2. 中国石化胜利油田 东胜精攻石油开发集团股份有限公司, 东营 山东 257000;
3. 重庆科技大学 科学技术处, 重庆 401331
2. Sinopec Shengli Oilfield Dongsheng Jinggong Petroleum Development Group Co., Ltd., Dongying 257000, Shandong, China;
3. Chongqing University of Science & Technology, Shabaping District, Chongqing 401331, China
网状河作为一种独特的河流类型,以复杂的河道交织、稳定的多河道系统以及独特的沉积特征为典型标志,近年来逐渐受到地质学家的关注。“网状河”这一术语最早可追溯至19世纪,但其定义及特征长期存在争议。随着研究的深入,学者们逐步赋予网状河独立于辫状河的沉积学定义,强调其稳定多河道系统与低推移质负载的特征[1]。至20世纪七八十年代,Smith等[2]和Rust[3]基于加拿大、澳大利亚等地的现代河流沉积,首次明确将网状河界定为第4种独立河型。此后,学者们从河流的平面形态、边界条件、沉积特征、水动力机制及河型演化序列等多维系统解析网状河[4-5],明确其以垂向加积为主、河道交织固定、泛滥平原广泛发育的沉积模式。20世纪90年代,国内学者聚焦齐齐哈尔嫩江、赣江、珠江、黑龙江及黄河上游等典型河段,系统开展了网状河研究[6-8]。谢庆宾等[9]依据地理与构造背景,将网状河划分为平原型、山谷型、入湖三角洲型和入海三角洲型4类,并建立其现代沉积模式;王随继[10]通过动力学机制对比,厘清了网状河与分汊河的河型差异。早期研究认为网状河仅发育于湿润气候区,但后续研究表明干旱环境亦可形成此类河型[11-12];现代沉积观测进一步将网状河划分为湿润型与干旱型2类,二者在河道形态、沉积物组成及水动力等方面存在明显差异[13]。近二十年来,古代网状河露头及地下沉积体系研究取得了重要进展[14-15],陈斐等[16]基于测井与粒度数据揭示了鄂尔多斯盆地长2油组由曲流河向网状河的沉积演化规律;王航等[17]指出了莱州湾凹陷馆陶组网状河与曲流河、辫状河的垂向分异特征,阐明其为储层分布差异的主控因素。然而,网状河的河流形态与复杂的沉积特征导致古代沉积识别困难,细粒沉积物的广泛分布加剧了储层非均质性,现有方法在构型解剖与模式预测中存在局限性[18-19]。相较于曲流河与辫状河,网状河研究体系尚未成熟,古代沉积知识框架仍不完善,尤其是地下砂体构型表征案例稀缺,给油气勘探开发带来极大挑战[20-21]。东营凹陷林樊家油田林东地区为高密度井网开发区块,研究区面积约16 km2,中新世馆陶组发育河流相砂体。针对该套砂体已进行了三十余年的开发与2次调整,部署了389口开发井,目前处于中高含水期,出砂严重,开发程度不均,水淹差异大,亟需深化储层构型研究以优化开发方案。王艳玲等[22]指出了馆四段属于泛滥平原网状河流沉积,但未明确其沉积及沉积微相类型;朱孟高等[23]通过测井、岩心与相标志分析,将馆四段划分为河道、天然堤、决口扇和泛滥平原微相,揭示了微相平面展布规律,但缺乏沉积模式总结与构型研究,制约了开发调整效果。
基于沉积学理论,整合测井、岩心、试油及分析化验等资料,并与现代相似河流沉积类比分析,来系统解析东营凹陷林樊家油田林东地区馆陶组中下段网状河的沉积微相类型与砂体展布特征,构建区域沉积模式,进一步采用Miall构型要素分析法,完成单一网状河砂体空间预测与构型模式构建,以期为该区网状河流砂体后续开发与利用奠定基础。
1 地质概况林樊家油田林东地区构造上位于渤海湾盆地东营凹陷济阳坳陷西部,整体是一个北东倾向的大型披覆构造,面积约16 km2,区域构造演化受控于林南断层(SW—NE走向,SE倾向,倾角约55°)的活动。中新世孔店组沉积之后,林南断层持续活动导致研究区南部与西部抬升并向北东方向倾伏,形成NE—SW向上倾叠瓦状构造,使孔店组长期暴露剥蚀,至馆陶组沉积初期,区域构造活动减弱,底界呈NE倾单斜构造,倾角为0.4°~0.8°,整体地形平缓,限制了河流侧向迁移能力,导致砂体垂向叠置为主,为网状河低能垂向加积提供了稳定的古地貌背景[23-24]。馆陶组厚度为170~200 m,埋深约为1 135 m,按沉积旋回划分为4段,自下而上依次为馆四段,馆三段,馆二段和馆一段。馆四段(Ng4)中下部的3个小层(Ng4-5,Ng4-6,Ng4-7小层)为本次主要研究层段,单砂层厚度为1.5~4.5 m(图 1)。
|
下载原图 图 1 东营凹陷林东地区构造位置及中新统管陶组岩性地层综合柱状图 Fig. 1 Structural location and stratigraphic column of Miocene Guantao Formation in Lindong area, Dongying Sag |
林东地区馆四段为河流相沉积,通过取心井岩心数据发现,储集层岩性以浅棕红色及灰色泥岩为主,夹中、厚层浅灰色粉砂岩。岩石矿物成分以石英为主,质量分数为50%,其次为长石和岩屑,质量分数分别为30% 和20%。储层岩石为泥灰质胶结,碳酸盐质量分数为9.0%,泥质质量分数平均为8.6%,颗粒直径为0.05~0.59 mm,粒度中值为0.15 mm,颗粒较细,磨圆度差,多为次棱角状,分选性差—中等。地层压实作用差且胶结较为疏松,胶结类型为孔隙-接触式。
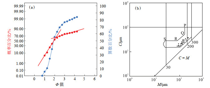
研究区L6-9井砂岩粒度分析结果(图 2a)显示,概率曲线呈两段式,颗粒质量分数50% 处所对应的Φ值为1.7~3.6。C—M图中C∈[130, 700]显区,M∈[70, 300]显区主要为QRS段,QR段基本与C—M线平行(图 2b),指示弱水动力环境,符合网状河沉积机制。研究区主力小层泥岩质量分数为63.2%~70.1%,河道宽厚比为25.5~51.1,高砂地比与河道分汊系数呈正相关,低宽厚比反映垂向叠置的“墙式”砂体沉积。测井曲线以薄层钟形为主,砂体内部夹层不发育。结合以往研究成果[24],最终确定研究区为网状河沉积,并将沉积微相划分为河道、天然堤、决口扇及河道间4种类型(图 3)。
|
下载原图 图 2 东营凹陷林樊家油田林东地区L6-9井粒度概率累积曲线(a)和C—M图(b) 注:S段(RS段)为均匀悬浮沉积;R段(QR段)为递变悬浮沉积;Q段(QR段末端)为递变悬浮向均匀悬浮过渡;P段(PQ段)为悬浮与滚动混合搬运;C为粒度累积曲线上颗粒质量分数达到1% 时对应的粒径,μm;M为粒度累积曲线上颗粒质量分数达到50% 时对应的粒径,μm。 Fig. 2 Grain size cumulative probability curve(a)andC—M diagram(b)of well L6-9 in Lindong area of Linfanjia Oilfield, Dongying Sag |
|
下载原图 图 3 东营凹陷林樊家油田林东地区L6-9井馆陶组下段岩性地层综合柱状图 注:COND为感应电导率;ML1为微梯度;ML2为微电位。 Fig. 3 Stratigraphic column of lower member of Guantao Formation in well L6-9 of Lindong area in Linfanjia Oilfield, Dongying Sag |
河道为网状河主要微相类型及砂体发育单元,岩性以粉砂岩—细砂岩为主,局部夹杂少量泥质粉砂岩,早期由决口事件形成的河道底部可见少量含砾砂岩或砾状砂岩,颗粒分选性中—差,粒度概率分布曲线主要呈两段式,推移质和跃移质分别占颗粒质量分数的45% 和55%(图 4)。沉积构造以平行层理为主,少见槽状交错层理(图 5a,5b),垂向序列上,砂体底部突变、顶部渐变接触,呈向上变细的正旋回特征。自然电位(SP)曲线以箱形、齿化箱形和钟形为主,单一砂体厚度通常小于5 m,叠置砂体厚度最大超过10 m。
|
下载原图 图 4 东营凹陷林樊家油田林东地区中新统馆陶组四段沉积微相特征 Fig. 4 Characteristics of sedimentary microfacies of Member 4 of Miocene Guantao Formation in Lindong area, Linfanjia Oilfield, Dongying Sag2 cm 2 cm 5 cm |
|
下载原图 图 5 东营凹陷林樊家油田林东地区中新统馆四段岩心沉积构造特征(据文献[25]修改) Fig. 5 Sedimentary structures of core samples from Member 4 of Miocene Guantao Formation in Lindong area of Linfanjia Oilfield, Dongying Sag |
相较于河道微相,决口扇微相的沉积物粒度更小,以粉砂岩和粉细砂岩为主,分选性中等(分选系数为1.53~2.36),颗粒质量分数50% 处所对应的Φ值为1.7~2.8,悬移质组分占比高于河道微相,发育小型交错层理,水动力较河道微相稍弱。SP曲线呈漏斗形,顶部突变、底部渐变接触,幅度中等,表现为反旋回沉积,单一砂体厚度为3~5 m,普遍小于河道砂体(图 4)。
2.3 天然堤微相天然堤岩性为泥岩—泥质粉砂岩—粉砂岩,分选性中等,悬移质约占颗粒质量分数的50%,缺乏牵引总体。颗粒质量分数50% 处所对应的Φ值为3.0,高于决口扇微相,发育水平层理,指示低能间歇性溢岸沉积。砂体厚度较小,侧向粒度向河道间逐渐变小,SP曲线呈指状或尖峰状。天然堤沿河道两侧分布,宽度为18~430 m(图 4)。
2.4 河道间微相河道间岩性以紫红色泥岩与粉砂岩互层为主(图 5c),指示低能氧化环境。悬移质组分颗粒质量分数的占比大于70%,水动力极弱。沉积构造以水平层理为特征,厚度数十至十余米,SP曲线平直或呈低幅锯齿状,电阻率曲线幅度低。由河道至河道间,颗粒质量分数50% 处所对应的Φ值由1.7(河道)增至3.6,细截点Φ值由2.75(决口扇)升至3.85,反映水动能递减序列(图 4)。
3 沉积微相分布特征 3.1 网状河沉积调查为系统揭示网状河沉积特征,综合调研现代网状河沉积体系及古代露头案例,统计气候(湿润/干旱)、沉积环境、河道宽深比、物源供给及砂体形态等关键参数为地下网状河类比研究提供实证依据[25]。调研对象包括湿润区8条现代网状河段(纳雷夫河上游、萨斯喀彻温河下游、哥伦比亚河上游、嫩江中游、赣江下游、黄河上游、珠江下游与亚历山德拉河下游)与1处古代露头(Konin Lignite Mine露头),以及干旱—半干旱区1条现代河流(库珀河网状河段)和3处古代露头(Krasiejów露头、油砂山露头与圣玛丽河组露头)。
统计结果(表 1,表 2)表明:①网状河多发育于平原、前陆盆地及三角洲环境,河道稳定性主要受低坡降与固结堤岸控制,植被影响较弱;②湿润区活跃河道密度明显高于干旱区,其河道宽深比普遍为10~40(最大为65),而干旱区网状河溢岸细粒沉积占比更高[3];③沉积作用以垂向加积为主,天然堤限制河道侧向迁移,但局部低坡降河段因下切能力不足、侧蚀增强及高曲率等因素,仍可发生东西向迁移;④砂体搬运方式以悬浮负载为主,仅强水动力区(如赣江下游网状河)发育混合负载,河道砂体平面上呈条带状,剖面上为顶平底凸形态,天然堤楔状细粒沉积侧向伴生。
|
|
下载CSV 表 1 现代网状河气候环境、形态特征和砂体主要搬运方式统计(据文献[1, 6-7, 11, 14, 26-30]修改) Table 1 Statistics of climate environment, morphological characteristics and dominant transport mechanisms of sandbodies of modern anastomosing |
|
|
下载CSV 表 2 网状河野外露头气候环境、形态特征统计(据文献[21, 26, 31]修改) Table 2 Statistics of climate environment and morphological characteristics of anastomosing river outcrops |
网状河中部分单一河道弯曲度较高,其沉积作用、在剖面上砂体形态及发育环境均与高弯度曲流河有一定相似性,但二者存在本质差异,主要表现为2个方面。一是河道形态与沉积特征的差异,高弯度曲流河为单一弯曲河道,沉积物粒级分布广,且岩屑成分复杂,发育槽状交错层理和平行层理发育,沉积序列呈多个正旋回叠加,侧向迁移形成点坝[32];网状河则以多河道交织、细粒沉积物富集为特征,沉积构造复杂但层理不明显、沉积序列向上变细,具有较高的侧向稳定性。二是沉积演化机制的差异,曲流河的平面相带演化与河道侧向侵蚀、废弃、截弯取直及洪水事件紧密相关,垂向上呈正韵律层序[33];网状河因河道稳定,垂向加积主导,垂向韵律不完整,平面相带连续,砂体垂向厚度大但延展性差。
3.2 现代沉积类比通过沉积背景、气候条件、沉积微相及砂体形态的系统对比,揭示了林东地区馆四段网状河与嫩江现代网状河具有相似性,表现为3个方面。首先,在沉积背景方面,嫩江齐齐哈尔段网状河发育于松嫩平原中温带半湿润季风气候区,而研究区馆四段网状河位于开阔平缓地形,区内B544井孢粉分析结果显示湿生与喜热植物居多(表 3),指示温暖湿润的中新世气候环境[34-36]。其次,在沉积微相与砂体特征方面,嫩江网状河主要发育网状河道、天然堤、决口扇、河间漫滩等沉积微相(图 6),河道宽为77~240 m(平均值为162 m),宽深比为15~ 35[28],砂体垂向叠置呈“墙状”,天然堤高为1~4 m、宽数米至数十米,河间漫滩作为嫩江网状河流体系的主要地貌,其发育面积占河流全部沉积面积的85%;林东地区河道宽为65~194 m(平均值为104 m),宽厚比平均值为37,天然堤以粉砂—泥质楔状体侧向分布,决口扇规模较小,河道间占研究区河流全部沉积面积的43%~70%。最后,在水动力与地貌演化方面,两区域均以垂向加积为主,嫩江因高分流系数(河道宽深比 > 15)形成稳定多河道系统,而林东地区低坡降环境(倾角为0.4°~0.8°)同样限制河道侧向迁移,促进垂向叠置。
|
|
下载CSV 表 3 渤海湾盆地东营凹陷济阳坳陷新近纪孢粉生态组合统计(据文献[36]修改) Table 3 Statistics of Neogene sporopollen ecological assemblages from Jiyang Depression, Dongying Sag, Bohai Bay Basin |
|
下载原图 图 6 嫩江齐齐哈尔段网状河卫星图像(a)及其网状河沉积微相平面分布特征(b) Fig. 6 Satellite images of the anastomosing river(a)and planar distribution characteristics of sedimentary microfacies in the anastomosing river system(b)in Qiqihar section of Nenjiang River |
综上所述,林东馆陶组网状河与嫩江网状河在沉积规模、微相组合及古环境条件上高度相似,可为研究区沉积模式构建提供可靠类比依据。
3.3 沉积微相展布规律林东地区井网密度为10.2口/km2,为研究河流平面形态提供了有利条件。基于地震最大振幅切片与砂体的高相关性[37],且砂质河道充填(高孔渗)与围岩(泥岩或致密层)存在明显波阻抗差异,识别出高振幅区域,即为砂体分布有利区,砂体长轴为北西—南东走向,指示古水流方向,河道分布较清晰(图 7a,7b)。馆四段6,7小层砂体厚度主要为3.0~7.0 m,局部可达10.6 m,平面连片分布,连续性较好,沉积时期3条主河道自北西方向流入,在中部交汇又分离后向东南延伸(图 7c,7d)。
|
下载原图 图 7 东营凹陷林樊家油田林东地区馆四段6和7小层地震最大振幅切片及砂体厚度分布特征 Fig. 7 Maximum amplitude seismic slices and sandbody thickness distribution characteristics of sublayers 6 and 7 of Member 4 of Guantao Formation in Lindong area of Linfanjia Oilfield, Dongying Sag |
在林樊家油田林东地区馆四段6~7小层中东部发育大面积连续砂体,受高井网密度区砂体厚层连片分布影响,单一河道边界难以识别,指示多期河道叠置。为了明确单期河道展布及三维沉积微相空间配置关系,以馆四段底部7小层为例,基于垂向分期-侧向划界思路,刻画网状河砂体内部的沉积微相分布样式,实现区分单一河道。
4.1 构型分级构型表征旨在精确刻画不同期次、不同级次构型单元的三维空间配置关系。基于Miall的河流相储层构型理论体系[38],结合目前研究区采用的地层划分标准,建立四级沉积界面的储层构型解剖方案。研究区网状河在平面上分为网状河道、天然堤、决口扇和河道间4种构型要素,由于网状河道的复杂交织形态,天然堤多分布于河道两岸,决口扇少量发育,因此网状河储层构型研究重点为河道与天然堤2个四级构型要素。
4.2 垂向分期垂相上对不同时期沉积微相的区分依赖于对相应微相沉积间断面的识别[39],采用泥质层、电测曲线突变和相邻井约束的方法在垂向上对7小层河道微相进行分期。
(1)泥质层。研究区网状河具有典型的“泥包砂”剖面特征,大多数河道的横向沟通较弱,呈孤立样式,其间被河道间的泥质沉积物分隔[40]。这种泥质沉积物(泥质层)岩性以泥岩、粉砂岩沉积为主,常见泥质粉砂岩、砂质泥岩互层,泥岩颜色主要为紫色,是识别2期河流沉积的重要标志(图 8a),其测井曲线最明显的特征是高SP和低电阻率。
|
下载原图 图 8 东营凹陷林樊家油田林东地区馆四段网状河河道微相的3种垂向分期方法 Fig. 8 Three vertical staging methods for channel microfacies of anastomosing rivers from Member 4 of Guantao Formation in Lindong area of Linfanjia Oilfield, Dongying Sag |
(2)电测曲线突变。虽然河流沉积中不同期次河道砂体通常被泥质层所分隔,但仍可见多期河道砂体垂向叠置现象,研究区网状河也常出现该现象。电阻率测井曲线对河流相沉积物粒度、分选性及储层物性变化具有明显的响应特征[41],因此可作为识别网状河河道叠置关系的有效指标。如图 8b所示,河道砂体叠置区段具有典型的电阻率阶梯状过渡特征,这一电性响应模式被证实为网状河沉积过程中沉积间断的重要识别标志。
(3)相邻井约束。在叠置砂岩中,隔夹层发育不充分且电性曲线特征不明显的井,可采用邻井约束对比手段,根据邻近井位存在清晰可辨的标志层,结合沉积学原理来识别该井的沉积间断界面(图 8c)。
由分期结果可以看出,在垂向剖面上,7小层中存在沉积间断界面,由此可以判定7小层内存在2期河道叠置,依据垂向分期标志,将7小层细分为了2个单层,自下而上为Ng4-7-2,Ng4-7-1。
4.3 侧向划界侧向划界是在垂向分期的基础上,根据不同微相的沉积特征建立识别标志,识别出单一河道边界,并将边界进行合理连接[42]。以馆四段底部的7-2单层为例(图 9a),为了刻画侧向单一河道边界,建立了测井曲线差异、沉积相变、河道高程差、含油气性差异以及砂体厚度差异5种边界识别标志。
|
下载原图 图 9 东营凹陷林樊家油田林东地区馆四段7小层平面沉积微相分布特征 Fig. 9 Distribution characteristics of plane sedimentary microfacies of sublayer 7 from Member 4 of Guantao Formation in Lindong area of Linfanjia Oilfield, Dongying Sag |
(1)曲线形态差异。测井曲线的形态能够反映砂体的韵律特征,不同的河道砂体可能具有不同的韵律特征。同期河道砂体测井响应特征相近,突变不明显,若测井曲线明显变化,可作为判断不同河道的依据[43]。如L102X33井与L102-27井、L2-3井均识别为河道微相,但其曲线形态差异较大(见图 10中剖面AA'),可以判定这3种砂体之间存在边界。
|
下载原图 图 10 东营凹陷林樊家油田林东地区Ng4-7-2单层河道砂体侧向边界划分标志(剖面位置见图 9) Fig. 10 Division markers of channel sandbody lateral boundary of single layer Ng4-7-2 in Lindong area of Linfanjia Oilfield, Dongying Sag |
(2)沉积相变。河道两侧一般均发育有天然堤,所以可以根据河道与天然堤不同的沉积粒度及电测井曲线特征,识别出不同河道。如L102X39井与L1-3井馆四段7-2单层均为河道微相,L4X28井馆四段7-2单层为明显的天然堤微相,L4X28井位于L102X39井与L1-3井之间(见图 10中BB'剖面),说明L102X39井与L1-3井钻遇砂体为2条不同的河道砂体,中间被天然堤分隔开。
(3)河道高程差。在同一等时界面,受水动力、地形改变、河道改道等沉积环境的影响,相邻2条河道的沉积起始时间和结束时间存在差异。所以单一河道砂体沉积时,其顶面高程通常保持一致。若顶面高程存在明显差异,则可能指示非同期沉积。
通过对研究区馆四段7-2单层进行层序界面顶部进行拉平处理,以单砂体厚度为约束,设定同期砂体顶面高程波动阈值为厚度的1/3。由于同期砂体顶面受统一基准面控制,高程差应小于厚度的1/3,若差异明显则指示为2期河道。如图 10CC' 中L4-7井所属砂体与左右两侧砂体的顶面高程差分别为1.5 m和1.7 m,而L4-7井在该层的砂体厚度为2.5 m,高程差明显大于砂体厚度的1/3,所以L4-7井与图 10中CC' 剖面的左右两侧砂体均不属于同一条河道。
(4)含油气性差异。同一期次的河道砂体往往展现出相似的含油气性特性,当流体属性(如油、水含量)存在明显差异时,通常指示属于不同的砂体沉积单元。以L2-09井馆四段7-2单层砂体为例(见图 10中DD' 剖面),测井解释为油层,而剖面上L3N7井与L3N9井7-2单层所钻遇的砂体则分别为油水同层与水淹层,将海拔高度拉平后,发现L2-09井油层位于L3N7井油水同层之下,这一特征表明这2口井7-2单层分别属于2个不同的河道沉积期次。
(5)砂体厚度差异。单一河道砂体的厚度通常呈从中心向两侧逐渐减小的趋势,如果在多个砂体之间观察到明显的厚度变化,往往指示这些砂体并非同一期次的沉积物。L5-13井、L6XIN11井与L6-09井均在馆四段7-2单层同层钻遇河道砂体,L5-13井砂体厚度为2.2 m,而另外2口井砂体厚度均为5.0 m,判断L5-13井砂体与另外2口井砂体为不同期河道沉积(见图 10中EE' 剖面)。
在侧向划界综合解剖林东中部区域后,可见河道与天然堤伴生。河道砂体厚度较大(大于3 m),剖面形态呈顶平底凸、中部厚边部薄的特征,与天然堤侧向拼接;天然堤砂体厚度较小(小于3 m),位于河道两侧,与现代沉积相符。
馆陶组沉积时期研究区处于盆地坳陷期,多为开阔地带,坡降较缓,主要发育网状河沉积,全区皆有分布,其长轴为北西—南东走向[26]。通过对30口井Ng4-7-1单层中网状河道数据进行统计(图 9b),得到单层砂体厚度数据,继续测量其河道的宽度,平均值为104 m,计算得出河道宽厚比为30~40,平均为37(图 11)。研究区馆陶组从Ng4- 7-2单层到Ng4-7-1单层,平面上砂体形态由片状分布到条带状转变,河道宽度变窄,砂体厚度变小,推测河流水动力能量减弱,河道砂体的覆盖面逐渐减少,河道间的面积增大。决口扇在Ng4-7-2单层较为发育,说明该时期河流能量相对较强,可能处于洪水泛滥时期,河道发育位置没有太大的迁移,总体呈稳定的特性。
|
下载原图 图 11 东营凹陷林樊家油田林东地区Ng4-7-1单层河道规模参数统计 Fig. 11 Statistics of channel scale parameters for single layer Ng4-7-1 in Lindong area of Linfanjia Oilfield, Dongying Sag |
综合分析网状河砂体叠置关系,建立了多元分类模型。基于沉积模式、相变特征、高程差及测井曲线差异[44],识别出垂向以孤立型(含河道-河道、河道-天然堤、天然堤-天然堤3类)与叠置型(含河道-河道、天然堤-河道、河道-天然堤3类)为主,侧向发育河道-河道与河道-天然堤-河道2种拼接类型(图 12)。
|
下载原图 图 12 东营凹陷林樊家油田林东地区馆四段不同叠置样式砂体特征 Fig. 12 Characteristics of sand bodies with different superimposed patterns from Member 4 of Guantao Formation in Lindong area of Linfanjia Oilfield, Dongying Sag |
(1)垂向孤立型。表现为多期砂体被河道间细粒沉积物分隔,成因于网状河系统多期河道活动。每期河道沉积后因洪水退却或物源中断,形成河道间泥质隔层,导致垂向连通性差。其中河道—天然堤型微相变化反映洪泛期地貌改造过程,水动力增强引发新河道发育(图 12b),形成特定的沉积结构单元。
(2)垂向叠置型。表现为多期砂体无细粒隔层直接叠置(图 12d),成因于物源周期性补给(如季节性洪水)及网状河低坡降条件下砂体快速堆积。该模式集中于馆四段下部6小层、7小层厚砂体发育段,垂向连通性好。河道-天然堤、天然堤-河道组合受基准面升降控制,基准面下降期可容纳空间缩减,河道下切侵蚀天然堤,形成河道-天然堤垂向接触(图 12e),而基准面上升期可容纳空间扩展,河流改道或迁移覆盖天然堤(图 12f),形成天然堤-河道垂向接触,这2类组合均具有良好的砂体连通性。
(3)侧向拼接型。该类型受低坡降环境控制,河流分汊形成多河道系统,分汊点因多向水动力汇聚,砂体增厚,上下游单向水流区砂体厚度减小(图 12g)。河道-天然堤-河道拼接模式(图 12h)表现为洪水期主河道快速堆积粗粒砂岩,溢岸低能水流形成天然堤细粒沉积,构成河道-天然堤-河道侧向组合。连通性上,高渗河道砂体主导流体输导,低渗天然堤迫使流体沿河道轴向运移。
5 生产动态验证 5.1 油水井动态分析为验证构型解剖精度,选取林樊家油田林东地区B543井组开展注采动态分析结果(图 13)显示,该井组在Ng4-7小层全层射孔,初始未细分单层时注采响应与沉积微相匹配度低,表现为小层相图显示该井组位于同一条河道,但是注采曲线显示差异明显,而将该小层细分为Ng4-7-1单层、Ng4-7-2单层后,Ng4-7-2单层注采曲线与微相分布相吻合,表现为3口受效井在Ng4-7-2单层的相图中与B543井位于同一条河道。动态特征显示,2015年4月对注水井B543进行注水,2015年8月3口监测井受效,其中L6-111井与L4X09井受效明显,L4C111井受效滞后,指示储层非均质性强;L6-111井、L4X09井与注水井的Ng4-7-2单层均发育单一河道砂体且沿NW—SE物源方向展布,说明水驱优势方向与古水流一致,渗透率梯度促进高效驱替;对Ng4-7小层细分单层后Ng4-7-2单层砂体连通性明显改善,证实了垂向分期-侧向划界方法的可靠性。
|
下载原图 图 13 东营凹陷林樊家油田林东地区馆四段B543井组Ng4-7小层平面优势相分布特征(a)、Ng4-7-2单层平面优势相分布特征(b)及生产动态曲线(c) Fig. 13 Planar dominant facies distribution of layer Ng4-7(a), planar dominant facies distribution of single layer Ng4-7-2(b), and production performance curves(c)of well group B543 in Member 4 of Guantao Formation in Lindong area of Linfanjia Oilfield, Dongying Sag |
为验证微相划分的合理性,以L10-5井组Ng4- 7-1单层为例开展示踪剂分析。注剂时间为2020年10月16日,注入示踪剂为CY-3,注入量为5 kg,监测井L10-03井、L9X03井、L9X05井、L10-05井、L11C5井与注剂井L10-5井的井距分别为263 m,186 m,280 m,223 m,303 m。
监测结果显示:L10-03与L10-05井见示踪剂,且L10-05井突破时间与峰值到达最快,指示其为优势渗流方向;注剂井L10-5与L10-03井、L10-05井2口监测井的Ng4-7-1单层均发育河道微相,且属于同一套河道砂体,证实高渗河道砂体主导示踪剂运移;井距更近的L10-05井优先见剂,井距更远的L11C5井未见剂,揭示河道间泥岩或天然堤低渗带形成渗流屏障;示踪剂优势运移方向(SN向)与古河道延伸走向一致。示踪剂优势运移方向L10-03井—L10-5井—L10-05井的测井连井剖面揭示高渗砂体连续分布(图 14),进一步证明了微相划分的准确性。
|
下载原图 图 14 东营凹陷林樊家油田林东地区L10-5井组馆四段Ng4-7-1单层见剂情况(a)和示踪剂优势运移方向测井连井剖面(b) Fig. 14 Tracer response status(a)and logging profile of well-tie in the direction of tracer dominant migration(b)of well group L10-5 in Member 4 of Guantao Formation in Lindong area of Linfanjia Oilfield, Dongying Sag |
通过整合地震、测井、录井及岩心资料,结合以往对网状河低坡降、垂向加积及多河道交织特征的认识[7-8],以及林樊家油田河流相沉积的已有认知[24, 26],系统建立了林东地区馆四段网状河沉积模式(图 15),其物源来自北西方向,开阔平原背景下,河流初始水动力较强,在长期流经低坡降区(坡度为0.4°~ 0.8°)后,搬运能力减弱,沉积物大量堆积,河流携带泥沙不断下切,形成窄且较深的河道,边缘未固结处冲裂决口又产生新河道。砂体在垂向上以多期孤立透镜状为主,局部叠置厚度超过10 m,以往提出的厚层墙状结构较少;侧向发育河道-河道河道- 天然堤-河道拼接样式,天然堤砂体呈楔状分布于河道两侧,河道间湿地占区域总面积的43%~70%,形成渗流屏障;低坡降与间歇性洪水事件导致河道频繁决口改道,形成交织网状系统,河道弯度多变但侧向迁移受限,整体表现为低能多河道复合体。
|
下载原图 图 15 东营凹陷林樊家油田林东地区馆四段网状河沉积模式 Fig. 15 Sedimentary models of anastomosing rivers in Member 4 of Guantao Formation in Lindong area of Linfanjia Oilfield, Dongying Sag |
(1)林东地区馆四段网状河发育河道、天然堤、决口扇及河道间4类微相,网状河兼具湿润区高河道密度与干旱区高溢岸沉积占比的过渡特征,为陆相断陷湖盆网状河研究提供了新案例。
(2)研究区馆四段网状河垂向发育孤立型(低连通)与叠置型(高连通)2类砂体,分别受控于多期河道改道与基准面旋回;侧向以河道-河道分汊及河道-天然堤-河道粗细分异为主,天然堤低渗性明显制约了流体侧向运移;河道平均宽度为104 m,宽厚比为37,与现代嫩江网状河参数高度一致。
(3)研究区馆四段网状河为“多河道交织-垂向加积主导”沉积模式,多期河道垂向叠置,部分区域形成“墙式”砂体,平面上交织成网;天然堤侧向封挡,河道间面积占比为43%~70%,构成局部渗流屏障;温暖湿润古气候与低坡降地形共同限定了河道低侧向迁移、高稳定性的沉积机制。
| [1] |
CHAMBERLIN T C, SALISBURY R D. Geology. New York: Henry Holt & Co: 1904-1906.
|
| [2] |
SMITH D G, SMITH N D. Sedimentation in anastomosed river systems: Examples from alluvial valleys near Banff, Alberta. Journal of Sedimentary Research, 1980, 50(1): 157-64. DOI:10.1306/212F7991-2B24-11D7-8648000102C1865D |
| [3] |
RUST B R. Sedimentation in an arid-zone anastomosing fluvial system: Cooper's Creek, centralAustralia. Journal of Sedimentary Research, 1981, 51(3): 745-755. |
| [4] |
SMITH D G. Anastomosing river deposits, sedimentation rates and basin subsidence, Magdalena River, northwestern Colombia, South America. Sedimentary Geology, 1986, 46(2/3): 177-196. |
| [5] |
张昌民. 上荆江马羊洲网状河沉积特征及其形成机理. 水文地质工程地质, 1988, 14(2): 13-18. ZHANG Changmin. Sedimentary characteristics and formation mechanism of Mayangzhou, a modern channel island in anastomosing Upper Jingjiang Reach of Yangtze River. Hydrogeology and Engineering Geology, 1988, 14(2): 13-18. |
| [6] |
张周良, 王芳华. 广东三水盆地第四纪网状河沉积特征. 沉积学报, 1997, 15(4): 58-63. ZHANG Zhouliang, WANG Fanghua. Sedimentology of Quaternary anastomosing river systems in the Sanshui Basin, Guangdong, China. Acta Sedimentologica Sinica, 1997, 15(4): 58-63. |
| [7] |
谢庆宾, 管守锐, 朱筱敏, 等. 江西赣江下游中支现代网状河流沉积. 石油大学学报(自然科学版), 2000, 24(1): 13-17. XIE Qingbin, GUAN Shourui, ZHU Xiaomin, et al. Modern anastomosed fluvial deposits of the middle tributary of the lower Ganjiang River in Jiangxi province. Journal of the University of Petroleum, China(Edition of Natural Science), 2000, 24(1): 13-17. |
| [8] |
尹寿鹏, 谢庆宾, 管守锐. 网状河比较沉积学研究. 沉积学报, 2000, 18(2): 221-226. YIN Shoupeng, XIE Qingbin, GUAN Shourui. Study on anastomosed river with comparative sedimentology. Acta Sedimentologica Sinica, 2000, 18(2): 221-226. |
| [9] |
谢庆宾, 朱筱敏, 管守锐, 等. 中国现代网状河流沉积特征和沉积模式. 沉积学报, 2003, 21(2): 219-227. XIE Qingbin, ZHU Xiaomin, GUAN Shourui, et al. Depositional characteristics and models of the modern anastomosing river in China. Acta Sedimentologica Sinica, 2003, 21(2): 219-227. |
| [10] |
王随继. 网状河流的构型、流量-宽深比关系和能耗率. 沉积学报, 2003, 21(4): 565-570. WANG Suiji. Architectures, relationships between discharges and width/depth ratios of stream cross profiles, and stream powers of anastomosing rivers. Acta Sedimentologica Sinica, 2003, 21(4): 565-570. DOI:10.3969/j.issn.1000-0550.2003.04.005 |
| [11] |
KNIGHTON A D, NANSON G C. Flow transmission along an arid zone anastomosing river, Cooper Creek, Australia. Hydrological Processes, 1994, 8(2): 137-154. DOI:10.1002/hyp.3360080205 |
| [12] |
NORTH C P, NANSON G C, FAGAN S D. Recognition of the sedimentary architecture of dryland anabranching(anastomosing) rivers. Journal of Sedimentary Research, 2007, 77(11): 925-938. DOI:10.2110/jsr.2007.089 |
| [13] |
NANSON G C, RUST B R, TAYLOR G. Coexistent mud braids and anastomosing channels in an arid-zone river: Cooper Creek, central Australia. Geology, 1986, 14(2): 175-178. DOI:10.1130/0091-7613(1986)14<175:CMBAAC>2.0.CO;2 |
| [14] |
MAKASKE B, LAVOOI E, DE HAAS T, et al. Upstream control of river anastomosis by sediment overloading, upper Columbia River, British Columbia, Canada. Sedimentology, 2017, 64(6): 1488-1510. DOI:10.1111/sed.12361 |
| [15] |
焦巧平, 侯加根, 幸华刚, 等. 黄骅坳陷段六拨油田枣0油层组网状河沉积特征. 石油勘探与开发, 2004, 31(3): 72-74. JIAO Qiaoping, HOU Jiagen, XING Huagang, et al. Anastomosing river sediment of the Zao 0 reservoir group in the Duanliubo oilfield, Huanghua depression. Petroleum Exploration and Development, 2004, 31(3): 72-74. |
| [16] |
陈斐, 魏登峰, 余小雷, 等. 鄂尔多斯盆地盐定地区三叠系延长组长2油层组沉积相研究. 岩性油气藏, 2010, 22(1): 43-47. CHEN Fei, WEI Dengfeng, YU Xiaolei, et al. Sedimentary facies of Chang 2 oil-bearing member of Yanchang Formation in Yanchi-Dingbian area, Ordos Basin. Lithologic Reservoirs, 2010, 22(1): 43-47. DOI:10.3969/j.issn.1673-8926.2010.01.008 |
| [17] |
王航, 杨海风, 黄振, 等. 基于可容纳空间变化的河流相演化新模式及其控藏作用: 以莱州湾凹陷垦利A构造为例. 岩性油气藏, 2020, 32(5): 73-83. WANG Hang, YANG Haifeng, HUANG Zhen, et al. A new model for sedimentary evolution of fluvial facies based on accommodation space change and its impact on hydrocarbon accumulation: A casestudy of Kenli-A structure in Laizhouwan Depression. Lithologic Reservoirs, 2020, 32(5): 73-83. DOI:10.12108/yxyqc.20200508 |
| [18] |
UBA C E, HEUBECK C, HULKA C. Facies analysis and basin architecture of the Neogene Subandean synorogenic wedge, southern Bolivia. Sedimentary Geology, 2005, 180(3/4): 91-123. |
| [19] |
LIMARINO C, TRIPALDI A, MARENSSI S, et al. Tectonic control on the evolution of the fluvial systems of the Vinchina Formation(Miocene), northwestern Argentina. Journal of South American Earth Sciences, 2001, 14(7): 751-762. DOI:10.1016/S0895-9811(01)00067-0 |
| [20] |
盛文波, 邢正岩, 王文环, 等. 桩106地区网状河砂岩油藏特征. 特种油气藏, 2003, 10(3): 21-22. SHENG Wenbo, XING Zhengyan, WANG Wenhuan, et al. Characteristics of braided river sandstone reservoir in Zhuang 106 area. Special Oil & Gas Reservoirs, 2003, 10(3): 21-22. |
| [21] |
雷卞军, 林克湘, 张昌民, 等. 柴达木盆地油砂山湖盆网状河三角洲沉积模式. 石油与天然气地质, 1997, 18(1): 70-75. LEI Bianjun, LIN Kexiang, ZHANG Changmin, et al. Sedimentary models of anastomosed delta at Youshashan, Chaidam Basin. Oil & Gas Geology, 1997, 18(1): 70-75. |
| [22] |
王艳玲, 吕维刚, 蒋旭东, 等. 渤海湾盆地济阳坳陷林樊家地区油气成藏分析. 承德石油高等专科学校学报, 2006, 8(2): 16-18. WANG Yanling, LYU Weigang, JIANG Xudong, et al. Pool-forming analysis of hydrocarbon reservoirs in Linfanjia area in Jiyang Depression of Bohai Bay Basin. Journal of Chengde Petroleum College, 2006, 8(2): 16-18. |
| [23] |
朱孟高, 杨兆刚, 陈雷, 等. 面向开发的河流相储层沉积微相精细描述技术: 以林樊家油田LZ9块馆陶组为例. 油气地质与采收率, 2022, 29(6): 39-48. ZHU Menggao, YANG Zhaogang, CHEN Lei, et al. Developmentoriented fine description technology of sedimentary micro facies in fluvial reservoir: A case study of Ng in block LZ9 of Linfanjia Oilfield. Petroleum Geology and Recovery Efficiency, 2022, 29(6): 39-48. |
| [24] |
鲍振兴, 沈国华, 王小霞, 等. 东营凹陷林樊家地区馆陶组底部油气成藏条件. 江汉石油学院学报, 2003, 25(4): 24-26. BAO Zhenxing, SHEN Guohua, WANG Xiaoxia, et al. Hydrocarbon reservoir forming conditions on the bottom of Guantao Formation in Linfanjia area of Dongying Depression. Journal of Jianghan Petroleum Institute, 2003, 25(4): 24-26. |
| [25] |
李晓辉, 杜晓峰, 官大勇, 等. 辽东湾坳陷东北部新近系馆陶组辫曲过渡型河流沉积特征. 岩性油气藏, 2022, 34(3): 93-103. LI Xiaohui, DU Xiaofeng, GUAN Dayong, et al. Sedimentary characteristics of braided-meandering transitional river of Neogene Guantao Formation in northeastern Liaodong Bay Depression. Lithologic Reservoirs, 2022, 34(3): 93-103. |
| [26] |
KEDZIOR A, WIDERA M, ZIELINSKI T. Ancient and modern anastomosing rivers: Insights from sedimentological and geomorphological case studies of the Triassic, Neogene and Holocene of Poland. Geological Quarterly, 2021, 65(4): 54. |
| [27] |
SMITH D G, PUTNAM P E. Anastomosed river deposits: Modern and ancient examples in Alberta, Canada. Canadian Journal of Earth Sciences, 1980, 17(10): 1396-1406. |
| [28] |
谢庆宾, 管守锐, 薛培华, 等. 嫩江齐齐哈尔段现代网状河沉积研究. 石油勘探与开发, 2000, 27(5): 106-108. XIE Qingbin, GUAN Shourui, XUE Peihua, et al. Depositional characteristics of the modern anastomosing river in Qiqihar section of Nenjiang River. Petroleum Exploration and Development, 2000, 27(5): 106-108. |
| [29] |
WANG Suiji. A method for estimating the hydrodynamic values of anastomosing rivers: The expression of channel morphological parameters. Water, 2024, 16(1): 163. |
| [30] |
张周良, 刘少宾. 中国的网状河流体系. 应用基础与工程科学学报, 1994, 2(2/3): 204-211. ZHANG Zhouliang, LIU Shaobin. Anastomosing fluvial systems in China. Journal of Basic Science and Engineering, 1994, 2(2/3): 204-211. |
| [31] |
GIBLING M R, NANSON G C, MAROULIS J C. Anastomosing river sedimentation in the channel country of central Australia. Sedimentology, 1998, 45(3): 595-619. |
| [32] |
徐中波, 汪利兵, 申春生, 等. 渤海蓬莱19-3油田新近系明下段曲流河储层构型表征. 岩性油气藏, 2023, 35(5): 100-107. XU Zhongbo, WANG Libing, SHEN Chunsheng, et al. Architecture characterization of meandering river reservoirs of lower Minghuazhen Formation of Neogene in Penglai 19-3 oilfield, Bohai Sea. Lithologic Reservoirs, 2023, 35(5): 100-107. DOI:10.12108/yxyqc.20230510 |
| [33] |
马东烨, 陈宇航, 赵靖舟, 等. 鄂尔多斯盆地东部二叠系下石盒子组8段河流相砂体构型要素. 岩性油气藏, 2023, 35(1): 63-73. MA Dongye, CHEN Yuhang, ZHAO Jingzhou, et al. Architectural elements of fluvial sand bodies of the eighth member of Permian Xiashihezi Formation in eastern Ordos Basin. Lithologic Reservoirs, 2023, 35(1): 63-73. DOI:10.12108/yxyqc.20230106 |
| [34] |
汪舒, 尹太举. 渤海湾盆地东部中新世馆陶组古植物群及其古气候分析. 地质与资源, 2019, 28(6): 503-511. WANG Shu, YIN Taiju. Paleoflora and paleoclimate analysis of the Miocene Guantao Formation in eastern Bohai Bay Basin. Geology and Resources, 2019, 28(6): 503-511. |
| [35] |
彭捷. 东营凹陷古新世-始新世沉积记录的古气候演化及其驱动机制[D]. 青岛: 中国石油大学(华东), 2024. PENG Jie. Paleoclimate evolution recorded by the PaleoceneEocene sediments and its driving mechanism in the Dongying Sag[D]. Qingdao: China University of Petroleum(East China), 2024. |
| [36] |
国景星. 冲积-河流相层序地层模式: 以济阳坳陷新近系为例. 新疆地质, 2003, 21(4): 393-397. GUO Jingxing. The mode of sequence stratum of alluvial-fluvial facies: Taking the Upper Tertiary of Jiyang Depression for example. Xinjiang Geology, 2003, 21(4): 393-397. |
| [37] |
尹艳树, 黄圣斌, 黄奇志, 等. 尼日尔Termit盆地Koulele油田始新统浅水三角洲前缘沉积特征及成因模式. 岩性油气藏, 2025, 37(2): 12-25. YIN Yanshu, HUANG Shengbin, HUANG Qizhi, et al. Sedimentary characteristics and genesis model of the Eocene shallow-water delta front in the Koulele Oilfield, Termit Basin, Niger. Lithologic Reservoirs, 2025, 37(2): 12-25. DOI:10.12108/yxyqc.20250202 |
| [38] |
任梦怡, 胡光义, 范廷恩, 等. 秦皇岛32-6油田北区新近系明化镇组下段复合砂体构型及控制因素. 岩性油气藏, 2022, 34(6): 141-151. REN Mengyi, HU Guangyi, FAN Ting'en, et al. Composite sand body architecture and controlling factors of the lower Minghuazhen Formation of Neogene in northern Qinhuangdao 32-6 oilfield. Lithologic Reservoirs, 2022, 34(6): 141-151. DOI:10.12108/yxyqc.20220612 |
| [39] |
童强, 余建国, 田云吉, 等. 演武油田Y116井区延8段构型界面约束下的单河道砂体构型. 岩性油气藏, 2020, 32(3): 144-158. TONG Qiang, YU Jianguo, TIAN Yunji, et al. Architecture characterization of single distributary channel sand bodies restricted by architecture interface of Yan 8 member in Y116 well area, Yanwu Oilfield. Lithologic Reservoirs, 2020, 32(3): 144-158. DOI:10.12108/yxyqc.20200314 |
| [40] |
王海洋. 油砂山网状河三角洲沉积体系与构型分析[D]. 秦皇岛: 燕山大学, 2015. WANG Haiyang. The anastomosing river delta sedimentary system and configuration analysis of Youshashan Oil Field[D]. Qinhuangdao: Yanshan University, 2015. |
| [41] |
张皓宇, 李茂, 康永梅, 等. 鄂尔多斯盆地镇北油田长3油层组储层构型及剩余油精细表征. 岩性油气藏, 2021, 33(6): 177-188. ZHANG Haoyu, LI Mao, KANG Yongmei, et al. Reservoir architecture and fine characterization of remaining oil of Chang 3 reservoir in Zhenbei oilfield, Ordos Basin. Lithologic Reservoirs, 2021, 33(6): 177-188. DOI:10.12108/yxyqc.20210618 |
| [42] |
尹艳树, 张尚峰, 尹太举. 钟市油田潜江组含盐层系高分辨率层序地层格架及砂体分布规律. 岩性油气藏, 2008, 20(1): 53-58. YIN Yanshu, ZHANG Shangfeng, YIN Taiju. High resolution sequence stratigraphy framework and the distribution of sand bodies in salt lake of Qianjiang Formation in Zhongshi Oilfield. Lithologic Reservoirs, 2008, 20(1): 53-58. DOI:10.3969/j.issn.1673-8926.2008.01.009 |
| [43] |
雷涛, 莫松宇, 李晓慧, 等. 鄂尔多斯盆地大牛地气田二叠系山西组砂体叠置模式及油气开发意义. 岩性油气藏, 2024, 36(2): 147-159. LEI Tao, MO Songyu, LI Xiaohui, et al. Sandbody superimposition patterns and oil and gas exploration significance of Permian Shanxi Formation in Daniudi gas field, Ordos Basin. Lithologic Reservoirs, 2024, 36(2): 147-159. DOI:10.12108/yxyqc.20240214 |
| [44] |
尹艳树, 丁文刚, 安小平, 等. 鄂尔多斯盆地安塞油田塞160井区三叠系长611储层构型表征. 岩性油气藏, 2023, 35(4): 37-49. YIN Yanshu, DING Wengang, AN Xiaoping, et al. Configuration characterization of Triassic Chang 611 reservoir in Sai 160 well area of Ansai oilfield, Ordos Basin. Lithologic Reservoirs, 2023, 35(4): 37-49. DOI:10.12108/yxyqc.20230404 |
2025, Vol. 37



