下沟组沟一3亚段(K1g13)是鸭儿峡地区白垩系主要产油层段之一,目前油藏采出程度低,潜力大。前人研究认为,鸭儿峡地区下沟组发育扇三角洲—湖泊体系[1],但在相同地质背景及油气运移情况下,扇三角洲北部沉积特征与扇三角洲主体具有明显差别,且油气富集程度也远远不及扇三角洲主体部位,因此,对研究区北部沉积相的认识仍不清楚。同时,前人对研究区下沟组研究多以沟零段(K1g0)作为目的层,对沟一段(K1g1)研究相对较少,且很少细化到主要产油层段[2-3],因此针对主要目的层开展沉积相及有利储层研究,能更加有效地指导油气勘探与开发。
研究区K1g13储层具有埋藏深、非均质性强的特征,研究发现,目的层局部次生溶蚀孔隙发育。次生孔隙通常具有较原生孔隙更大的孔隙度与渗透率,具有广泛的研究前景[4]。国内外学者对次生孔隙的研究始于Schmidt等[5],他们指出次生孔隙的形成与有机质演化有关;Surdam等[6-7]提出了次生孔隙的有机成因说;苗建宇等[8]认为次生孔隙的形成受有机酸溶蚀、有机质丰度及高地层温度的影响,并指出异常高压对次生孔隙保存具有积极作用;李义军[9]对次生孔隙的成因进行了系统分析,阐述了溶解与迁移作用对次生孔隙的影响,指出次生孔隙的形成是一个复杂多元的过程;张以明等[10]认为大气淡水的渗滤作用也是导致次生孔隙发育的主要原因之一。综合来看,前人对次生孔隙的相关研究虽然不断深入,但对其有效预测则鲜有涉及,杨香华等[11]指出,当前应加强对次生孔隙发育带在平面上分布范围的预测,而非仅仅是停留在成因机制与纵向预测上。
笔者在前人研究的基础上,结合研究区55口井测井、录井、岩心及室内测试分析等资料,对鸭儿峡地区K1g13的沉积相类型、展布特征进行详细分析,并对储层特征进行研究,明确影响溶蚀发育的主控因素,进一步刻画溶蚀带平面分布范围,并综合沉积相、溶蚀带及构造等因素预测有利储层分布区,以期为该区下一步油气勘探提供依据。
1 区域地质背景酒泉盆地处于阿尔金地块、阿拉善地块与北祁连造山带三者的结合部位,面积约2.2万km2,目前已发现老君庙、鸭儿峡、石油沟、青西、白杨河及单北等6个油田,石油探明储量及潜在资源量主要集中在青西坳陷及老君庙推覆带。酒泉盆地主要经历了古生代褶皱基底—中生代裂谷断陷—新生代前陆坳陷的演化过程,其中,中、新生代主要经历了早白垩世拉张断陷期和古近纪挤压坳陷期等2个构造旋回,沉积盖层具有断、坳叠置的双层结构特征[12]。早白垩世是盆地重要的发展演化时期,此时期在右旋扭动大背景下,盆地局部受张应力作用,形成了一系列北东、北北东张扭性断裂及断陷湖盆,断陷湖盆中沉积了巨厚的烃源岩及储集层、盖层,具备良好的油气储集及保存能力。
鸭儿峡地区位于酒泉盆地酒西坳陷青西凹陷东北部,东南部以509断层为界,西北方受青北断层控制(图 1),面积113.7 km2。鸭儿峡地区发育有巨厚的下白垩统,最大厚度4 800 m,自下而上分划为赤金堡组(K1c)、下沟组(K1g)以及中沟组(K1z),其中下沟组包括4个岩性段(K1g0,K1g1,K1g2,K1g3),K1g1又可进一步划分为4个亚段(K1g11,K1g12,K1g13,K1 g14)。研究区白垩系下沟组K1g13沉积广布,厚度约100~150 m,为一套陆相碎屑岩沉积:下部为灰色、浅灰色(白云质)泥岩、粉砂岩不等厚互层;中部为灰色(云质)泥岩、细砂岩、含砾不等粒砂岩、细砾岩不等厚互层;上部为浅灰色、灰色含砾不等粒砂岩、砾岩、砂岩夹浅灰色(白云质)泥岩,自下而上总体具有细→粗的沉积特征,自凹陷边界至凹陷中心岩石分布总体表现为砾岩→砂砾岩→砂岩→粉细砂岩→泥岩逐渐变细的趋势。砾岩段见叠瓦状构造、冲刷面,砂岩见斜层理、平行层理,泥岩中具有丰富的生物化石,如瓣鳃类、腹足类、介形类、叶肢介、轮藻及植物等。
|
下载eps/tif图 图 1 酒泉盆地鸭儿峡地区沉积与构造位置图 Fig. 1 Sedimentary structure and location of Ya'erxia area, Jiuquan Basin |
本次研究选取的55口井目的层发育良好,测井系列齐全,所选取的测井曲线主要为对酒泉盆地鸭儿峡地区沉积反映效果明显的自然伽马及电阻率曲线,能够代表研究区的整体情况。通过岩心观察、测井、录井及地震属性分析等方法,在研究区K1g13识别出扇三角洲、近岸水下扇及湖泊相等3种沉积相类型,并进一步划分为8种亚相、16种微相(表 1)。
|
|
下载CSV 表 1 鸭儿峡地区白垩系下沟组K1g13沉积相类型划分 Table 1 Sedimentary facies classification of K1g13 of Cretaceous Xiagou Formation in Ya'erxia area |
众多学者根据研究区、研究层位及依据标准的不同,对近岸水下扇定义也存在分歧[13-14],本文所指近岸水下扇为近源洪水携带大量陆源碎屑直接入湖,并在湖盆边缘陡岸深水环境中形成的水下扇体,主要形成于陆相断陷湖盆扩张期。
扇三角洲主要发育于断陷湖盆的陡坡带,与近水下扇具有相似的沉积背景,但一般边界断层坡较大的陡岸,近岸水下扇更为发育[15-16]。鸭儿峡区白垩系下沟组K1g13沉积时期,青西凹陷处于烈断陷期,青北断层与509断层构造活跃,形成东深西浅、东断西超的箕状断陷,符合形成2种沉积体的地质环境。研究发现,东南部509断层较缓,坡度为50°~70°,北部青北断层较陡,坡度为75°~90°(图 2),这种构造背景差异是造成差异沉积的重要原因。
|
下载eps/tif图 图 2 鸭儿峡地区白垩系下沟组K1g13地震反射特征[剖面位置见图 11(a)] Fig. 2 Seismic reflection characteristics of K1g13 of Cretaceous Xiagou Formation in Ya'erxia area |
|
下载eps/tif图 图 11 鸭儿峡地区白垩系下沟组K1g13溶蚀带及有利储层分布图 Fig. 11 The distribution of dissolution zone and favorable reservoirs of K1g13 of Cretaceous Xiagou Formation inYa'erxia area |
从扇体空间分布来看,近岸水下扇完全处于水下环境,没有岸上暴露标志,而扇三角洲则兼具水上氧化环境与水下还原环境,这是区别二者的重要鉴别标志。从钻井资料来看,虽然北部沉积体钻井较少,但所有井中K1g13均为灰色、浅灰色、灰绿色等还原色岩石,如柳北1、柳北2井,而东南部沉积体则大致以鸭K102—鸭556—鸭K103井为界,界线以东以棕红色、浅灰色等氧化色与还原色岩石共生,以氧化色为主,如鸭西113、鸭546井,界线以西则基本为还原色,如柳12、鸭西1井,反映出2种沉积体的空间分布差别。
从地震反射特征来看,东南部及北部物源均呈楔状体形态,垂向上表现为顶凸底平的丘状体,但东南部物源较北部物源延伸更远,东南部物源根部表现为杂乱反射,向湖方向逐渐变为较强的连续反射,北部物源则以杂乱反射为主,向湖方向与湖交界处出现少量连续反射,反映北部物源堆积更快,分选更差的特征(图 2),钻井资料显示,北部物源沉积体混杂堆积,结构成熟度明显较东南物源沉积体更差,与地震反射特征相符合。
综合判断,北部与东南部沉积体差异较明显,北部应为近岸水下扇沉积,东南部则为扇三角洲沉积。
2.2 扇三角洲相及沉积特征鸭儿峡地区白垩系扇三角洲沉积可分为扇三角洲平原、扇三角洲前缘、前扇三角洲3种亚相及水下分流河道、河口沙坝等8种微相(表 1)。
2.2.1 扇三角洲平原亚相研究区扇三角洲平原发育较局限,沉积物多为近源的氧化色岩石,可识别出辫状分流河道、泥石流、漫滩沉积3种微相。
辫状分流河道属于水上牵引流成因,由棕红色、杂色、灰绿色砾岩、含砾砂岩及砂岩构成,主体为砾岩,组成向上变细的正旋回,代表井如鸭546、鸭547、鸭西113井等。辫状分流河道砂砾岩在岩性特征上与重力流砂砾岩不同,其粒度偏细,颗粒支撑,砾石分选相对较好,填隙物主要为不等粒砂级颗粒,泥质含量低,沉积构造见正粒序[图 3(a)]、交错层理。测井曲线一般表现为中低幅(齿化)箱形—钟形[图 4(a)]。
|
下载eps/tif图 图 3 鸭儿峡地区下沟组K1g13沉积微相岩心特征 Fig. 3 The core features of microfacies of K1g13 of Cretaceous Xiagou Formation in Ya'erxia area (a)鸭547井,3 471.30 m,棕红色细砾岩,见3组正粒序,辫状分流河道;(b)鸭西1-1井,4 071.70 m,灰色细砾岩,见正粒序,水下分流河道;(c)鸭西1井,4 081.25 m,灰色中砾岩,正粒序,发育交错层理,水下分流河道;(d)柳10井,4 463.56 m,灰色细砂岩,浪成沙纹层理,河口沙坝;(e)鸭西116井,4 157.56 m,浅灰色粉砂岩,底部见波纹层理,前缘席状砂;(f)鸭西7井,4 335.86 m,灰黑色粉砂质泥岩,见水平层理,支流间湾;(g)柳北1井,3 830.97 m,黑灰色粗砾岩,磨圆、分选均差,主水道;(h)柳北2井,4 239.62 m,灰色含砾泥质粉砂岩,水道侧缘;(i)鸭西11井,3 846.50 m,黑色泥岩,滨浅湖泥岩;(j)柳9井,4 900.59 m,深灰色白云质泥岩,见水平层理,滨浅湖 |
|
下载eps/tif图 图 4 鸭儿峡地区白垩系下沟组K1g13沉积序列 Fig. 4 The sedimentary sequence of K1g13of Cretaceous Xiagou Formation in Ya'erxia area |
泥石流为灾变期形成的、位于水上的重力流沉积,由棕红色、褐色砂砾质泥岩、含砾泥岩、泥岩构成,砾石大小混杂、分选性差,以次棱角—次圆状为主,杂乱排列,岩心观察最大粒径可达10 cm,泥质杂基体积分数可达60%,颗粒多呈“漂浮”状,如鸭547井。沉积构造多为块状层理。泥石流沉积的底部常与下伏辫状分流河道沉积物呈明显的冲刷-侵蚀接触[图 4(a)]。测井曲线通常表现为中—高幅齿形。
漫滩沉积主要为棕红色、紫红色泥岩、粉砂岩或者二者的过渡形态,可见炭质泥岩。测井曲线常常呈低—中幅齿形[图 4(a)]。
2.2.2 扇三角洲前缘亚相扇三角洲前缘属于水下半还原-还原环境沉积体,是扇三角洲沉积的主体部分,主要识别出水下分流河道、河口沙坝、前缘席状砂及支流间湾等4种微相。
水下分流河道微相是扇三角洲平原亚相中辫状分流河道在水下的延伸部分,岩性较粗,主要由灰、灰绿色细砾、含砾砂岩及砂岩构成,分选及磨圆较辫状分流河道沉积更好,泥质杂基含量更低,它们组成向上变细的正旋回,单个旋回厚度一般为0.5~20.0 m。沉积构造可见正粒序[图 3(b)]、平行层理、交错层理[图 3(c)],如鸭西12、柳12井,河道底部见冲刷面构造。测井曲线总体呈中高幅箱形、钟形及多种复合微齿箱形[图 4(b)]。
河口沙坝微相主要见于扇三角洲前缘的前部,岩性为粉砂—中砂岩,分选、磨圆均较好,沉积序列表现为向上变粗的旋回,单个旋回多在0.2~ 10.0 m,见逆粒序、低角度交错层理及浪成沙纹层理[图 3(d)],如鸭西115、柳10井。测井曲线表现为中—高幅漏斗形或漏斗—箱形,齿化—微齿,顶部多为突变的逆粒序结构特征[图 4(b)]。
前缘席状砂为河口沙坝或水下分流河道冲刷改造再沉积形成。沉积物以灰色细砂岩、粉砂岩和灰色、深灰色泥岩互层为主。可见波纹层理[图 3(e)]、变形层理等,局部可见虫孔等生物扰动现象。成分成熟度及结构成熟度均较高。在测井曲线上,前缘席状砂由于砂泥互层,往往表现为中—低幅的指形[图 4(b)]。
支流间湾位于水下分流河道两侧,岩性以灰色、灰绿色泥岩、砂质泥岩及粉砂岩为主,见植物碎屑及水平层理[图 3(f)]。测井曲线为中—低幅齿形[图 4(b)]。
2.2.3 前扇三角洲亚相前扇三角洲沉积环境能量较弱,岩性以深灰色、黑灰色泥岩、粉砂质泥岩为主,发育水平层理,可见细砂岩或粉砂岩薄层。测井曲线表现为平直线形,局部夹微齿线形或低幅指形[图 4(b)],前扇三角洲沉积分布较窄,与湖相界限较模糊。
2.3 近岸水下扇相近岸水下扇主要发育在鸭儿峡地区北部,扇体展布范围相对较局限,可分为内扇、中扇、外扇等3种亚相及主水道、水道侧缘等4种微相(表 1)。
2.3.1 内扇亚相近岸水下扇内扇亚相位于近山口处,可识别出主水道和水道侧缘等2种微相。
主水道沉积物主要为砾岩、砂质砾岩和含砾砂岩。砾岩成分复杂、大小不等、杂乱分布,分选及磨圆均差,砾石间由泥、砂混杂支撑。砾岩底部见冲刷构造,可见砾岩—含砾砂岩—含砾泥岩的正粒序[图 4(c)],如鸭512井。测井曲线上表现为齿化或弱齿化的钟形或箱形,垂向上可见多个钟形或箱形的曲线组合。
水道侧缘沉积为洪水期水流溢出水道在水道间的沉积,沉积物主要为灰色、深灰色泥岩、粉砂质泥岩、含砾泥岩及粉砂岩。测井曲线表现为薄层的低幅平直或微齿化曲线[图 4(c)]。
2.3.2 中扇亚相中扇亚相是近岸水下扇沉积的主体,可进一步划分为辫状水道、辫状水道间等2种微相。
辫状水道是中扇最重要的沉积类型,其沉积物主要为杂基支撑的含砾砂岩和颗粒支撑的砾岩[图 3(g)],垂向层序表现为2种:细砾岩—含砾不等粒砂岩—(含砾)粉砂岩的正粒序[图 4(d)]、巨厚的块状砾岩相互叠置[图 4(e)],砾岩底部可见冲刷面,如柳北1、柳北2井。测井曲线呈齿化的箱形、钟形或者二者的复合形态。
辫状水道间主要是灰色、灰黑色粉砂岩、细砂岩、泥质粉砂岩[图 3(h)]及泥岩的不规律叠加。测井曲线特征类似于扇三角洲平原水道侧缘[图 4(e)]。
2.3.3 外扇亚相外扇亚相位于近岸水下扇的最前缘向湖盆沉积的过渡区。分布一般较窄,主要为深灰色、灰黑色或黑色泥岩夹中—薄层的细砂岩、粉砂岩,发育少量水平层理。测井曲线表现为稀疏的齿状或指状。
2.4 湖泊相研究区白垩系下沟组K1g13湖泊相发育,分布范围较大,沉积厚度多在100 m以上,可分为滨浅湖与半深湖等2种亚相(表 1)。
2.4.1 滨浅湖亚相通常情况下,滨湖与浅湖不易区分,因此统称为滨浅湖亚相。平面上滨浅湖主要围绕扇三角洲扇体外围分布,岩石类型主要为泥岩与白云岩两大类。泥岩类主要为灰色、深灰色、黑色泥岩[图 3(i)]、粉砂质泥岩,偶夹薄层粉砂岩、细砂岩[图 4(f)],砂岩成熟度高,发育水平、波状层理,如柳8井等。白云岩类以深灰色泥质白云岩、白云质泥岩为主[图 4(e)],夹少量白云质粉砂岩、泥质灰岩。可见水平层理[图 3(j)]及波状层理。
2.4.2 半深湖亚相半深湖亚相主要由半深湖泥及半深湖白云岩微相组成,以暗色泥岩和以白云质泥岩和泥质白云岩为代表的湖相“白烟型”喷流岩为主[17-19],发育水平层理。
3 沉积相展布特征白垩系下沟组K1g13沉积期,鸭儿峡地区接受东南部及北部物源入湖,形成扇三角洲—湖泊沉积体系及近岸水下扇—湖泊体系。从盆缘向盆地中心方向依次发育扇三角洲平原—扇三角洲前缘—前扇三角洲及近岸水下扇内扇—中扇—外扇。扇三角洲沿509断层展布,分布范围较广,其中以扇三角洲前缘为主要沉积亚相,分布于鸭K102—鸭556—鸭K103井以西,扇三角洲平原及前扇三角洲均较局限;近岸水下扇沿青北断层展布,发育范围较局限,主要以中扇及内扇为主,外扇相对不发育。
4 储层特征 4.1 岩石学特征扇三角洲储层岩性较为复杂,主要为灰色、棕红色中细砂岩、杂色砂砾岩构成。据9口井412个薄片分析数据统计表明,扇三角洲碎屑岩储层碎屑组分中石英体积分数一般为21.5%~73.6%,平均为43.2%,长石体积分数一般为1.2%~66.2%,平均为15.5%,岩屑体积分数为6.9%~74.4%,平均为40.1%,主要为长石岩屑砂岩及岩屑砂岩,其次为少量岩屑长石砂岩、长石砂岩[图 5(a)]。成分成熟度较低,分选以中等为主。砂岩颗粒磨圆度以次棱角—次圆状为主,结构成熟度低—中等。砂岩储层中的岩屑成分以灰色泥质板岩、千枚岩等塑性岩屑组合为主。泥质杂基体积分数一般小于5%,个别可达到20%。胶结物成分以泥(粉)晶白云石为主,其次为方沸石、石英次生加大及硬石膏。
|
下载eps/tif图 图 5 鸭儿峡地区白垩系下沟组K1g13岩石类型三角图 Fig. 5 Triangular diagram of rock types of K1g13 of Cretaceous Xiagou Formation in Ya'erxia area Ⅰ.石英砂岩;Ⅱ.长石石英砂岩;Ⅲ.岩屑石英砂岩;Ⅳ.长石砂岩;Ⅴ.岩屑长石砂岩;Ⅵ.长石岩屑砂岩;Ⅶ.岩屑砂岩 |
近岸水下扇储层岩性主要由灰色基调的砾岩、砂质砾岩、含砾砂岩构成,据3口井16块样品分析数据统计表明,近岸水下扇碎屑岩储层组分中石英体积分数为3.00% ~34.52%,长石体积分数为1.90%~49.76%,平均为10.2%,岩屑体积分数为35.7%~97.0%,平均为77.36%,主要为岩屑砂岩,其次为长石岩屑砂岩[图 5(b)]。岩石成分成熟度低,分选差—中等。砂岩颗粒磨圆以棱角状与次棱角状为主,结构成熟度低。岩屑成分以含有大量红色钾长石花岗岩岩屑组合为主,杂基体积分数一般小于5%。胶结物主要为泥(粉)晶白云石,少量硬石膏及菱铁矿。
4.2 储集空间类型及结构特征通过岩心观察、薄片、扫描电镜等资料分析,扇三角洲储集空间类型分为原生孔和次生孔两大类,以次生孔隙为主。原生孔主要为(残余)原生粒间孔[图 6(a)~(b)],占总孔隙的30.7%,次生孔隙主要包括粒间溶孔[图 6(c)]、粒内溶孔[图 6(d)]、铸模孔[图 6(e)],占总孔隙的65.4%,局部发育构造缝与溶蚀缝[图 6(f)],仅占总孔隙的3.9%。近岸水下扇储集空间类型以原生孔隙为主,占总孔隙的89.5%,主要为原生粒间孔,发育少量裂缝,占总孔隙的7.8%。
|
下载eps/tif图 图 6 鸭儿峡地区下沟组K1g13储集空间类型 Fig. 6 The reservoir space types of K1g13 of Cretaceous Xiagou Formation in Ya'erxia area (a)鸭597井,2 960.50 m,残余粒间孔,扫描电镜;(b)鸭西115井,4 239.7 m,粒间溶孔为主,局部发育原生粒间孔,单偏光;(c)鸭西12井,4 343.15 m,粒间溶孔,单偏光;(d)鸭西1井,4 015.05 m,粒内溶孔,单偏光;(e)柳10井,4 465.55 m,铸模孔,单偏光;(f)鸭西111井,3728.7 m,构造缝(左)与溶蚀缝(右),单偏光 |
通过毛管压力法,结合扫描电镜及铸体薄片等分析,鸭儿峡地区K1g13扇三角洲储层排驱压力为0.01~32.10 MPa,平均为1.62 MPa,喉道半径主要为0.01~70.00 μm,平均为1.078 μm,饱和度中值压力平均为4.62 MPa,最大进汞饱和度为50%~ 90%,平均退汞效率为31.6%。孔隙结构主要为细喉、微细喉,渗透性较差。近岸水下扇目的层储层排驱压力为0.01~39.20 MPa,平均为1.93 MPa,喉道半径为0.01~73.00 μm,平均为0.82 μm,饱和度中值压力平均为6.72 MPa,最大进汞饱和度为27.11%~ 89.23%,平均退汞效率为24.75%。
4.3 储层物性特征通过对10口井212块样品岩心物性数据分析表明,研究区下沟组K1g13扇三角洲孔隙度主要为0.66%~23.81%,平均为6.95%,渗透率为0.083~ 224.300 mD,平均为7.601 mD,属于特低孔、特低渗型储层。统计数据表明,目的层孔隙度与渗透率相关性(R)较好,呈指数关系(图 7),R2= 0.67,表明储层流体的运移通道主要受孔隙的影响,为孔隙型储层。通过3口井44块样品物性分析数据表明,研究区近岸水下扇目的层孔隙度主要为0.86%~ 9.87%,平均3.95%,渗透率为0.052~6.625 mD,平均为1.39 mD,孔、渗均明显低于扇三角洲。
|
下载eps/tif图 图 7 鸭儿峡地区白垩系下沟组K1g13储层孔隙度与渗透率关系 Fig. 7 Relationship between porosity and permeability of K1g13 of Cretaceous Xiagou Formation in Ya'erxia area |
前人对酒泉盆地鸭儿峡地区下白垩统有利储层的认识多局限于沉积砂体或特定的沉积相带的展布范围,但钻井资料表明,砂体发育区并非都发育油层,且同为水下分流河道砂体,却存在油井、低产油井甚至干井的不同。通过对研究区下白垩统K1g13储层物性分析发现,有利储层分布区主要受沉积微相及溶蚀作用双重控制,据此,开展研究区有利储层分布预测。
5.1 沉积微相与储层的关系为了明确沉积微相与储层的关系,通过13口井207块样品物性分析,对下沟组K1g13储层开展评价(表 2)。
|
|
下载CSV 表 2 鸭儿峡地区白垩系下沟组K1g13储层与沉积微相评价 Table 2 The reservoir and microfacies evaluation of K1g13 of Cretaceous Xiagou Formation in Ya'erxia area |
辫状分流河道微相属于牵引流成因,其内发育牵引流砂砾岩和砂岩,但由于距物源较近,结构成熟度较低,导致泥质含量较高,原生孔隙较少,孔隙类型以残余粒间孔为主[参见图 6(a)],体积分数一般小于4%,孔喉结构一般,物性较差,属于较差储层;泥石流微相属于重力流沉积,通常为泥、砂、砾混杂堆积,结构成熟度低,物性差,属于非储层;漫滩沉积微相主要为泥岩及粉砂岩沉积,统计显示孔隙度、渗透率均较低,为非储层;水下分流河道与河口沙坝主要发育砂砾岩与砂岩,由于经历较长距离搬运,分选与磨圆均较好,泥质含量降低,以后期溶蚀孔[参见图 6(c)~(e)]为主,见少量残余原生粒间孔[参见图 6(b)],孔隙连通性相对较好。压汞实验表明,其孔喉分选性较好,排驱压力小,毛管半径大,物性最佳,为较好储层;前缘席状砂微相内发育细砂岩与粉砂岩,粒度细,虽砂体结构成熟度较高,但岩性偏致密,原生孔隙相对较少,砂体薄,常与泥岩互层分布,为较差储层;支流间湾及前三角洲泥微相以泥岩为主,属于非储层。
近岸水下扇属于近物源沉积体,其沉积范围小,砂体分选与磨圆均较扇三角洲更差,泥质含量更高,原生孔隙更少。统计显示,除主水道及辫状水道物性稍好,属差—较差储层外,其他沉积相基本上属于非储层范畴。
统计表明,在河口沙坝与水下分流河道等2种较好储层中,由于分布位置不同,储层物性差异性明显,如向湖延伸较远的水下分流河道(鸭西12、柳12井)较延伸较近的水下分流河道(鸭西111井)物性更好,同理,更靠近开阔湖盆的河口沙坝(柳10、鸭西115井)较远离开阔湖盆的河口沙坝(鸭西2井)物性明显变好(表 3)。这就说明,沉积相并非影响有利储层分布的唯一控制因素。
|
|
下载CSV 表 3 鸭儿峡地区白垩系下沟组K1g13沉积微相与储层物性表关系 Table 3 Sedimentary microfacies and reservoir properties of K1g13 of Cretaceous Xiagou Formation in Ya'erxia area |
综上所述,扇三角洲为潜在有利储集体,沉积相带对有利储层具有一定的控制作用。
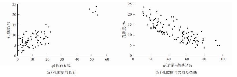
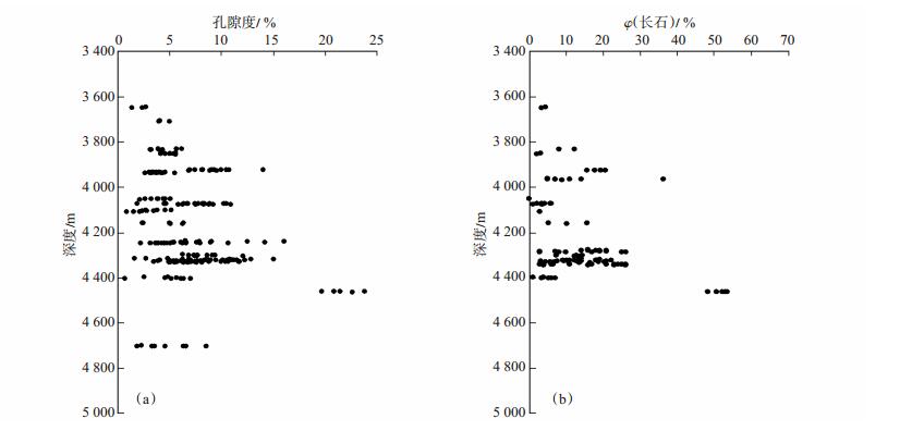
5.2 溶蚀带分布的影响通过岩心、薄片及扫描电镜等资料分析,发现研究区下沟组K1g13溶蚀作用明显,溶蚀孔洞是其主要储集空间类型。次生孔隙主要表现为长石、岩屑及碳酸盐岩胶结物的部分溶蚀甚至全部溶蚀,其中主要为长石溶蚀导致,碳酸盐岩胶结物及岩屑溶蚀孔对储层物性影响相对较小。分析表明,孔隙度与长石具有较好的相关性[图 8(a)],呈线性关系,R2=0.78,表明长石为主要溶蚀介质,其含量分布将在很大程度上影响溶蚀孔隙的分布范围;岩屑及杂基是研究区目的层主要岩石成分,体积分数最高可达90.2%,二者不易与有机酸反应,在一定程度上抑制了溶蚀作用的进行,从岩屑及杂基含量与孔隙度关系图[图 8(b)]可以看出,孔隙度与岩屑含量呈明显的负相关关系,R2=0.657。这就表明,岩屑与杂基含量也是影响溶蚀作用的重要因素之一。统计显示,次生孔隙带在垂向上主要分布于埋深3 900~ 4 500 m[图 9(a)],对应有机质成熟阶段(0.6%<Ro<0.9%),也恰与研究区生烃门限深度(4 000 m)相匹配[20],此时有机质处于大量生烃排酸阶段,且该深度段对应长石含量高值段[图 9(b)],大量有机酸与长石作用是造成强烈溶蚀的重要原因。
|
下载eps/tif图 图 8 鸭儿峡地区白垩系下沟组K1g13储层孔隙度与岩石成分关系图 Fig. 8 Relationship between porosity and rock composition of K1g13 of Cretaceous Xiagou Formation in Ya'erxia area |
|
下载eps/tif图 图 9 鸭儿峡地区白垩系下沟组K1g13储层孔隙度(a)和长石(b)含量垂向变化 Fig. 9 Vertical variation of porosity(a)and feldspar content(b)of K1g13 of Cretaceous Xiagou Formation in Ya'erxia area |
通过对13口井115块样品的长石含量统计,编绘出研究区长石含量等值线图[图 10(a)]。从图 10(a)可以看出,长石主要分布于东南与东北等2个地区,以东南地区为主,长石含量从东至西逐渐增高,体积分数最高可达53.6%,这就表明长石含量顺物源方向逐渐增大,与常理不符。初步分析造成这一现象的原因是:扇三角洲沉积初期,沉积物含有大量岩屑、杂基等细粒组分,而沉积物搬运过程中,水流对沉积物的分选速度远远大于长石的风化速度,造成长石的相对含量不降反升。
|
下载eps/tif图 图 10 鸭儿峡地区白垩系下沟组K1g13溶蚀单因素分布图 Fig. 10 The isograms of dissolution single factor of K1g13 of Cretaceous Xiagou Formation in Ya'erxia area |
通过对11口井285块样品的岩屑与杂基含量统计,编绘出研究区岩屑与杂基含量等值线图[图 10(b)]。从图 10(b)可以看出,岩屑与杂基含量从东至西逐渐降低,东北近岸水下扇物源短,分选更差,岩屑与杂基含量总体更高。
通过对29口井K1g13底界深度统计,编绘出研究区目的层埋深等值线图[图 10(c)]。从图 10(c)可看出,目的层扇三角洲前缘主体部位深度主要为3 800~4 500 m,与溶蚀孔隙发育深度对应情况良好。
通过对11口井259块样品的孔隙度统计,编绘出研究区目的层孔隙度分布等值线图[图 10(d)]。从图 10(d)可以看出,孔隙度从东至西逐渐增大,扇三角洲平原主体部位孔隙度均在5%以上,最大可达23.8%。
通过研究区长石含量、岩屑与杂基含量、埋深分布及孔隙度等因素,结合构造因素综合分析,预测出有利溶蚀带分布范围[图 11(a)]。从图 11(a)中可以看出,溶蚀区东以鸭西10—鸭西112—鸭西1-1—鸭西116井为界,西以鸭西115—柳12—柳10井为界,主要分布于扇三角洲前缘向湖泊一侧,主要沉积微相为水下分流河道及河口沙坝,其次是前缘席状砂,而近物源一侧虽同属于水下分流河道及河口沙坝等微相,但因距物源近、分选差、泥质含量高等导致溶蚀作用不明显。
综合分析优势沉积微相、溶蚀带分布范围及构造因素,得出鸭儿峡地区白垩系下沟组K1g13有利储层分布区[图 11(b)]。从图 11(b)可以看出,优势储层区东以鸭西1-1—鸭西116井为界,西以鸭西115—柳10井为界,南至鸭西5井,北至鸭西112井,沉积相为近湖方向的水下分流河道与河口沙坝微相。从以上分析可以看出,有利储层分布并非仅受沉积微相范围控制,而是多因素控制的结果。
6 结论(1)酒泉盆地鸭儿峡地区白垩系下沟组K1g13除发育扇三角洲—湖泊沉积体系外,北部发育近岸水下扇—湖泊沉积体系,其中以扇三角洲—湖泊体系为主。两大沉积体系可进一步识别出8种亚相、16种微相。
(2)扇三角洲为鸭儿峡地区优势储集体分布区,沉积相带对有利储层具有一定的控制作用。有利储层沉积相为近湖方向的水下分流河道与河口沙坝微相,向湖方向的前缘席状砂及靠物源方向的水下分流河道等微相则储层物性明显变差,属于较差储层。
(3)鸭儿峡地区目的层溶蚀作用主要受长石含量、岩屑与杂基含量、深度等因素的影响,K1g13溶蚀带东以鸭西10—鸭西112—鸭西1-1—鸭西116井为界,西以鸭西115—柳12—柳10井为界。
(4)有利储层受沉积相带展布及溶蚀带展布双重控制。鸭儿峡地区有利储层区东以鸭西1-1—鸭西116井为界,西以鸭西115—柳10井为界,南至鸭西5井,北至鸭西112井。
致谢研究过程中得到了中国石油勘探开发研究院西北分院邓毅林、张光伟,玉门油田勘探开发研究院方国玉等的指导和帮助,参加本次研究的还有沈宇葳、张楠、高翔、向鑫及董震宇,在此一并表示谢意!
| [1] |
文华国, 郑荣才, 叶泰然, 等.
酒西盆地青西凹陷下白垩统沉积特征与有利勘探区预测. 沉积与特提斯地质, 2005, 25(4): 71–77.
WEN H G, ZHENG R C, YE T R, et al. 2005. Sedimentary characteristics of the Lower Cretaceous strata and prediction of the favorable exploration areas in the Qingxi Depression, Jiuxi Basin, Gansu. Sedimentary Geology and Tethyan Geology, 2005, 25(4): 71-77. |
| [2] |
杨克荣, 赵谦平, 阿晓芸.
酒泉盆地青南次凹下沟组储集层沉积特征. 新疆石油地质, 2004, 25(3): 291–293.
YANG K R, ZHAO Q P, A X Y. 2004. The reservoir and sedimentary characteristics in Xiagou Formation of Lower Cretaceous in Qingnan hypo-sag, Jiuquan Basin. Xinjiang Petroleum Geology, 2004, 25(3): 291-293. |
| [3] |
孙成田, 王蓉, 周在华, 等.
酒泉盆地青西凹陷下白垩统储集层预测. 新疆石油地质, 2004, 25(3): 286–287.
SUN C T, WANG R, ZHOU Z H, et al. 2004. Prediction of Lower Cretaceous reservoir Qingxi Sag in Jiuquan Basin. Xinjiang Petroleum Geology, 2004, 25(3): 286-287. |
| [4] |
潘荣, 朱筱敏, 王星星, 等.
深层有效碎屑岩储层形成机理研究进展. 岩性油气藏, 2014, 26(4): 73–80.
PAN R, ZHU X M, WANG X X, et al. 2014. Advancement on formation mechanism of deep effective clastic reservoir. Lithologic Reservoirs, 2014, 26(4): 73-80. |
| [5] | SCHMIDT V, MCDONALD D A. The role of secondary porosity in the course of sandstone diagenesis//SEHOLLE P A, SCHLUGER P R. Aspects of diagenesis. Tulsa:SEPM Special Publication 26, 1979:175-207. |
| [6] | SURDAM R C, BOESE S W, CROSSEY L J. The chemistry of secondary porosity:part 2. Aspects of porosity modification subject group:reservoirs-sandstones. AAPG Memoir 37, 1984:127-149. |
| [7] | SURDAM R C, CROSSEY L J, HAGEN E S, et al. 1989. Organicinorganic interactions and sandstone diagenesis. AAPG Bulletin, 1989, 73(1): 1-23. |
| [8] |
苗建宇, 祝总祺, 刘文荣, 等.
济阳坳陷下第三系温度、压力与深部储层次生孔隙的关系. 石油学报, 2000, 21(3): 36–40.
MIAO J Y, ZHU Z Q, LIU W R, et al. 2000. Relationship between temperature-pressure and secondary pores of deep reservoir in Eogene of Jiyang Depression. Acta Petrolei Sinica, 2000, 21(3): 36-40. DOI:10.7623/syxb200003007 |
| [9] |
李义军.
浅述次生孔隙的成因. 西北地质, 2002, 35(1): 65–69.
LI Y J. 2002. The discussion about the genesis of induced porosity. Northwestern Geology, 2002, 35(1): 65-69. |
| [10] |
张以明, 侯方浩, 方少仙, 等.
冀中饶阳凹陷下第三系沙河街组第三段砂岩次生孔隙形成机制. 石油与天然气地质, 1994, 15(3): 208–215.
ZHANG Y M, HOU F H, FANG S X, et al. 1994. Secondary pore formation mechanism of third member of Shahejie Formation, Raoyang Depression. Oil & Gas Geology, 1994, 15(3): 208-215. DOI:10.11743/ogg19940304 |
| [11] |
杨香华, 叶加仁, 周士科, 等.
成岩动力学分析与深部储层孔隙预测. 现代地质, 1998, 12(1): 108–114.
YANG X H, YE J R, ZHOU S K, et al. 1998. Analysis of diagenetic dynamics and porosity prediction of deep-buried reservoir. Geoscience, 1998, 12(1): 108-114. |
| [12] |
李涛, 杨克荣, 韩小松, 等.
酒泉盆地鸭西地区白垩系岩性油藏控制因素分析. 岩性油气藏, 2010, 22(增刊2): 14–17.
LI T, YANG K R, HAN X S, et al. 2010. Analysis on controlling factors of Cretaceous lithologic reservoirs in Yaxi area of Jiuquan Basin. Lithologic Reservoirs, 2010, 22(Suppl 1): 14-17. |
| [13] |
朱筱敏, 查明, 张卫海, 等.
陆西凹陷上侏罗统近岸水下扇沉积特征. 石油大学学报(自然科学版), 1995, 19(1): 1–6.
ZHU X M, ZHA M, ZHANG W H, et al. 1995. Sedimentary features of Upper Jurassic nearshore subaqueous fan in Luxi Depression. Journal of the University of Petroleum, China(Edition of Natural Science), 1995, 19(1): 1-6. |
| [14] |
张萌, 田景春.
"近岸水下扇"的命名、特征及其储集性. 岩相古地理, 1999, 19(4): 42–52.
ZHANG M, TIAN J C. 1999. The nomenclature, sedimentary characteristics and reservoir potential of nearshore subaqueous fans. Sedimentary Facies and Palaeogeography, 1999, 19(4): 42-52. |
| [15] |
董艳蕾, 朱筱敏, 耿晓洁, 等.
泌阳凹陷东南部核桃园组近岸水下扇与扇三角洲沉积特征比较及控制因素分析. 石油与天然气地质, 2015, 36(2): 271–279.
DONG Y L, ZHU X M, GENG X J, et al. 2015. Sedimentary characteristics comparison and controlling factors analyses of nearshore subaqueous fan and fan delta in the Hetaoyuan Formation of southeastern Biyang Sag. Qil & Gas Geology, 2015, 36(2): 271-279. DOI:10.11743/ogg20150212 |
| [16] |
庞军刚, 杨友运, 蒲秀刚.
断陷湖盆扇三角洲、近岸水下扇及湖底扇的识别特征. 兰州大学学报(自然科学版), 2011, 47(4): 18–23.
PANG J G, YANG Y Y, PU X G. 2011. Identification characteristics of fan delta, nearshore subaqueous fan and sublacustrine fan in fault trough lake basin. Journal of Lanzhou University(Natural Sciences), 2011, 47(4): 18-23. |
| [17] |
郑荣才, 王成善, 朱利东, 等.
酒西盆地首例湖相"白烟型"喷流岩——热水沉积白云岩的发现及其意义. 成都理工大学学报(自然科学版), 2003, 30(1): 1–8.
ZHENG R C, WANG C S, ZHU L D, et al. 2003. Discovery of the first example of "white smoke type" of exhalative rock(hydrothermal sedmentary dolostone)in Jiuxi Basin and its significance. Journal of Chengdu University of Technology(Science & Technology Edition), 2003, 30(1): 1-8. |
| [18] |
范铭涛, 杨麟科, 方国玉, 等.
青西凹陷下白垩统湖相喷流岩成因探讨及其意义. 沉积学报, 2003, 21(4): 560–564.
FAN M T, YANG L K, FANG G Y, et al. 2003. Origin of lacustrine hydrothermal sedimentary rock(Lower Cretaceous)in Qingxi Sag and its significance. Acta Sedimentologica Sinica, 2003, 21(4): 560-564. |
| [19] |
傅饶, 郑荣才, 常海亮, 等.
湖相"白烟型"喷流岩——新型的致密油储层类型——以准噶尔盆地西缘乌尔禾地区风城组为例. 岩性油气藏, 2015, 27(3): 32–42.
FU R, ZHENG R C, CHANG H L, et al. 2015. Lacustrine "white smoke type" exhalative rock-a new type of tight oil reservoir:a case study from Lower Permian Fengcheng Formation in Urho area, western margin of Junggar Basin. Lithologic Reservoirs, 2015, 27(3): 32-42. |
| [20] |
陈建平, 陈建军, 张立平, 等.
酒西盆地油气形成与勘探方向新认识(二)——烃源岩成烃演化与主力油源确认. 石油勘探与开发, 2001, 28(2): 15–18.
CHEN J P, CHEN J J, ZHANG L P, et al. 2001. New opinions on oil and gas generation and exploration in Jiuxi Basin(Ⅱ)-determination of process of hydrocarbon generating and the principal oil source rock. Petroleum Exploration and Development, 2001, 28(2): 15-18. |
2017, Vol. 29

