岩性油气藏  2017, Vol. 29 Issue (5): 97-105       PDF    
×
基于分形特征的碳酸盐岩储层孔隙结构定量评价
刘航宇, 田中元, 徐振永    
中国石油勘探开发研究院, 北京 100083
摘要: 伊拉克W油田Mishrif组巨厚孔隙型生屑灰岩为强非均质性储层,孔隙结构评价难度较大。结合薄片、孔渗试验和压汞毛管压力曲线资料,使用分形理论研究储层孔隙结构,建立了以分形维数定量评价孔隙型生屑灰岩储层孔隙结构的方法和标准。该储层孔隙结构分形特征可分为2类,第1类储层孔隙结构整体具有显著的“单段型”分形特征;第2类储层孔隙结构整体分形特征不显著,但其较大孔喉系统和较小孔喉系统各自具有显著的分形特征,即“多段型”分形特征。分形维数能够反映孔隙型灰岩孔隙结构的复杂程度和非均质性,分形维数越大,孔隙结构越复杂;压汞毛管压力和含水饱和度分段越多,孔隙结构非均质性越强。利用孔隙结构分形维数的分区性对储层进行分类,同一类样品压汞毛管压力曲线的相似性验证了分形维数分类结果的合理性。Ⅰ类与Ⅱ类储层多对应“多段型”分形特征,Ⅲ类与Ⅳ类储层多对应“单段型”分形特征。该研究成果对相同类型碳酸盐岩储层孔隙结构定量评价具有指导意义。
关键词: 孔隙型灰岩      孔隙结构      分形特征      压汞毛管压力      储层分类     
Quantitative evaluation of carbonate reservoir pore structure based on fractal characteristics
LIU Hangyu, TIAN Zhongyuan, XU Zhenyong     
Petrochina Research Institute of Petroleum Exploration and Development, Beijing 100083, China
Abstract: Pore structure of large scale porous limestone reservoir with strong heterogeneity is very complex, so it is difficult to evaluate its pore structure of Mishrif Formation of W oilfield in Iraq. Based on thin section observation, porosity and permeability test and mercury injection capillary pressure test, fractal theory was applied to quantitative pore structure evaluation, and the pore fractal dimension criterion for reservoir type classification was established. There are two types of reservoir pore structure fractal characteristics. Some samples called "single segment" perform obvious fractal character overall. Others called "multiple segments" have distinct large pore throat system and small pore throat system which perform unique fractal characters respectively while have no uniform fractal character overall. The complexity and heterogeneity of pore structure of porous limestone can be reflected by fractal dimension, the greater the fractal dimension, the more complex pore structure, and the more conspicuous segmental character in the relationship between capillary pressure and water saturation, the stronger the heterogeneity. The samples were classified based on the fractal dimension combined with porosity and permeability distribution of the samples. The majority of type Ⅰ-Ⅱ and type Ⅲ-Ⅳrespectively corresponded to "multiple segments" and "single segment" fractal characteristics. It has an important guiding significance for the quantitative evaluation of pore structure to similar carbonate reservoir.
Key words: porous limestone      pore structure      fractal characteristics      capillary pressure      reservoir classification     
0 引言

孔隙结构直接控制储层的储集和渗流特性,影响储层的产油气能力[1],是油气富集规律研究、储层评价、开发方案编制的基础,因此成为碳酸盐岩储层微观特征研究的核心内容[2-4]。碳酸盐岩沉积过程受生物作用、化学作用和机械作用共同控制[5],多种多样的成岩作用加剧了碳酸盐岩储层的复杂程度[6-8],使之呈现出岩性、岩相多变,非均质性强,孔渗关系复杂等特征,仅凭孔渗参数已无法满足精确描述、表征碳酸盐岩储层的需求[9-11]。因此,只有从孔隙结构研究入手,才能从成因机理上把握储层油气富集与生产规律,为优质碳酸盐岩储层的预测及油气产能的提高提供技术支撑[12-14]

目前,国内外研究碳酸盐岩孔隙结构的常见方法有2类。第1类是室内实验法,其中铸体薄片、扫描电镜观察和CT扫描等方法可以定性或定量描述储层微观孔隙结构静态特征[15-16],但是研究尺度小,与储层宏观产能吻合程度较低;毛管压力曲线法(压汞法、离心法、半渗透隔板法等)以孔隙结构对流体渗流作用的响应过程为基础,定量评价孔隙结构,是目前评价孔隙结构最有效的方法。第2类是测井方法,其中核磁测井T2谱特征研究孔隙结构的方法已经较为成熟,应用广泛[17-19]。一些学者探索了以电阻率测井、声波测井等评价孔隙结构的方法并获得了一定的认识[20-22]。测井方法具有纵向连续性好、成本较低的优点,但研究精度低,不确定性较高。

分形几何是20世纪70年代末期发展起来的描述事物不规则形态和随机现象的一个新兴数学分支学科[23]。分形是对具有自相似性的不规则结构和构型的总称,这种结构的特征是局部与整体以某种方式相似,定量描述这种具有自相似性的研究对象的参数称为分形维数[24]。分形理论现今在地质学领域得到了较为广泛的应用[25-26],近年来,众多学者研究认为毛管压力分形维数可以定量表征碎屑岩储层孔隙结构的复杂程度,可用于储层分类和评价,分形维数越大,碎屑岩孔隙结构越复杂,越不利于油气渗流[27-29],但对于比碎屑岩非均质性更强、孔隙结构更复杂的碳酸盐岩,分形理论在其孔隙结构定量评价方面的应用,目前鲜有报道。

伊拉克W油田位于伊拉克巴士拉市西北大约50 km,构造上属于美索不达米亚平原东南部[30]。白垩系Mishrif组碳酸盐岩是W油田主要含油层系,地层厚度为240 m,沉积环境为典型的碳酸盐岩镶边台地相,岩性主要为生物碎屑灰岩,储集空间以多种类型的孔隙为主。Mishrif组从上到下可分为CRI段、mA段、CRII段、mB1段、mB2段和mC段,平均孔隙度为19.3%,平均渗透率为38 mD,平均含油饱和度为73%,为典型的中高孔、中低渗储层。受沉积环境和成岩作用控制,储层非均质性强,孔渗相关关系差,孔隙结构复杂多样。以W油田孔隙型生物碎屑灰岩储层为例,探索碳酸盐岩孔隙结构分形特征,以期丰富碳酸盐岩孔隙结构的评价方法。

1 孔隙结构分形原理

压汞过程中,在排驱压力作用下,汞先进入较大的孔喉,随着压力增大,汞逐渐进入较小的孔喉,不同压力对应不同的孔喉半径。例如,当压力为Pa对应的孔喉半径为ra时,此时岩石的湿相饱和度代表岩石中孔喉半径大于ra的孔喉占岩石总孔喉的体积比。因此,可根据毛管压力和湿相饱和度二者的关系,得出表征孔隙结构的分形维数[31-32]。以毛管压力曲线为资料,采用分形理论研究储层孔隙结构的方法称为MIFA法[28],具体的数学推导过程如下。

根据分形几何原理,若储层孔喉半径分布符合分形结构,则储层中孔喉半径大于r的孔隙数目N(> r)与r有如下幂函数关系[33]

$ N\left( { > r} \right) = \int_r^{{{\rm{r}}_{\max }}} {P\left( r \right)} {\rm{d}}r = a{r^{ - D}} $ (1)

式中:r为孔喉半径,μm;rmax为最大孔喉半径,μm;P(r)为孔喉半径分布密度函数;a为比例常数;D为孔隙分形维数。

对式(1) 中的r求导, 可得到孔喉半径分布密度函数P(r)的表达式

$ P\left( r \right) = \frac{{{\rm{d}}N\left( { > r} \right)}}{{{\rm{d}}r}} = - D\;a\;{r^{ - D - 1}} $ (2)

根据体积计算公式,对式(2) 进行积分,可得到储层中孔喉半径小于r的孔隙累积体积V( < r)的表达式

$ {V_1}\left( { > r} \right) = \int_{{r_{\max }}}^{\rm{r}} {P\left( r \right)} \alpha {r^3}{\rm{d}}r = \frac{{ - Da\alpha }}{{\left( {3 - D} \right)}} = \left( {{r^{3 - D}} - {r_{\min }}^{3 - D}} \right) $ (3)

式中:α为与孔隙形状有关的常数,当孔隙为立方体时,α = 1,当孔隙为球体时,$ \alpha = \frac{{4{\rm{\pi }}}}{3} $rmin为最小孔喉半径,μm。

同理,储层的总孔隙体积V2

$ {V_2} = \frac{{ - Da\alpha }}{{\left( {3 - D} \right)}} = \left( {{r_{\max }}^{3 - D} - {r_{\min }}^{3 - D}} \right) $ (4)

将式(3)~(4) 代入下式,可得到孔隙半径小于r的累积孔隙体积的分数表达式

$ S = \frac{{{V_1}}}{{{V_2}}} = \frac{{{r^{3 - D}} - {r_{\min }}^{3 - D}}}{{{r_{\max }}^{3 - D} - {r_{\min }}^{3 - D}}} $ (5)

式中:S为储层中湿相饱和度,%。

由于$ {r_{\min }} \ll {r_{\max }} $$ {r_{\min }} \ll r $,上式可简化为

$ S = {\left( {\frac{r}{{{r_{\max }}}}} \right)^{3 - D}} $ (6)

根据油藏岩石毛管压力公式[34]

$ {P_c} = \frac{{2\delta \cos \theta }}{r} $ (7)

式中:Pc为与孔喉半径r相对应的毛管压力,MPa;σ为液体的表面张力,mN/m;θ为液体与岩石的接触角,(°)。将式(7) 代入式(6),可得

$ S = {\left( {\frac{{{P_{\min }}}}{{{P_c}}}} \right)^{3 - D}} $ (8)

式中:Pmin为与最大孔喉半径rmax相对应的毛管压力,MPa。

由式(8) 可知,如果岩石孔隙结构符合分形特征,则储层中的湿相饱和度与毛管压力之间应满足幂函数关系。对式(8) 两端取对数,可得到

$ \lg S = \left( {3 - D} \right)\lg {P_{\min }} + \left( {D - 3} \right)\lg {P_c} $ (9)

由式(9) 可知,湿相饱和度与毛管压力在双对数坐标系下为一条直线,直线的斜率为D-3,据此可以得到岩石孔隙的分形维数D

2 样品及其孔隙结构分形特征

伊拉克W油田Mishrif组灰岩的岩性与岩相均较复杂,取5口取心井138块样品作为分析资料。样品岩性有厚壳蛤砾屑灰岩、生屑灰岩、亮晶生屑灰岩、泥晶生屑灰岩、生屑泥晶灰岩等,孔隙度为3.1%~29.7%,渗透率为0.002~814.000 mD。样品岩性、物性覆盖面广,具有普遍性,能够代表Mishrif组灰岩不同类型的岩石。

根据孔隙结构分形维数的适用条件,验证138块样品的压汞毛管压力资料是否符合分形特征,即含水饱和度(研究区储层为水润湿)与压汞毛管压力在双对数坐标系下是否为一条显著的直线[24]。统计发现在双对数坐标系下,含水饱和度与压汞毛管压力的关系存在如下2种关系。

(1) 一部分样品的含水饱和度与压汞毛管压力在双对数坐标系下具有显著的直线关系。如2井373号样品[图 1(a)],直线判定系数为0.996 5,说明孔隙结构整体具有“单段型”分形特征;其孔喉大小分布较集中,呈明显的单峰形态,表明其微观孔隙结构非均质性弱。268井57号样品[图 1(b)],含水饱和度与压汞毛管压力在双对数坐标系下同样具有显著的直线关系,判定系数为0.993 0,孔隙结构整体具有分形特征;其孔喉大小分布范围较宽,呈似单峰特征,孔喉结构非均质性一般。含水饱和度与压汞毛管压力具有显著的直线关系的样品共计95个,占研究样品的68.8%,拟合直线判定系数为0.992 8~0.998 2,平均为0.995 8。这类样品的孔隙结构特征是:孔喉大小呈单峰型和似单峰型分布,孔隙结构非均质性一般,与碎屑岩储层分形特征具有相似性。

下载eps/tif图 图 1 含水饱和度与压汞毛管压力直线关系及孔喉半径分布特征 Fig. 1 Linear relationship between capillary pressure and water saturation, and the distribution of pore throat radius

(2) 另一部分样品的含水饱和度和压汞毛管压力在双对数坐标系下不具有显著的线性关系,即孔隙结构整体不具有分形特征,但可以划分为多个孔喉系统,各自具有显著的分形特征,即“多段型”分形特征。对比其孔喉大小分布发现,这部分样品孔隙结构较为复杂,孔喉大小呈明显的双峰、三峰和多峰分布,微观孔隙结构非均质性强,反映了因碳酸盐岩沉积过程的复杂性和成岩作用的多样性而导致的孔隙结构的复杂性。这类样品共计43个,占研究样品的31.2%。

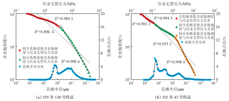
355井138号样品的含水饱和度和压汞毛管压力在双对数坐标系下拟合关系的判定系数较低,仅为0.896 4,说明样品孔隙结构整体上不具有显著的分形特征[图 2(a)],但是可以明显看出,含水饱和度与压汞毛管压力关系具有显著的分段性,两段拟合关系判定系数均较高,分别为0.984 1和0.990 6,分别代表了样品中较大孔喉和较小孔喉的分形特征,与该样品具有明显的双峰型孔喉分布特征相符合。低压段分布范围较小,对应较大孔喉半径段分布范围较窄部分,高压段分布范围较大,对应较小孔喉段分布范围较宽部分。

下载eps/tif图 图 2 含水饱和度与压汞毛管压力分段关系及孔喉分布特征 Fig. 2 Step-shaped relationship between capillary pressure and water saturation, and the distribution of pore throat radius

355井43号样品说明了同样的规律[图 2 (b)],含水饱和度与压汞毛管压力拟合关系判定系数为0.935 3,不具有显著的直线关系,因此整体不具有显著的分形特征,但是可以划分为3个直线段,拟合关系判定系数分别为0.993 3,0.994 5和0.998 4,即孔喉整体可以划分为大、中、小孔喉等3个部分,每个部分均具有显著的分形特征,与该样品三峰型孔喉大小分布特征相符合。这类样品的总体分形维数可取其不同孔喉段分形维数的算术平均值。

3 分形特征的地质意义及应用 3.1 孔隙结构分形特征的地质意义及基于孔隙结构分形的储层分类

根据前文FIMA方法原理,结合2类样品的分形特征,可计算出138块样品的分形维数。计算得知,Mishrif组碳酸盐岩孔隙结构分形维数为1.201~ 2.988。Krohn[32]通过扫描电镜图像分析研究,认为孔喉半径0.2~50.0 μm对应的分形维数为2.27~ 2.80;贺承祖等[33]认为孔喉半径0.4~18.0 μm对应的分形维数为2.41~2.79。本文研究碳酸盐岩样品数量多,孔喉半径最小可达0.026 μm,最大超过100 μm,因此分形维数范围更大。

研究发现,样品分形维数越小,储层孔隙结构越优,越有利于油气渗流。以研究区2个物性较好的样品(2井235号样品和268井82号样品)为例,其岩心分析孔隙度相同,均为24.4%,孔隙结构分形维数分别为1.65和2.39。按照前述规律,268井82号样品分形维数较大,则其孔隙结构越不利于油气渗流,因此其渗透率应低于2井235号样品。岩心实验结果显示,2井235号样品与268井82号样品的渗透率分别为201 mD和19 mD,从而验证了分形维数可以用于评价储层孔隙结构。

对于研究区中低孔、低渗的样品来讲,同样符合上述规律。以研究区355井65号样品与2井150号样品为例,其岩心分析孔隙度均为14.1%,孔隙结构分形维数分别为2.62和1.82,按照上述规律,2井150号样品孔隙结构应优于355井65号样品。岩心实验结果显示,2井150号样品渗透率为7.36 mD,355井65号样品渗透率为0.25 mD,再次验证了利用分形维数对碳酸盐岩孔隙结构特征定量评价的可靠性。

通过孔隙度、渗透率与孔隙结构分形维数之间的关系(图 3),发现储层物性与分形维数关系密切。孔隙度与分形维数之间虽无明显的线性相关性[图 3(a)],但当分形维数小于1.84时,岩石的孔隙度均大于20%;当分形维数大于2.71时,岩石的孔隙度均为4%~5%;随着分形维数增大,孔隙度具有减小的趋势。渗透率与分形维数之间的负相关关系较明显[图 3(b)],在半对数坐标系下,判定系数为0.671 3,随着分形维数增大,渗透率随之减小。因此分形维数越小,孔隙结构越好,物性越好。

下载eps/tif图 图 3 孔隙度(a)、渗透率(b)与分形维数的关系 Fig. 3 Relationship between porosity(a), permeability(b)and fractal dimension

通过分析压汞毛管压力特征参数与分形维数之间的关系,可以进一步验证分形维数的地质意义。排驱压力是非润湿相流体进入岩石最大孔喉所需压力,是非润湿相驱替润湿相的最小压力,孔喉半径中值代表了储层岩石的总体渗流能力。通过分析排驱压力、孔喉半径中值与分形维数的关系(图 4)可以得出,排驱压力与分形维数在半对数坐标系下呈明显的正相关性[图 4(a)],排驱压力越大,分形维数越大;孔喉半径中值与分形维数在半对数坐标系下呈明显的负相关性[图 4(b)],孔喉半径中值越小,分形维数越大。这说明岩石分形维数越小,最大连通孔喉半径越大,孔喉半径中值越大,储层品质越好。

下载eps/tif图 图 4 排驱压力(a)、孔喉半径中值(b)与分形维数的关系 Fig. 4 Relationship between displacement pressure(a), median pore throat radius(b)and fractal dimension

在孔隙度、渗透率、排驱压力、孔喉半径中值与分形维数的交会图上(图 3图 4),样品均表现出明显的分区性,相同分区,样品的孔渗、排驱压力和孔喉半径中值相近;不同分区,样品的孔渗、排驱压力和孔喉半径中值差异较大。分形维数从小到大,岩石的孔隙结构具有变好的趋势。因此可根据分形维数的大小将储层划分为孔隙结构由好变差的4种类型(表 1)。

下载CSV 表 1 根据分形维数进行的样品分类 Table 1 Samples classification according to fractal dimension
3.2 基于孔隙结构分形的储层分类合理性验证

压汞毛管压力曲线是依据油藏岩石的压汞毛细管力与润湿相饱和度的关系构建的。曲线形态主要取决于孔喉半径的大小、分选等孔隙结构参数,被广泛应用于储层孔隙结构研究,并被众多学者验证了其在储层类型划分中的合理性。因此,如果储层孔隙结构相似,那么其压汞毛管压力曲线的形态和排驱压力应当具有相似性。

根据研究区Mishrif组138块样品压汞毛管压力曲线,以上文分形维数划分的4种储层类型结果为依据,将所有样品压汞毛管压力曲线划分为对应的4类(图 5)。同种类型样品压汞毛管压力曲线形态相似,分布集中程度较高,从Ⅰ类到Ⅳ类样品,压汞毛管压力曲线从粗歪度到细歪度、差分选到好分选。其中,Ⅰ类样品排驱压力主要为0.007~0.069 MPa,Ⅱ类样品排驱压力主要为0.069~0.689 MPa,Ⅲ类样品排驱压力主要为0.345~6.205 MPa,Ⅳ类样品排驱压力主要为6.895~68.948 MPa。可以看出,同种类型样品,其压汞毛管压力曲线的形态和排驱压力均具有相似性,可满足划分为同种类型储层的基本条件,进一步验证了以分形维数评价碳酸盐岩储层孔隙结构的合理性。

下载eps/tif图 图 5 4类样品压汞毛管压力曲线集合 Fig. 5 Capillary pressure curves of four types of samples

统计得知,前文识别的“单段型”“、多段型”2类分形特征与4类储层具有一定的对应关系(图 6)。“多段型”分形特征样品,即孔喉大小分布呈双峰、多峰样品,多属于Ⅰ类和大部分Ⅱ类储层;“单段型”分形特征样品,即单峰型样品多属于Ⅲ类、Ⅳ类和少部分Ⅱ类储层。分析认为,因受沉积环境和成岩作用控制,Ⅰ类、Ⅱ类储层含砾屑和生屑颗粒粒径变化大,泥质含量低,溶蚀作用强,导致其孔喉大小差异性较大,除管束状孔喉外,多发育孔隙缩小部分构成的粗孔喉[图 6(a)],微观孔隙结构非均质性强,对应图 5中Ⅰ类和部分Ⅱ类储层压汞毛管曲线较差的分选性,因此具有“多段型”分形特征,而Ⅲ类、Ⅳ类和少部分Ⅱ类储层碎屑颗粒均较细、较均匀,泥质含量较高,溶蚀作用减弱,孔喉大小相对变化不大,以管束状微细孔喉为主[图 6 (b)~(c)],微观孔隙结构非均质性弱,对应图 6中Ⅲ类、Ⅳ类和部分Ⅱ类储层压汞毛管压力曲线较好的分选性,因此多具有“单段型”分形特征。

下载eps/tif图 图 6 W油田Mishrif组生物碎屑灰岩不同储层类型铸体薄片 (a)Ⅰ类储层,2井,2 317.53 m,厚壳蛤砾屑灰岩,分形维数为1.372,孔隙类型以粒间孔为主,喉道类型以孔隙缩小型为主,孔隙度为23.6%,渗透率为240.5 mD;(b)Ⅱ类储层,2井,2 331.76 m,含泥晶生屑灰岩,分形维数为1.896,发育粒间孔和较高比例的粒内孔和铸模孔,喉道类型以管束状为主,孔隙度为25.4%,渗透率为18.57 mD;(c)Ⅲ类储层,2井,2 379.08 m,泥晶生屑灰岩,分形维数为2.465,孔隙类型以粒内孔、铸模孔为主,含粒间孔,孔隙度为19.9%,渗透率为4.24 mD Fig. 6 Cast thin sections of Mishrif Formation carbonates
4 基于孔隙结构分形的储层综合评价

通过前文分析可知,对于孔隙型灰岩,分形维数具有明确的地质意义,可以定量表征孔隙结构的复杂程度和非均质性大小。因此,储层分形维数可以弥补单参数评价的不足,结合镜下薄片分析和压汞毛管压力资料,可对碳酸盐岩储层进行有效评价(表 2)。

下载CSV 表 2 基于孔隙结构分形特征的储层分类评价 Table 2 Quantitative classification and evaluation of reservoir based on fractal dimension

Ⅰ类储层。该储层孔隙结构分形维数小,为1.201~1.675,平均为1.497。储层岩性以礁滩相生屑灰岩、厚壳蛤砾屑灰岩为主,颗粒粒径较大,溶蚀作用强,孔隙类型以粒间孔为主,含铸模孔、粒内孔,微孔几乎不发育,喉道以孔隙缩小型为主,同时发育管束状喉道,孔喉半径差异大,微观孔隙结构非均质性强。孔喉连通性好,渗流能力强,排驱压力低,平均为0.03 MPa,平均孔喉半径大,多属于大孔-粗喉型。该类储层物性好,平均孔隙度为25.9%,平均渗透率为223.3 mD,储层物性指数高,属于高孔高渗的优质储层[参见图 6(a)]。

Ⅱ类储层。该储层孔隙结构分形维数较小,为1.729~2.138,平均为1.927。储层岩性以生屑灰岩、含泥晶生屑灰岩为主,溶蚀作用较强,颗粒粒径较小,孔隙类型以粒间孔、铸模孔和粒内孔为主,含微孔,喉道类型以管状喉道和孔隙缩小型喉道为主,孔喉大小差异较大,微观孔隙结构非均质性较强。孔喉连通性及渗流能力中等,排驱压力较低,平均为0.22 MPa,平均孔喉半径中等,储层物性指数中等,多属于中孔-中细喉型。该类储层物性中等,由于部分样品粒内孔、铸模孔等差连通性孔隙含量较高,多表现为高孔、低渗特征,平均孔隙度为23.6%,平均渗透率15.9 mD,属于较好储层[参见图 6(b)]。

Ⅲ类储层。该储层孔隙结构分形维数较大,为2.149~2.667,平均为2.435。储层岩性以泥晶生屑灰岩和生屑泥晶灰岩为主,泥质含量较高,溶蚀作用较弱,孔隙类型以粒内孔、铸模孔和微孔为主,粒间孔含量低。喉道类型以微细喉道为主,孔喉分布较均匀,微观孔隙结构非均质性较弱,孔喉连通性及渗流能力较差,排驱压力较高,平均为1.14 MPa,孔喉分布范围窄,平均孔喉半径较小,储层物性指数较小,多属于小孔-细喉型。该类储层物性较差,多表现为中高孔、低渗特征,平均孔隙度为18.2%,平均渗透率为3.1 mD,总体属于较差储层[参见图 6(c)],在该区储层中的分布频率最高。

Ⅳ类储层。该储层孔隙结构分形维数大,为2.705~2.988,平均为2.854。储层岩性以生屑泥晶灰岩和含生屑泥晶灰岩为主,泥质含量高,胶结作用较强,各类溶蚀孔隙多被方解石胶结物充填。孔隙类型以微孔为主,喉道类型以微细喉道为主,孔喉连通性及渗流能力均差,排驱压力高,平均为20.97 MPa,孔喉分布范围很窄,平均孔喉半径小,微观孔隙结构非均质性弱,储层物性指数小,属于微孔-微细喉型。该类储层物性最差,平均孔隙度为4.8%,平均渗透率0.02 mD,渗透率低于储层下限,为无效储层。

5 结论

(1) 伊拉克W油田Mishrif组孔隙型生屑灰岩孔隙结构分形特征具有2种类型,68.8%的样品与碎屑岩储层分形特征类似,整体具有显著的“单段型”分形特征,这类样品孔喉分布呈单峰型或似单峰型,孔隙结构非均质性中等;31.2%的样品孔隙结构整体不具有显著的分形特征,但是将其划分为不同范围大小的孔喉系统,这些孔喉系统各自具有显著的分形特征,即“多段型”分形特征,这类样品孔喉分布呈双峰、三峰和多峰型,孔隙结构非均质性较强。

(2) 孔隙结构分形维数能够表征孔隙型灰岩孔隙结构的复杂程度和非均质性强弱。分形维数越小,储层物性越好,孔喉连通性越好,越有利于油气渗流;反之,分形维数越大,越不利于油气渗流。根据物性、孔喉大小与分形维数的关系将储层分为4类。同种类型储层的压汞毛管压力曲线分布集中且相似性高,验证了利用分形维数进行储层分类的合理性。Ⅰ类与Ⅱ类储层多具有“多段型”分形特征;Ⅲ类与Ⅳ类储层多具有“单段型”分形特征。

(3) 结合薄片分析和压汞毛管压力曲线资料定量综合评价储层,建立了伊拉克W油田Mishrif组储层分类评价的分形维数标准,Ⅰ类储层分形维数为1.201~1.675,属优质储层,Ⅱ类储层分形维数为1.729~2.138,属较好储层,Ⅲ类储层分形维数为2.149~2.667,属较差储层,Ⅵ类储层分形维数为2.705~2.988,属无效储层。

参考文献
[1]
罗蛰潭, 王允诚. 油气储集层的孔隙结构. 北京: 科学出版社, 1986.
LUO Z T, WANG Y C. The pore structure of reservoir. Beijing: Science Press, 1986.
[2]
邓虎成, 周文, 郭睿, 等. 伊拉克艾哈代布油田中-下白垩统碳酸盐岩储层孔隙结构及控制因素. 岩石学报, 2014, 30(3): 801–812.
DENG H C, ZHOU W, GUO R, et al. 2014. Pore structure characteristics and control factors of carbonate reservoirs:the Middle-Lower Cretaceous formation, AI Hardy cloth Oilfield, Iraq. Acta Petrologica Sinica, 2014, 30(3): 801-812.
[3]
秦瑞宝, 李雄炎, 刘春成, 等. 碳酸盐岩储层孔隙结构的影响因素与储层参数的定量评价. 地学前缘, 2013, 20: 1–9.
QIN R B, LI X Y, LIU C C, et al. 2013. Infiuential factors of pore structure and quantitative evaluation of reservoir parameters in carbonate reservoir. Earth Science Frontiers, 2013, 20: 1-9.
[4]
郭振华, 李光辉, 吴蕾, 等. 碳酸盐岩储层孔隙结构评价方法——以土库曼斯坦阿姆河右岸气田为例. 石油学报, 2011, 32(3): 459–465.
GUO Z H, LI G H, WU L, et al. 2011. Pore texture evaluation of carbonate reservoirs in Gasfield A, Turkmenistan. Acta Petrolei Sinica, 2011, 32(3): 459-465. DOI:10.7623/syxb201103012
[5]
TUCKER M E, WRIGHT V P. Carbonate sedimentology. Malden: Blackwell Science, 1990.
[6]
MOORE C H. Carbonate diagenesis and porosity. Amsterdam: Elsevier, 1989.
[7]
MOORE C H, WADE W J. Carbonate reservoirs:porosity and diagenesis in a sequence stratigraphic framework. 2nd ed. Amsterdam: Elsevier, 2013: 67.
[8]
王瑞, 朱筱敏, 陈烨菲, 等. 滨里海盆地肯基亚克地区中、下石炭统碳酸盐岩储层特征与成岩作用. 石油与天然气地质, 2012, 33(2): 225–235.
WANG R, ZHU X M, CHEN Y F, et al. 2012. Diagenesis and reservoir characteristics of the Lower-Middle Carboniferous carbonates in Kenkyak area, Pre-Caspian Basin. Oil & Gas Geology, 2012, 33(2): 225-235. DOI:10.11743/ogg20120209
[9]
LUCIAF J. Carbonate reservoir characterization:an integrated approach. 2nd ed. Austin: Springer, 2007.
[10]
王小敏, 樊太亮. 碳酸盐岩储层渗透率研究现状与前瞻. 地学前缘, 2013, 20(5): 166–174.
WANG X M, FAN T L. 2013. Progress of research on permeability of carbonate rocks. Earth Science Frontiers, 2013, 20(5): 166-174.
[11]
WEGER R J, EBERLI G P, BAECHLE G T, et al. 2009. Quantification of pore structure and its effect on sonic velocity and permeability in carbonates. AAPG Bulletin, 2009, 93(10): 1297-1317. DOI:10.1306/05270909001
[12]
SALMAN S M, BELLAH S. 2009. Rock typing:an integrated reservoir characterization tool to construct a robust geological model in Abu Dhabi carbonate oil field. SPE 125498, 2009.
[13]
裘怿楠, 薛叔浩. 油气储层评价技术. 北京: 石油工业出版社, 1997.
QIU Y N, XUE S H. Appraisal technology of hydrocarbon reservoirs. Beijing: Petroleum Industry Press, 1997.
[14]
罗平, 裘怿楠, 贾爱林, 等. 中国油气储层地质研究面临的挑战和发展方向. 沉积学报, 2003, 21(1): 142–147.
LUO P, QIU Y N, JIAA L, et al. 2003. The present challenges of Chinese petroleum reservoir geology and research direction. Acta Sedimentologica Sinica, 2003, 21(1): 142-147.
[15]
郝乐伟, 王琪, 唐俊. 储层岩石微观孔隙结构研究方法与理论综述. 岩性油气藏, 2013, 25(5): 123–128.
HAO L W, WANG Q, TANG J. 2013. Research progress of reservoir microscopic pore structure. Lithologic Reservoirs, 2013, 25(5): 123-128.
[16]
白斌, 朱如凯, 吴松涛, 等. 利用多尺度CT成像表征致密砂岩微观孔喉结构. 石油勘探与开发, 2013, 40(3): 329–333.
BAI B, ZHU R K, WU S T, et al. 2013. Multi-scale method of Nano (Micro)-CT study on microscopic pore structure of tight sand stone of Yanchang Formation, Ordos Basin. Petroleum Exploration and Development, 2013, 40(3): 329-333. DOI:10.11698/PED.2013.03.09
[17]
刘晓鹏, 胡晓新. 近五年核磁共振测井在储集层孔隙结构评价中的若干进展. 地球物理学进展, 2009, 24(6): 2194–2201.
LIU X P, HU X X. 2009. Progress of NMR log in evaluating reservoir pore structure in the last five years. Progress in Geophysics, 2009, 24(6): 2194-2201.
[18]
李爱芬, 任晓霞, 王桂娟, 等. 核磁共振研究致密砂岩孔隙结构的方法及应用. 中国石油大学学报(自然科学版), 2015, 39(6): 92–98.
LI A F, REN X X, WANG G J, et al. 2015. Characterization of pore structure of low permeability reservoirs using a nuclear magnetic resonance method. Journal of China University of Petroleum (Edition of Natural Science), 2015, 39(6): 92-98.
[19]
肖飞, 何宗斌, 周静萍. 核磁共振测井连续表征储层孔隙结构方法研究. 石油天然气学报, 2012, 34(2): 93–97.
XIAO F, HE Z B, ZHOU J P. 2012. A research of successively characterizing reservoir pore structures with NMR logging data. Journal of Oil and Gas Technology, 2012, 34(2): 93-97.
[20]
VERWER K, EBERLI G P, WEGER R J. 2011. Effect of pore structure on electrical resistivity in carbonates. AAPG Bulletin, 2011, 95(2): 175-190. DOI:10.1306/06301010047
[21]
姜均伟, 朱宇清, 徐星, 等. 伊拉克H油田碳酸盐岩储层的孔隙结构特征及其对电阻的影响. 地球物理学进展, 2015, 30(1): 203–209.
JIANG J W, ZHU Y Q, XU X, et al. 2015. Pore structure characteristics of the carbonate reservoir and their influence on electric properties in H oilfield, Iraq. Progress in Geophysics, 2015, 30(1): 203-209. DOI:10.6038/pg20150131
[22]
倪国辉, 郭海峰, 徐星, 等. 碳酸盐岩复杂孔隙结构的测井识别和分类评价——以中东某油田H地层为例. 石油天然气学报(江汉石油学院学报), 2014, 36(1): 60–65.
NI G H, GUO H F, XU X, et al. 2014. Pore structure recognition and classification evaluation of complex carbonate reservoirs by using logging data:by taking H formation of an oilfield in the middle east for example. Journal of Oil and Gas Technology (Journal of Jianghan Petroleum Institute), 2014, 36(1): 60-65.
[23]
MANDELBROT B B. The fractal geometry of nature. New York: W. H. Freeman & Co., 1982.
[24]
张立强, 纪友亮, 马文杰, 等. 博格达山前带砂岩孔隙结构分形几何学特征与储层评价. 石油大学学报(自然科学版), 1998, 22(5): 31–33.
ZHANG L Q, JI Y L, MAW J, et al. 1998. Characteristics of fractional geometry and reservoir evaluation of fore mountain belt at Begedashan. Journal of the University of Petroleum, China(Edition of Natural Science), 1998, 22(5): 31-33.
[25]
李晓晖, 袁峰, 周涛发, 等. 新疆塔尔巴哈台-萨吾尔地区多重分形地球化学异常提取及成矿预测. 岩石学报, 2015, 31(2): 426–434.
LI X H, YUAN F, ZHOU T F, et al. 2015. Mineral prospectivity mapping and geochemical anomalies identification based on multifractal modeling in the Taerbahatai-Sawuer area, Xinjiang. Acta Petrologica Sinica, 2015, 31(2): 426-434.
[26]
王志伟, 卢双舫, 王民, 等. 湖相、海相泥页岩孔隙分形特征对比. 岩性油气藏, 2016, 28(1): 88–93.
WANG Z W, LU S F, WANG M, et al. 2016. Fractal characteristics of lacustrine shale and marine shale. Lithologic Reservoirs, 2016, 28(1): 88-93.
[27]
张宪国, 张涛, 林承焰. 基于孔隙分形特征的低渗透储层孔隙结构评价. 岩性油气藏, 2013, 25(6): 40–45.
ZHANG X G, ZHANG T, LIN C Y. 2013. Pore structure evaluation of low permeability reservoir based on pore fractal features. Lithologic Reservoirs, 2013, 25(6): 40-45.
[28]
马立民, 林承焰, 范梦玮. 基于微观孔隙结构分形特征的定量储层分类与评价. 石油天然气学报, 2012, 34(5): 15–19.
MA L M, LIN C Y, FAN M W. 2012. Quantitative classification and evaluation of reservoirs based on fractal features of micro-pore structures. Journal of Oil and Gas Technology, 2012, 34(5): 15-19.
[29]
赵明, 郁伯铭. 数字岩心孔隙结构的分形表征及渗透率预测. 重庆大学学报, 2011, 34(4): 88–94.
ZHAO M, YU B M. 2011. The fractal characterization of pore structure for some numerical rocks and prediction of permeabilities. Journal of Chongqing University, 2011, 34(4): 88-94. DOI:10.11835/j.issn.1000-582X.2011.04.017
[30]
邓亚, 郭睿, 田中元, 等. 碳酸盐岩储集层隔夹层地质特征及成因——以伊拉克西古尔纳油田白垩系Mishrif组为例. 石油勘探与开发, 2016, 43(1): 1–9.
DENG Y, GUO R, TIAN Z Y, et al. 2016. Geologic features and genesis of the barriers and intercalations in carbonates:a case study of the Cretaceous Mishrif Formation, West Qurna oil field, Iraq. Petroleum Exploration and Development, 2016, 43(1): 1-9.
[31]
PEREZ G, CHOPRA A K. 1997. Evaluation of fractal models to describe reservoir heterogeneity and performance. SPE 452260, 1997.
[32]
KROHN C E. 1988. Fractal measurements of sandstones, shales, and carbonates. Journal of Geophysical Research:Soild Earth, 1988, 93(B4): 3297-3305. DOI:10.1029/JB093iB04p03297
[33]
贺承祖, 华明琪. 储层孔隙结构的分形几何描述. 石油与天然气地质, 1998, 19(1): 17–23.
HE C Z, HUA M Q. 1998. Fractal geometry description of reservoir pore structure. Oil & Gas Geology, 1998, 19(1): 17-23.
[34]
冯其红, 崔传志, 王卫阳, 等. 油田开发与开采原理. 东营: 中国石油大学出版社, 2011: 32-33.
FENG Q H, CUI C Z, WANG W Y, et al. Principle of oilfield development and production. Dongying: China University of Petroleum Press, 2011: 32-33.