxation in a system governed by diffusion. Journal of Magnetic Resonance (1969), 1977, 26(1): 17-24. |
| [27] |
AN Senyou, YAO Jun, YANG Yongfei, et al. Influence of pore structure parameters on flow characteristics based on a digital rock and the pore network model. Journal of Natural Gas Science and Engineering, 2016, 31: 156-163. |
| [28] |
BLOEMBERGEN N, PURCELL E M, POUND R V. Relaxation effects in nuclear magnetic resonance absorption. Physical Review, 1948, 73(7): 679-712. |
| [29] |
BUTLER J P, REEDS J A, DAWSON S V. Estimating solutions of first kind integral equations with nonnegative constraints and optimal smoothing. SIAM Journal on Numerical Analysis, 1981, 18(3): 381-397. |
| [30] |
THOMEER J. Introduction of a pore geometrical factor defined by the capillary pressure curve. Journal of Petroleum Technology, 1960, 12(3): 73-77. |
| [31] |
向雪冰, 司马立强, 王亮, 等. 页岩气储层孔隙流体划分及有效孔径计算: 以四川盆地龙潭组为例. 岩性油气藏, 2021, 33(4): 137-146. XIANG Xuebing, SIMA Liqiang, WANG Liang, et al. Pore fluid division and effective pore size calculation of shale gas reservoir: A case study of Longtan Formation in Sichuan Basin. Lithologic Reservoirs, 2021, 33(4): 137-146. DOI:10.12108/yxyqc.20210415 |
| [32] |
刘欢, 徐锦绣, 陈红兵, 等. 基于核磁共振测井校正的泥质砂岩气层孔隙度计算方法. 中国海上油气, 2023, 35(3): 89-95. LIU Huan, XU Jinxiu, CHEN Hongbing, et al. A method for calculating porosity of shale sandstone gas reservoir based on nuclear magnetic resonance logging calibrated. China Offshore Oil and Gas, 2023, 35(3): 89-95. |
2025, Vol. 37



