2. 长江大学 石油工程学院, 武汉 430100
2. School of Petroleum Engineering, Yangtze University, Wuhan 430100, China
衰竭式开发过程中,当油藏压力降至临界值以下时,需补充能量维持开采。CO2混相驱是提高原油采收率的有效手段之一。当油藏压力高于最小混相压力(MMP)时,CO2与原油形成混相带,通过降低原油黏度、油气界面张力的协同效应,提升原油流动性和驱替效率,促进残余油向生产井运移。MMP[1]指特定温度下油气体系形成均一相所需的最低压力,是评价CO2能否实现混相驱的关键参数[2]。
目前MMP的确定主要依赖实验法和理论法[3]。实验法主要包括细管实验和升泡仪法。细管实验通过填砂毛细管模拟多孔介质中的渗流,根据注气量达1.2倍孔隙体积时原油采出率与驱替压力曲线确定MMP。杨付林等[4]对比2种常用细管实验标准发现,RF准则的线性相交法测定精度较低,BOP标准的3次方拟合法对曲线斜率区间要求严格,仅特定斜率范围可获得准确结果。升泡仪法周期短、成本低,但高度依赖操作者对气泡形态的主观判读,且更适用于轻质油体系,对复杂原油适用性差。综上,实验法虽较可靠,但结果易受实验标准、细管规格、填充介质及人为因素影响。理论法包括经验公式法和状态方程法[5]。经验公式法计算简便,但常因未涵盖全组分参数或适用条件局限导致误差较大,如Cronquist公式未考虑非纯CO2驱替,Alston公式仅适用于C7+分子量 < 300 g/mol的原油体系[6]。状态方程法精度虽高,但对迭代精度要求苛刻,需进行严格的PVT相态拟合[7],拟合质量直接影响模拟结果可靠性,存在计算耗时,应用受限的问题。
传统方法难以有效处理影响MMP的各因素间高度相关性及复杂非线性关系,导致拟合不稳定[8]。机器学习方法在处理此类非线性问题、提升预测精度方面优势显著。陈光莹等[9]应用神经网络模型虽取得较好相关性,但训练易陷入局部最优,部分预测误差仍超过20%;姚健[10]采用支持向量机预测MMP,成本低于传统方法但计算耗时较长;林鹤等[11]利用网格搜索优化随机森林模型,预测精度较高;Qin等[12]对比Ridge回归与K近邻算法,发现引入L2正则化的Ridge模型能有效避免过度拟合,更适用于处理多重共线性问题;王涵等[13]应用ElasticNet模型可以有效降低神经网络输入维度,适合用作特征筛选模型。现有模型对核岭回归研究较少,且普适性有待验证。核岭回归(kernel ridge regression,KRR)融合了岭回归与核方法的优势,相较于ElasticNet、支持向量回归等算法,具有超参数少、计算效率高、小样本拟合能力强等特点。因此,采用灰色关联分析法对影响CO2驱油效率的主控因素进行识别与权重赋值,基于135组已公开实验数据构建数据集[14-15],利用核岭回归算法对参数集进行训练,并用遗传算法与网格搜索法优化模型超参数,建立MMP预测模型,进行多模型对比研究。所建模型覆盖低、中、高温储层条件,涵盖不同注入气组分及原油类型,较经验公式参数更全、适用性更广、精度更高。
1 最小混相压力主控因素及敏感性 1.1 主控因素最小混相压力(MMP)主要受油藏温度、原油组分及注入气组成等因素控制。油藏温度变化会影响原油黏度、密度、溶解气能力及饱和压力,一般而言,低黏轻质油较高黏重质油更易实现混相驱替。鉴于原油组分复杂,通常按碳原子数将其划分为挥发组分(CH4,N2)、轻烃(C2—C4)、中间烃(C5—C6)及重质组分(C7+)4类进行分析[16]。此外,工业来源的CO2注入气常含H2S,N2,CH4及C2-C4烃类等杂质,故需考查不同杂质类型与含量对MMP的影响程度。
细管实验是测定不同组分原油MMP的标准方法。Spence等[17]测量了中低温(50~90 ℃)黑油油藏MMP;Alston等[18]于1985年测定了67.8~112 ℃挥发油油藏MMP;Eakin等[19]研究了高温重油油藏MMP;Metcalfe[20]聚焦含H2及烃类的注入气MMP;Bon等[21]则侧重含少量N2杂质注入气的MMP预测。基于上述研究,精选135组已公开实验数据构建数据集,涵盖油藏温度T、原油中C7+分子量M(C7+)、挥发组分N2和CH4摩尔分数x(CH4+N2)、轻烃摩尔分数x(C2—C4)、中间烃摩尔分数x(C5—C6)、注入气中N2摩尔分数x(N2)、CH4摩尔分数x(C1)、H2S摩尔分数x(H2S)、烃类摩尔分数x(C2—C4)inj等9个关键因子。下文将分析上述9个因素与MMP的关联性,并基于原油组成、储层温度及注入气组成建立核岭回归(KRR)算法的CO2驱MMP预测模型。
1.2 敏感性敏感性分析[22]用于评估预测模型对输入参数变化的敏感程度,旨在识别对MMP预测影响最大的关键参数,从而指导模型优化。采用灰色关联度分析法[23]量化各影响因素与MMP的关联性,该方法适用于小样本数据,计算效率高。传统灰色关联法直接基于原始指标计算关联度,但实际应用中指标间常存在多重相关性应用。基于正交化的改进灰色关联法,通过对原数据进行正交变换,将高度相关的指标转化为相互独立的特征分量,有效降低噪声干扰,增强模型鲁棒性。MMP与各影响因素的灰色关联度计算步骤如下:
(1)数据标准化
采用Z-score标准化方法处理原始数据,消除量纲并将其转换为均值为0、标准差为1的标准正态分布:
| $ V_i=\frac{V_i(k)-\mu_i}{\sigma_i} $ | (1) |
式中:i为特征向量序号;k为样本序号;Vi为第i个标准化后的特征向量;μi为第i个特征的平均值;σi为第i个特征的标准差。
(2)正交化处理
采用Gram-Schmidt正交化方法处理标准化后的特征向量,其公式如下:
| $ x_i=V_i-\sum\limits_{j=1}^{N-1}\left(\frac{V_i V_j}{V_j V_j}\right) V_j $ | (2) |
式中:Vj为特征向量组中第j个特征向量;N为影响因子数量,个;xi为经正交化处理后的特征向量。
(3)计算绝对差值
计算正交化后的MMP序列与各正交化影响因素序列间的绝对差值,其公式如下:
| $ \Delta_{i}(k)=\left|x_{\mathrm{MMP}}(k)-x_{i}(k)\right| $ | (3) |
式中:xMMP是标准化后的MMP序列。
(4)计算关联系数
使用如下公式计算各影响因素正交化序列与MMP序列的关联系数:
| $ \xi_{i}(k)=\frac{\Delta_{\min }+\zeta \Delta_{\max }}{\Delta_{i}(k)+\zeta \Delta_{\max }} $ | (4) |
式中:Δmin是所有绝对差值中的最小值;Δmax为所有绝对差值中的最大值;ζ为分辨系数。
(5)计算灰色关联度
计算各影响因素关联系数的平均值,得到其灰色关联度,其公式如下:
| $ \gamma_{i}=\frac{1}{n} \sum\nolimits_{k=1}^{n} \xi_{i}(k) $ | (5) |
式中:γi为第i个特征的灰色关联度;n为样本总数,个。
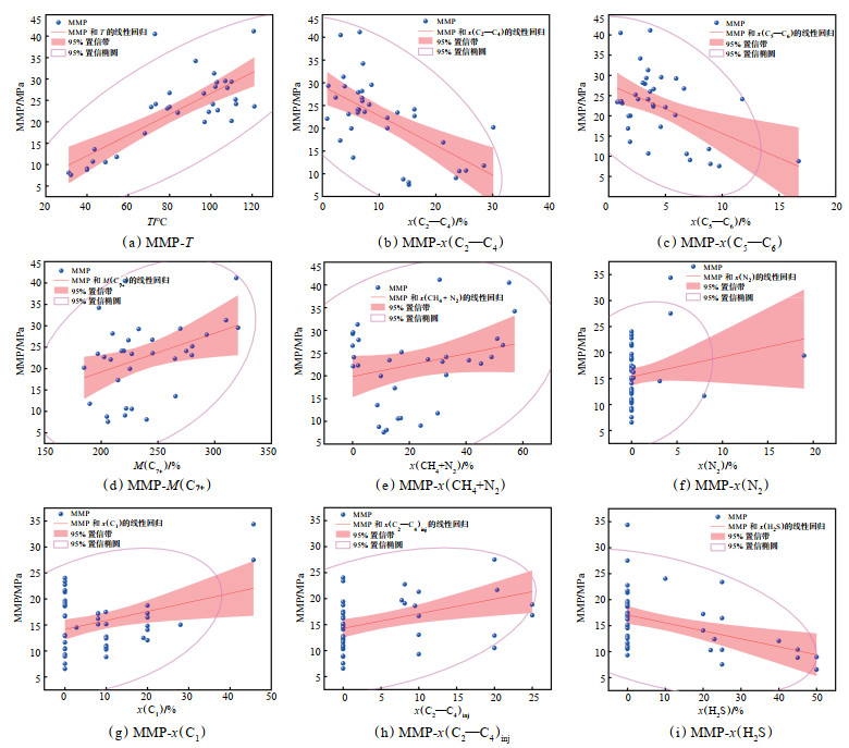
影响因素(储层温度、轻烃、重烃、中间烃、挥发组分、注入气杂质组分)与MMP的置信带和置信椭圆如图 1所示。结果表明:x(C2—C4)与MMP呈负相关。轻烃易被CO2抽提,促进混相形成,故轻烃摩尔占比越高,所需MMP越低。重烃组分的摩尔质量越大,原油越难提取,因此原油中环烷烃和芳香烃等重质组分只有很小一部分会被CO2抽取,大部分留于重馏分中[24-25],原油越重则MMP越大,M(C7+)与MMP呈正相关。油样中CH4和N2不利于原油与CO2混相,因此,x(CH4+ N2)与MMP呈正相关。N2相比于CO2具有较高的饱和压力,注入气中N2会对黏度、体积、注入压力等有一定的影响。当注入气中混入C1、N2杂质时,MMP增大。注入气中C2—C4烃组分含量会使原油的膨胀性增加,原油黏度降低。当注入气中混入H2S、其他烃时,MMP减小。通过计算,纯CO2注入下各因素对MMP的影响程度由高到低依次为:T > x(C2—C4) > M(C7+) > x(C5—C6) > x(CH4 + N2),关联度值依次为0.7839、0.7365、0.6918、0.6851、0.6163。非纯CO2注入下,注入气组成对MMP的影响程度排序为:x(N2) > x(C1) > x(C2—C4)inj > x(H2S)。
|
下载原图 图 1 最小混相压力(MMP)与关键影响因素的关联性分布 Fig. 1 Correlation of each key influencing factor with MMP |
核岭回归(Kernel Ridge Regression,KRR)[26]是一种融合岭回归和核技巧的机器学习算法。岭回归是一种基于最小二乘法的回归方法,通过引入L2范数正则,有效降低了模型的复杂性。其损失函数如下:
| $ C=\min \left\{\sum\limits_{i=1}^{n}\left[y_{i}-f\left(x_{i}\right)\right]^{2}+\lambda\|f\|^{2}\right\} $ | (6) |
式中:yi是目标值,MPa;f (xi) 是模型预测值,MPa;λ是正则化参数;f是预测函数。
核岭回归中引入了核函数k,核岭回归模型的预测函数为:
| $ f=\sum\limits_{i=1}^{n} \alpha_{i} k\left(x_{i}, x\right) $ | (7) |
式中:αi为模型预测函数的系数,根据所选的核方法确定;k为选择的核函数,本文采用RBF(Radialbasis function kernel)核函数:
| $ k\left(x_{i}, x\right)=\exp \left[-\gamma d\left(x_{i}, x\right)^{2}\right] $ | (8) |
式中:
采用核岭回归(Kernel Ridge Regression,KRR)算法,针对CO2驱MMP预测建立模型。利用网格搜索法[26]对KRR模型的正则化参数λ及核函数参数γ进行优化。通过在预定义的参数范围内穷举搜索不同的参数组合,以获取模型性能最优的参数集。模型拟合所使用的初始数据集包含135组来自不同文献的MMP及相关油藏与流体参数数据[14-15]。该数据集涵盖多种油藏类型与流体性质,具有一定的普适性。使用Python将数据分成85% 的训练集和15% 的测试集。基于敏感性分析结果,选取9个关键影响因素作为预测模型的输入特征参数。训练过程中,将MMP实测值作为式(6)中的目标值y。设置网格搜索参数范围,正则化参数λ的搜索范围为[0.000 1,500];核函数参数γ采用对数刻度在范围[10-4,102]内搜索最优值。模型通过优化目标函数,并基于五折交叉验证确定最佳γ参数,具体过程如下:首先,根据影响因素构造特征向量,随后构建核矩阵 K,其元素由式(8)计算得到,计算特征向量xi与新样本向量之间的距离。将核矩阵 K代入式(9),通过求解以下线性方程组确定核函数系数:
| $ y=(\boldsymbol{K}+\lambda I) \alpha $ | (9) |
式中:K是核矩阵;I是单位矩阵;α是核函数系数;y为目标值向量,MPa。
MMP预测模型构建及参数优化流程如图 2所示。经网格搜索优化获得最佳参数组合如下:纯CO2驱替下,正则化参数λ = 0.03;核函数参数γ = 2.25×10-4;含杂质CO2驱替下,正则化参数λ = 0.01;核函数参数γ = 1.00×10-4。
|
下载原图 图 2 KRR模型网格搜索法优化流程 Fig. 2 Optimization process of KRR model using thegrid search method |
遗传算法(Genetic Algorithm,GA)[27]将MMP预测问题类比于生物进化。通过选择、交叉、变异等操作迭代生成新解,逐步淘汰适应度函数值较低的解,最终实现目标函数的最优化。算法参数设置如下:正则化参数λ的搜索范围为[10-4,1];核函数参数γ搜索范围为[10-5,1]。采用二进制编码的交叉操作,并应用差分进化算法的变异策略。设定每代生成20个新个体,迭代计算直至适应度达到预设收敛标准。
遗传算法的主要循环步骤如下:
(1)计算当前种群中每个个体,即对应一组λ和γ参数的适应度函数值。
(2)依据“适应度越高,被选中概率越大”的原则,从种群中选择2个个体作为父代。
(3)对父代个体的染色体,即λ和γ参数的二进制编码进行交叉操作,生成20个子代个体。
(4)对子代个体的染色体应用差分进化变异策略。
模型参数优化流程详见图 3所示。经遗传算法优化获得最佳参数组合如下:纯CO2驱替下,正则化参数λ = 0.030 53;核函数参数γ = 2.47×10-4;含杂质CO2驱替下,正则化参数λ = 1.00×10-4;核函数参数γ= 2.40×10-5。
|
下载原图 图 3 KRR模型遗传算法优化流程 Fig. 3 Optimization process of KRR model using thegenetic algorithm |
在回归模型性能评价中,常用的统计指标包括均方根误差(ERMS)、平均绝对百分比误差(EMAP)和决定系数(R2)等[12]。均方根误差广泛应用于模型预测误差的定量评估,ERMS值越小,表明模型预测精度越高。由于其对误差项进行平方运算,ERMS对较大误差更为敏感,能有效表征模型预测结果的精度与稳定性。其计算公式:
| $ E_{\mathrm{RMS}}=\sqrt{\sum\limits_{i=1}^{n} \frac{\left(p_{i}-o_{i}\right)^{2}}{n}} $ | (10) |
式中:pi为预测值,MPa;oi为观测值,MPa。
平均绝对百分比误差(EMAP)是评估模型预测相对误差的指标,通过计算预测值与实测值间的绝对偏差占实测值的百分比,并求其平均值得到,其计算公式:
| $ E_{\mathrm{MAP}}=\frac{1}{n} \sum\limits_{i=1}^{n} \frac{\left|o_{i}-p_{i}\right|}{o_{i}} $ | (11) |
决定系数(R2)用于评估回归模型对观测数据变异性的解释程度,反映模型的拟合优度,其计算公式:
| $ R^{2}=1-\frac{\sum\left(o_{i}-p_{i}\right)^{2}}{\sum\left(o_{i}-\bar{p}\right)^{2}} $ | (12) |
式中:
采用细管实验法测定5组不同温度、原油组分条件下的MMP。利用构建的KRR预测模型计算对应MMP值,并与细管实验实测值进行对比,计算相对误差(表 1)。
|
|
下载CSV 表 1 KRR-GA模型MMP预测值与细管实验值对比 Table 1 Comparison of KRR-GA model MMP predictions and slim tube experiment values |
为了验证KRR模型的优越性,将KRR-GS模型、KRR-GA模型、Ridge模型及ElasticNet模型进行对比。结果(图 4)显示:KRR模型,尤其是KRRGA模型的预测点紧密分布在参考线附近,说明其预测结果与实测值吻合度更高。KRR-GS模型是通过遍历搜索最优参数,获得更精确的结果需消耗更多的资源,因此更适用于小规模数据集,而KRR-GA模型可通过随机初始化和随机选择提高全局搜索能力,在大规模搜索空间中更易找到全局最优解。ElasticNet模型结合了神经网络的层次结构,在处理多重共线性特征时具有优势,但其训练时间长,对复杂模型的计算需求大,容易陷入局部最优解,从而增加过拟合的风险。Ridge模型在线性回归的基础上增加了正则化项,保留了线性回归稳定性的同时又避免了ElasticNet模型过拟合的问题,但其处理高度非线性的MMP预测问题仍具有局限性。基于KRR算法的预测模型比起普通的Ridge回归模型可以通过核函数提升非线性数据的处理能力,在捕捉复杂关系和多变量影响方面效果更好。
|
下载原图 图 4 MMP预测模型效果对比图 Fig. 4 Comparison of MMP prediction model performance |
4种模型分别预测MMP值,并与细管实验值对比求出均方根误差和绝对百分比误差以及决定系数。结果(表 2)显示:KRR-GA模型和KRR-GS模型不管在纯CO2驱替场景下还是含杂质CO2驱替场景下的均方根误差都更低,证明其对数据中的随机噪声不敏感,未因少量极端值产生显著偏差,泛化能力优于其他2组模型。其中KRR-GA模型误差最低,决定系数最高接近1.000,表明其能准确量化原油组分、温度等特征参数对MMP的影响规律。
|
|
下载CSV 表 2 不同模型预测性能比较 Table 2 Comparison of prediction performance ofdifferent models |
将T、x(CH4+N2)、x(C2—C4)、M(C7+)、x(N2)、x(C2—C4)inj、x(H2S)等关键参数进行分区,如表 3所列,分别计算不同参数区间KRR-GA与KRR-GS模型的MMP预测值与细管实验值的相对误差,深入对比这2种模型的适用条件。结果(表 3)显示:整体上看,KRR-GA模型的相对误差更低,预测精度更高,尤其是在中低温60 ℃以下,M(C7+)为高值,注入气中x(N2)和x(C2—C4)为高值、x(H2S)为低值时相对误差明显低于KRR-GS模型,仅在高温区间90~110 ℃、M(C7+)低值区间190~250 g/mol和注入气x(H2S)高值区间相对误差略高。综合分析可知,KRR-GA模型对重质原油油藏及常规黑油油藏表现出更优的适用性,而KRR-GS模型更适用于注入气中有较高H2S含量的轻质原油油藏。
|
|
下载CSV 表 3 基于KRR的2种优化算法预测精度对比 Table 3 Comparison of prediction accuracy between twooptimization algorithms based on KRR |
(1)使用灰色关联度法计算得到纯CO2注入下各因素对MMP的影响程度由高到低依次为:T > x(C2—C4) > M(C7+) > x(C5—C6) > x(CH4 + N2),含杂质CO2注入下,注入气杂质对MMP的影响程度排序为:x(N2) > x(C1) > x(C2—C4)inj > x(H2S)。T、x(CH4 + N2)、M(C7+)、x(N2)、x(C1)、x(C2—C4)inj与MMP呈正相关,x(C2—C4)、x(C5—C6)、x(H2S)与MMP呈负相关。
(2)KRR算法在计算MMP等回归问题中具有显著优势。其非线性建模能力使其能够灵活处理复杂的数据模式,预测结果与其他模型对比,误差小,精度高,其中KRR-GA模型精度最高,总平均绝对误差为4.11%,均方根误差为0.856 MPa,决定系数为0.981,KRR-GA模型对重质原油油藏及常规黑油油藏表现出更优的适用性,而KRR-GS模型更适用于注入气中有较高H2S含量的轻质原油油藏。
| [1] |
代波, 王磊飞, 庄建, 等. 超低渗透油藏CO2驱最小混相压力实验. 岩性油气藏, 2020, 32(2): 129-133. DAI Bo, WANG Leifei, ZHUANG Jian, et al. Experiment ofminimum miscibie pressure of CO2 flooding in ultra-low permeability reservoir. Lithologic Reservoirs, 2020, 32(2): 129-133. DOI:10.12108/yxyqc.20200214 |
| [2] |
崔传智, 李静, 吴忠维. 扩散吸附作用下CO2非混相驱微观渗流特征模拟. 岩性油气藏, 2024, 36(6): 181-188. CUI Chuanzhi, LI Jing, WU Zhongwei. Simulation of microscopic seepage characteristics of CO2 immiscible flooding under the effect of diffusion and adsorption. Lithologic Reservoirs, 2024, 36(6): 181-188. DOI:10.12108/yxyqc.20240617 |
| [3] |
ELSHARKAWY A M, POETTMANN F H, CHRISTIANSENR L. Measuring CO2 minimum miscibility pressures: Slim-tube orrising-bubble method. Energy & fuels, 1996, 10(2): 443-449. |
| [4] |
杨付林, 喻鹏. 细管实验确定最小混相驱压力技术标准. 特种油气藏, 2019, 26(6): 118-122. YANG Fulin, YU Peng. Technical standard of minimum miscible flooding pressure determination with slim tube experiment. Special Oil & Gas Reservoirs, 2019, 26(6): 118-122. |
| [5] |
叶安平, 郭平, 王绍平, 等. 利用PR状态方程确定CO2驱最小混相压力. 岩性油气藏, 2012, 24(6): 125-128. YE Anping, GUO Ping, WANG Shaoping, et al. Determinationof minimum miscibility pressure for CO2 flooding by using PRequation of state. Lithologic Reservoirs, 2012, 24(6): 125-128. |
| [6] |
赵跃军, 宋考平, 范广娟. 储层条件下超临界二氧化碳与原油体系最小混相压力研究. 大连理工大学学报, 2017, 57(2): 119-125. ZHAO Yuejun, SONG Kaoping, FAN Guangjuan. Research onminimum miscible pressure of supercritical carbon dioxide andcrude oil system under reservoir condition. Journal of Dalian University of Technology, 2017, 57(2): 119-125. |
| [7] |
张慧. 最小混相压力确定方法研究. 石化技术, 2016, 23(3): 7-8. ZHANG Hui. Study on methods for determining minimum miscibility pressure. Petrochemical Technology, 2016, 23(3): 7-8. |
| [8] |
桂金咏, 李胜军, 高建虎, 等. 基于特征变量扩展的含气饱和度随机森林预测方法. 岩性油气藏, 2024, 36(2): 65-75. GUI Jinyong, LI Shengjun, GAO Jianhu, et al. A random forestsprediction method for gas saturation based on feature variableextension. Lithologic Reservoirs, 2024, 36(2): 65-75. DOI:10.12108/yxyqc.20240207 |
| [9] |
陈光莹, 梁志武, 符开云, 等. 人工神经网络法预测二氧化碳-原油最小混相压力. 化工进展, 2011, 30(增刊1): 526. CHEN Guangying, LIANG Zhiwu, FU Kaiyun, et al. Predictionof minimum miscibility pressure between carbon dioxide andcrude oil using artificial neural networks. Chemical Industry & Engineering Progress, 2011, 30(Suppl 1): 526. |
| [10] |
姚健. CO2-原油最小混相压力实验测定及模型研究[D]. 成都: 西南石油大学, 2019. YAO Jian. Experimental measurement and modeling study ofminimum miscibility pressure between CO2 and crude oil[D]. Chengdu: Southwest Petroleum University, 2019. |
| [11] |
林鹤, 杜金玲, 徐刚, 等. 随机森林算法在水力压裂套管变形预测中的应用. 岩性油气藏, 2025, 37(3): 185-193. LIN He, DU Jinling, XU Gang, et al. The application of random forest algorithm in predicting the casing deformation ofhydraulic fracturing. Lithologic Reservoirs, 2025, 37(3): 185-193. DOI:10.12108/yxyqc.20250317 |
| [12] |
QIN Bowen, CAI Xulong, NI Peng, et al. Prediction of the minimum miscibility pressure for CO2 flooding based on a physicalinformation neural network algorithm. Measurement Science & Technology, 2024, 35: 1-14. |
| [13] |
王涵, 白宏坤, 王世谦, 等. 基于组合集成学习模型的区域碳排放预测方法研究. 电力需求侧管理, 2023, 25(4): 55-59. WANG Han, BAI Hongkun, WANG Shiqian, et al. Regionalcarbon emission prediction method based on combined ensemblelearning model. Power Demand Side Management, 2023, 25(4): 55-59. |
| [14] |
陈光莹. CO2与原油最小混相压力模拟预测及实验测定[D]. 长沙: 湖南大学, 2016. CHEN Guangying. Simulation prediction and experimental determination of CO2-oil minimum miscibility pressure[D]. Changsha: Hunan University, 2016. |
| [15] |
潘毅, 赵秋霞, 孙雷, 等. CO2驱最小混相压力预测模型研究. 油气藏评价与开发, 2022, 12(5): 748-753. PAN Yi, ZHAO Qiuxia, SUN Lei, et al. Prediction model ofminimum miscible pressure in CO2 flooding. PetroleumReservoir Evaluation and Development, 2022, 12(5): 748-753. |
| [16] |
郑旭, 雷源, 丁文刚, 等. 低渗油藏二氧化碳驱最小混相压力预测方法研究. 当代化工, 2021, 50(11): 2636-2639. ZHENG Xu, LEI Yuan, DING Wengang, et al. Research on prediction method of the minimum miscible pressure for carbon dioxide flooding in low permeability reservoirs. Contemporary Chemical Industry, 2021, 50(11): 2636-2639. |
| [17] |
SPENCE A S J R, WATKINS R W. The effect of microscopiccore heterogeneity on miscible flood residual oil saturation[R]. Dallas, SPE Annual Technical Conference and Exhibition, 1980.
|
| [18] |
ALSTON R, KOKOLIS G, JAMES C. CO2 minimum miscibility pressure: A correlation for impure CO2 streams and live oilsystems. Society of Petroleum Engineers Journal, 1985, 25(2): 268-274. DOI:10.2118/11959-PA |
| [19] |
EAKIN B, MITCH F. Measurement and correlation of miscibility pressures of reservoir oils[R]. Houston, SPE Annual Technical Conference and Exhibition, 1988.
|
| [20] |
METCALFE R S. Effects of impurities on minimum miscibility pressures and minimum enrichment levels for CO2 and richgas displacements. Society of Petroleum Engineers Journal, 1982, 22(2): 219-225. DOI:10.2118/9230-PA |
| [21] |
BON J, EMERA M K, SARMA H K. An experimental studyand genetic algorithm(GA)correlation to explore the effect ofnC5 on impure CO2 minimum miscibility pressure(MMP)[R]. Adelaide, SPE Asia Pacific Oil & Gas Conference and Exhibition, 2006.
|
| [22] |
刘浩, 刘嘉豪. 基于特低渗油藏注CO2吞吐参数敏感性分析. 精细石油化工进展, 2023, 24(1): 24-28. LIU Hao, LIU Jiahao. Sensitivity analysis of CO2 huff and puffparameters based on ultra-low permeability reservoir. Advances in Fine Petrochemicals, 2023, 24(1): 24-28. |
| [23] |
孙敬, 刘德华, 张亮, 等. 低渗透油藏递减影响因素的灰色关联分析. 特种油气藏, 2012, 19(2): 90-93. SUN Jing, LIU Dehua, ZHANG Liang, et al. Grey correlationanalysis of the influencing factors on production decline in lowpermeability reservoirs. Special Oil & Gas Reservoirs, 2012, 19(2): 90-93. |
| [24] |
钱福源. CO2与地层油最小混相压力影响因素的研究[D]. 大庆: 东北石油大学, 2020. QIAN Fuyuan. Study on the influence of formation oil betweenCO2 and minimum miscibility pressure[D]. Daqing: NortheastPetroleum University, 2020. |
| [25] |
韩波, 翟志伟, 于伟东, 等. 油藏CO2驱过程中最小混相压力的动态变化及其影响因素分析. 非常规油气, 2022, 9(1): 98-104. HAN Bo, ZHAI Zhiwei, YU Weidong, et al. Dynamic analysisof minimum miscibility pressure during CO2 flooding reservoirsand its influencing factors. Unconventional Oil & Gas, 2022, 9(1): 98-104. |
| [26] |
龙震宇, 王长权, 石立红, 等. 基于核岭回归算法的地层水中CO2溶解度模型研究. 西安石油大学学报(自然科学版), 2023, 38(1): 95-101. LONG Zhenyu, WANG Changquan, SHI Lihong, et al. Studyon CO2 solubility model in formation water based on kernelridge regression algorithm. Journal of Xi'an Shiyou University(Natural Science Edition), 2023, 38(1): 95-101. |
| [27] |
李虎, 蒲春生, 吴飞鹏. 基于广义回归神经网络的CO2驱最小混相压力预测. 岩性油气藏, 2012, 24(1): 108-111. LI Hu, PU Chunsheng, WU Feipeng. Prediction of minimummiscibility pressure in CO2 flooding based on general regressionneural network. Lithologic Reservoirs, 2012, 24(1): 108-111. DOI:10.3969/j.issn.1673-8926.2012.01.021 |
2025, Vol. 37



