2. 中海石油研究总院有限责任公司, 北京 100028
2. CNOOC Research Institute Co., Ltd., Beijing 100028, China
自1978年Walker[1]在Normark[2]现代深海扇模式以及Mutti等[3]基于露头建立的古代海底扇模式基础之上提出综合海底扇模式以来,虽然存在广泛的争议[4],但许多学者对海底扇的沉积特征、成因机制、类型以及沉积模式等方面开展了大量的研究[5-9],取得了丰富的研究成果,为深入推动深水油气勘探发挥了重要作用。同时,海底扇的相关研究极大地促进了我国陆相盆地湖底扇研究进展。20世纪80年代,赵澄林等[10]将海底扇的研究成果引入到陆相湖盆中,在渤海湾盆地首次发现了湖底扇沉积并建立了湖底扇的沉积模式[11-14]。之后,国内学者对不同类型湖底扇沉积特征、主控因素、地球物理响应特征、油气成藏等方面开展了大量的研究[15-18],为我国各大含油气盆地岩性油气藏的勘探做出了重要贡献,然而,目前湖底扇的研究主要集中在断陷湖盆中,对于前陆盆地湖底扇的研究相对比较薄弱,对前陆盆地隆后坳陷区湖底扇的主控因素及沉积模式尚不清楚。
研究表明,塔里木盆地在三叠纪进入前陆演化阶段,塔北地区发育大面积隆后坳陷区[19-20],如轮南地区。该区是塔里木盆地重要的油气产区,克拉玛依组是其主力产层之一,然而目前主要关注TⅢ油组,对TⅡ油组勘探不足。为此,笔者利用研究区10口井岩心、110口井的钻井和测井、5口井的分析化验以及5 000 km2三维地震等资料,采用“点-线-面”相结合的方法对该层段湖底扇沉积特征进行系统分析,并探讨隆后坳陷区湖底扇主控因素及沉积模式,以期为该区油气勘探提供思路,并丰富湖底扇沉积理论。
1 地质概况塔里木盆地是一个大型复合盆地,被天山、阿尔金山及昆仑山围绕,受周缘活动造山带的影响,具有复杂的构造演化历史[21]。三叠纪是该盆地构造演化的重要转折期,由于南缘古特提斯洋的强烈俯冲,区域应力场由伸展环境逐渐向挤压环境过渡,塔里木盆地进入前陆演化阶段。盆地北部发育库车前陆坳陷,新和地区形成前缘隆起,而面积广大的台盆区则发育大面积隆后坳陷区[19]。轮南地区位于塔里木盆地北部,北与新河前缘隆起相邻,南为满加尔坳陷,东西分别为草湖凹陷和哈拉哈塘凹陷[图 1(a)],是塔里木盆地的重要油气产区。三叠系是该区重要的油气产层,自下而上可划分为下三叠统俄霍布拉克组、中三叠统克拉玛依组和上三叠统黄山街组,其中克拉玛依组发育2套储盖组合,自下而上分别为TⅢ和TⅡ油组,而黄山街组仅发育TⅠ油组1套储盖组合[图 1(b)],每个油组的厚度均为100~200 m[22],研究区内有3块三维地震数据,总面积约5 000 km2,地震频带10~90 Hz,主频40 Hz,另有10口井岩心、110口井的钻井和测井及5口井的分析化验资料,这为揭示TⅡ油组发育的湖底扇沉积特征及沉积模式提供了良好条件。
|
下载eps/tif图 图 1 轮南地区位置及三叠系综合柱状图 Fig. 1 Location map and Triassic sedimentary sequence column of Lunnan area |
湖底扇是湖盆中以重力流搬运方式堆积在深水区的粗碎屑扇形体[1],因此在分析沉积物成因时,重力流为主的搬运方式以及深水环境是识别湖底扇的2个标志[11, 23]。通过岩心观察和粒度分析,结合录井、测井以及三维地震反射特征,对轮南地区克拉玛依组TⅡ油组沉积特征进行鉴别,识别出典型的富砂型湖底扇沉积。
2.1 岩性和沉积构造特征10口井岩心观察的结果表明,轮南地区南部TⅡ油组岩性主要为深灰色、棕灰色或灰色砾质粗砂岩、含砾粗砂岩以及中粗砂岩,局部见灰色、灰黑色细砂岩、泥质粉砂岩或泥岩(图 2)。含砾砂岩中砾石成分复杂,粒径相差悬殊,分选差,具典型的杂基支撑结构。在沉积构造方面,TⅡ油组发育典型的重力流沉积构造,类型多样(图 2),主要有递变层理、块状层理以及变形层理,局部发育小型沙纹层理,鲍马序列常见,但大多数发育不完整。这些典型的沉积构造特征是识别湖底扇沉积的重要标志。岩性序列垂向上常见自下而上由含砾粗砂岩、粗砂岩、中砂岩逐渐向细砂岩和泥岩过渡的正旋回序列,多期正旋回序列相互叠置组成叠覆砂岩相,由多个AB或ABC段的鲍马序列构成,如YT2井和AT1井(图 3)。这与Lowe[24]提出的高密度砂砾质浊流沉积特征相似,为典型的重力流水道沉积。
|
下载eps/tif图 图 2 塔北轮南地区克拉玛依组TⅡ油组湖底扇沉积岩心相特征 (a)棕灰色砾质粗砂岩,递变层理,补给沟道,YT2井,4 378.5 m;(b)灰色泥岩及泥质粉砂岩,变形层理,堤岸,YT2井,4 382.2 m;(c)灰色含砾粗砂岩,递变层理,辫状沟道,AT1井,4 261.3 m;(d)灰色含砾砂岩,块状层理,辫状沟道,GP4井,4 178.1 m;(e)棕色中粗砂岩,块状层理,辫状沟道,AT2井,4 262.3 m;(f)棕灰色中粗砂岩,块状层理,辫状沟道,GP3井,4 258.l m;(g)灰色泥岩,块状层理,沟道间,AT1井,4 265.1 m;(h)棕灰色粉细砂岩,沙纹层理,远源浊积扇,AT2井,4 223.5 m Fig. 2 Core features of sublacustrine fan facies of TⅡ oil group of Karamay Formation in Lunnan area |
|
下载eps/tif图 图 3 塔北轮南地区克拉玛依组TⅡ油组湖底扇垂向序列特征 Fig. 3 Sequence characteristics of sublacustrine fan of TⅡ oil group of Karamay Formation in Lunnan area |
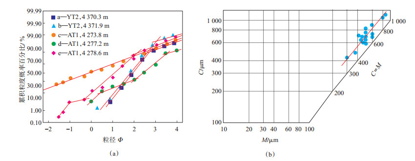
粒度概率累积曲线是分析沉积相最常用的手段,30个样品粒度分析结果表明轮南地区TⅡ油组粒度分布主要有3种类型,均反映了典型的重力流沉积特征[图 4(a)]。
|
下载eps/tif图 图 4 塔北轮南地区克拉玛依组TⅡ油组湖底扇粒度概率累积曲线(a)和C-M图(b) Fig. 4 Grain size probability curves(a)and C-M diagram(b)of sublacustrine fan of TⅡ oil group of Karamay Formation in Lunnan arean |
(1)单段式。粒度概率累积曲线为一条低斜率的直线段,斜率倾角为20°~25°[图 4(a)c]。粒度Φ值跨度大,为-1.5~4.0,悬浮总体占主导地位,滚动总体与跳跃总体相对不发育,反映沉积物以悬浮搬运方式为主,是重力流沉积的典型特征,这与北部湾盆地涠西南凹陷涠E-1 S-2井湖底扇沉积的粒度概率曲线十分相似[25]。
(2)两段式。由跳跃总体和悬浮总体组成,不含滚动总体,其中以跳跃总体为主,跳跃总体倾角为45°~50°,悬浮总体倾角一般小于20° [图 4(a)a,b],具有重力流向牵引流转换的特点,表现阵发性的沉积特征,这类似于松辽盆地英台—他拉哈地区青一、二段湖底扇的粒度概率累积曲线特征[14]。
(3)多段式。由多条低斜率短直线段构成,斜率倾角一般小于30°,粒度Φ值跨度可大可小[图 4(a)d,e],反映能量动荡背景下不稳定的重力流特征。同时,重力流尾部曲线斜率明显大于重力流头部,且跳跃总体含量逐渐增加,反映了重力流作用后期能量衰减,逐渐向牵引流过渡,沉积物分选逐渐变好的特点,济阳坳陷惠民凹陷沙三段—东营组的湖底扇沉积也具有此特点[12]。
此外,在C-M图上[图 4(b)],本区TⅡ油组湖底扇样品点群平行于C = M线分布,且随着水流强度的减弱,C值和M值减小,反映了递变悬浮的特征,具有典型的重力流特征。
2.3 钻测井特征由研究区南部YT2井—GP4井的连井相剖面可知[图 5(a)],TⅡ油组层段测井曲线具有微齿化线型-箱型或钟形-微齿化线型的组合特点,揭示其岩性为大套的粗粒碎屑沉积夹于厚层的半深湖—深湖暗色泥岩中,且这些粗碎屑沉积在岩心上具有典型重力流的特征(参见图 2),整体表现为半深湖—深湖相-湖底扇相-半深湖—深湖相的沉积组合。
|
下载eps/tif图 图 5 塔北轮南地区克拉玛依组TⅡ油组湖底扇典型井震特征 Fig. 5 Well logs and seismic reflection characteristics of sublacustrine fan of TⅡ oil group of Karamay Formation in Lunnan area |
此外,不同相带的湖底扇测井响应明显不同[图 5(a)],内扇亚相主要由厚层块状含砾粗砂岩和中粗砂岩组成,测井曲线以高幅箱型为主,界面曲线形态顶、底突变,反映大规模的湖底扇补给水道,如YT2井;中扇亚相以中粗砂岩为主,夹少量薄层砾岩,测井曲线以钟形为主,多期辫状水道垂向上相互叠加,具典型的正粒序,如AT2井;外扇临近半深湖—深湖相,沉积环境稳定,由细粒粉细砂岩夹于半深湖—深湖泥岩中构成,因而外扇的测井曲线形态常呈指状或低幅微齿化线型的组合,如GP4井。
2.4 地震反射特征本区湖底扇以深灰色或棕灰色砾质粗砂岩、含砾粗砂岩以及灰色中粗砂岩为主,局部见细砂岩,砂体的顶底与上覆以及下伏厚层泥岩接触,这种砂泥岩的空间配置关系在地震剖面上响应特征明显,可形成明显的波阻抗反射界面。
前述的岩心资料揭示,YT2井重力流特征明显[参见图 2(a)~(b)],而从轮南地区连片三维地震数据体提取出的TⅡ油组均方根振幅属性图[图 5(b)]中可以看出YT2井附近具有典型的下切弯曲水道,与东黑海盆地以及赤道几内亚陆架边缘海底扇峡谷水道的地震反射特征极为相似[8, 26],这进一步证实了本区发育典型的湖底扇。此外,结合岩心和钻测井资料,属性图上强振幅区对应于砂岩发育区,参照Reading等[5]关于海底扇的分类方案,本区湖底扇类型为多物源供给的富砂型湖底扇。
从与上述连井相剖面相对应的地震反射剖面[图 5(c)]中可以发现湖底扇发育区地震反射特征十分明显,在整体呈弱中振幅中高连续地震反射的背景下,内扇补给水道呈两头尖灭的中强振幅透镜状或短轴状地震反射,该类型地震相主要发育在研究区南部YT1—AT1井区的下切水道发育区。中扇辫状水道则呈中强振幅长轴状地震反射,连续性很好,但同相轴向北部逐渐变细,并在局部地区尖灭,该类型反射主要发育于AT1井以南的广大地区。
3 湖底扇沉积特征 3.1 沉积相类型参照Walker [1]的海底扇相带划分,结合10口井岩心、110口井的钻测井、30个分析化验及5 000 km2三维地震资料的详细分析,将本区的湖底扇划分为内扇、中扇和外扇3种亚相类型,每一种亚相类型又包括多种微相,微相具有明显不同的识别标志。
3.1.1 内扇内扇亚相靠近物源供给区,处于半深湖—深湖区边部,可以进一步划分为补给水道和堤岸2个微相。补给水道微相顺倾向方向下切,下切幅度较大,可达数十米,水道宽约380~1 200 m。单期水道砂体厚度几米到十几米,多期水道常相互叠置,岩性以杂基支撑或颗粒支撑含砾粗砂岩和粗砂岩组成,发育递变层理和块状层理,粒度概率累积曲线呈典型的两段式,以跳跃总体为主,悬浮组分较辫状河三角洲水下分流河道略高。测井曲线呈高幅箱型或钟形,常夹于厚层低幅微齿化线型曲线中。地震平面图上见下切曲流水道特征,剖面呈两头尖灭的中强振幅透镜状或短轴状地震反射[图 5(c)]。研究区YT2井中发育典型的补给水道沉积[参见图 3(a)]。堤岸亚相发育于补给水道[参见图 2(a)]两侧,为水道漫溢沉积的产物,其岩性明显偏细,由粉细砂岩和薄层泥岩互层组成,厚度薄,通常小于10 m,发育变形层理,测井曲线以低幅指状或齿状为主,夹于高幅箱型或钟型曲线中,地震上响应于中振幅弱连续地震反射特征[图 5(c)]。
3.1.2 中扇中扇亚相发育于补给水道前方,是湖底扇的主体部分,砂体分布最广,厚度也最大,本区中扇亚相可以识别出辫状水道和水道间2种沉积微相类型。辫状水道是中扇亚相的主体,岩性以杂基支撑或颗粒支撑的块状中粗砂岩为主,砾石含量较补给水道少,底部冲刷面常见,垂向上多期辫状水道常相互叠置组成叠覆砂岩相,由多个AB或ABC段的鲍马序列构成[参见图 3(b)]。其沉积构造类型丰富,常见递变层理、块状层理或槽状交错层理,粒度概率累积曲线以单段式或多段式为主,反映重力流的典型特征,测井曲线响应于厚层微齿化高幅度箱型或钟形,地震上响应于中强振幅中高连续的地震反射。区内AT1井和AT2井等多口钻井钻遇典型的辫状水道微相。水道间微相常发育于辫状水道之间,岩性以泥岩为主,夹薄层粉细砂岩,韵律特征不明显,偶见鲍马序列的CDE或DE段,发育水平层理和块状层理。由于辫状水道的冲刷侵蚀改造,水道间保存难度大,厚度较薄。测井曲线对应于低幅度微齿化或齿化线型,地震上响应于弱中振幅弱连续性地震反射[参见图 3(b)],[图 5(c)]。
3.1.3 外扇外扇亚相发育于湖底扇的最前端,靠近正常的深水湖泊相,本区仅识别出远源浊积岩1种微相类型,以粉细砂岩为主,常夹于厚层暗色泥岩中,单层厚度较薄,可见鲍马序列的CDE或DE段,发育沙纹层理和水平层理,测井曲线呈低幅度指状,夹于平直微齿状或线型曲线之间[图 3(b)],反映其处于水深较大的沉积环境中[图 2(h)],地震上则响应于中振幅短轴状地震反射[图 5(c)]。
3.2 沉积相平面展布特征本区富砂型湖底扇与厚层湖相泥岩之间波阻抗差异显著,砂泥岩界限在地震上响应于强振幅高连续的地震反射,地震属性能较好的反映湖底扇的平面分布特征。参照高分辨率连片三维区均方根振幅属性,且利用10口井岩心和110口井钻测井资料,通过分析其岩电组合和旋回特征,并结合砂岩厚度及砂岩百分比含量的分析成果,对轮南地区克拉玛依组TⅡ油组湖底扇平面展布特征进行分析(图 6)。
|
下载eps/tif图 图 6 轮南地区克拉玛依组TⅡ油组湖底扇平面展布特征 Fig. 6 Distributary characteristics of sublacustrine fan of TⅡ oil group of Karamay Formation in Lunnan area |
TⅡ油组沉积时期,轮南地区古地貌具有北陡南缓的特征,此时构造活动强烈,物源供给充足,来自西北部和东北部的物源对研究区内沉积相展布特征具有明显的控制作用,辫状河三角洲大面积发育,两者在研究区中南部交汇。由于受到古地形的影响,辫状河三角洲前缘砂体越过坡折带侵蚀下切,形成补给水道,并通过补给水道以线物源供给的方式向研究区南部提供粗粒沉积物。由于补给稳定,供给量充足,形成大规模湖底扇,其中补给水道主要发育在YT1—YT6—T754井区与S112-1— AT1—JN3井区之间,而辫状水道则主要分布在S112-1—S114—AT1—AT2—GP3—JN3井区与AT4— AT3—AT7—GP4—AT14—AT12井区之间南部的大部分区域,且辫状水道相互叠置,连片分布,而水道间沉积则零星分布于辫状水道之间。
4 讨论 4.1 主控因素刘招君[11]对断陷湖盆湖底扇的研究表明,洪水重力流和滑塌重力流是湖底扇的2种重要成因机制,它的形成与断裂活动、地形坡度、物源供给、气候以及水深等因素密切相关[23]。塔里木盆地轮南地区克拉玛依组TⅡ油组湖底扇具备滑塌重力流的成因机制,是西北部和东北部辫状河三角洲前缘砂体重力失稳形成下切水道,并经水道不断向深水区搬运堆积而成,其发育受到了前陆盆地幕式构造活动、古地貌以及物源供给等多个因素的控制。
三叠纪时期塔里木盆地受到强烈挤压作用,进入前陆盆地演化阶段,而前陆盆地具有幕式活动的特征。在TⅡ油组沉积时期,天山造山带再次活动,导致前陆坳陷沉降以及前缘隆起的隆升,早期地层遭受剥蚀,提供大量物源[27]。由于三角洲受到持续高强度建设作用的影响,在前缘形成斜坡,当达到一定坡度时,诱发砂体重力失稳沿着坡折带向下下切,形成补给水道,从而导致湖底扇的形成。该时期本区辫状河三角洲持续的供给则保证了这种触发机制的稳定性,形成了刘招君[11]提出的稳定型湖底扇。
古地貌对湖底扇的发育具有明显的控制作用,通过采用回剥法对古地貌的恢复表明,TⅡ油组沉积时期,轮南地区整体地势相对平坦,但在南部发育一个向南倾斜的低角度坡折带(图 7),为重力流的形成提供了坡度背景。在坡折带之下,古冲沟继承性发育形成补给水道,辫状河三角洲前缘的砂体则顺着补给水道经过长距离搬运进入半深湖—深湖区堆积起来,形成沿坡折带分布的富砂湖底扇。同时,由于坡折带宽缓,使得湖底扇在平面上相分异特征明显,各种亚相微相类型容易识别(图 6)。
|
下载eps/tif图 图 7 塔北轮南地区克拉玛依组TⅡ油组沉积古地貌特征 Fig. 7 Paleogeomorphology characteristics of TⅡ oil group of Karamay Formation in Lunnan area |
此外,湖底扇的岩性、物性以及规模则受到了物源供给的影响[18]。克拉玛依组TⅡ油组的湖底扇来源于西北部和东北部辫状河三角洲前缘的砂体,物源供给充足,为湖底扇的发育提供了良好的物质基础,并最终导致由砾状砂岩、含砾粗砂岩以及中粗砂岩等组成的前缘砂体经过二次搬运堆积形成规模大、沉积物分选中等的富砂型湖底扇。
4.2 沉积模式通过分析轮南地区TⅡ油组沉积特征,建立了隆后坳陷区湖底扇发育模式(图 8)。一次幕式的挤压构造活动,导致造山带隆升,前陆坳陷沉降,前缘隆起初始隆升,相对湖平面下降,隆后坳陷区形成大型挤压坳陷湖盆。此时,前缘隆起提供大量物源,形成辫状河三角洲,三角洲前缘砂体快速推进至湖盆坡折带附近。当达到一定坡度时,砂体重力失稳沿着坡折带下切,补给水道初始形成,开始为湖底扇提供少量物源。当相对湖平面进一步下降,大量物源通过多条下切水道搬运至盆地底部形成规模巨大的湖底扇。另外,部分砂体沿着坡折带向下滑动,形成滑塌碎屑流沉积。当相对湖平面上升时,物源供给条件相对减弱,补给水道搬运沉积物的能力下降,湖底扇也逐渐停止发育。在平面上,内扇补给水道微相主要发育于坡折带之上,堤岸微相位于补给水道两侧,中扇辫状水道微相则位于坡折带之下的盆地区,与补给水道相连,外扇则位于湖底扇的最外侧,与深湖相沉积相邻。
|
下载eps/tif图 图 8 隆后坳陷区湖底扇发育模式图 Fig. 8 Model of sublacustrine fan in the backbulge zone |
勘探实践表明,三角洲前缘滑塌形成的浊积体可作为有利储层,尤其是可以在断陷盆地中形成一定规模储量的岩性油气藏[28],而浊积砂体的形成与分布则与三角洲前缘沉积物组成、沉积物供给量、盆底地形等因素密切相关[29-31]。塔北轮南地区三叠系克拉玛依组湖底扇分布面积约840 km2,具有良好的油气勘探前景。湖底扇的砂岩储层是早期的辫状河三角洲前缘砂体经过再次远距离搬运而成,具有较好的分选条件,杂基含量相对较低。同时,其被半深湖—深湖相泥岩包围,侧向封堵条件良好,呈透镜状尖灭,可形成良好的岩性圈闭,这对目前构造圈闭已基本钻探完毕的轮南地区具有非常重要的意义。此外,在湖底扇中扇辫状水道上钻探的AT1井4 258.5~4 262.1 m井段的有效孔隙度为23%~26%,渗透率为227~3 753 mD;AT2井4 247.1~4 250.5 m井段的有效孔隙度为18%~ 24%,渗透率为26~1 163 mD,储层物性良好,且已获得工业油流[图 5(a)],显示了该区湖底扇具有较大的油气勘探潜力。
5 结论(1)塔里木盆地轮南地区克拉玛依组TⅡ油组发育典型的富砂型湖底扇,其在岩心、粒度分析、测井及地震上响应特征明显,并发育3种亚相和5种微相类型。
(2)塔里木盆地轮南地区湖底扇为滑塌重力流成因,是西北部和东北部两大物源体系提供的辫状河三角洲前缘砂体堆积坡度较陡,重力滑塌形成补给水道,并经补给水道搬运堆积于深水湖泊中作用的结果,前陆盆地的幕式构造活动、古地貌背景以及物源供给等因素共同控制其发育。
(3)对于前陆盆地隆后坳陷区,一次幕式的挤压构造活动导致造山带隆升,前陆坳陷沉降,前缘隆起隆升遭受剥蚀,提供大量物源,使得三角洲前缘砂体快速推进至隆后坳陷区湖盆坡折带附近,当前缘砂体堆积到一定坡度时,砂体重力失稳沿着坡折带下切,补给水道形成。同时由于物源持续供给,在盆地底部发育大型湖底扇。
(4)塔里木盆地轮南地区湖底扇具备形成大型岩性圈闭的有利条件,已钻探井喜获工业油流,储层物性好,勘探潜力大,可作为岩性油气藏勘探的有利勘探目标。
| [1] |
WALKER R G. Deep-water sandstone facies and ancient submarine fans:Models for exploration for stratigraphic traps. AAPG Bulletin, 1978, 62(5): 239-263. |
| [2] |
NORMARK W R. Turbidite elements and the obsolescence of the suprafan concept. Giornale di Geologia, 1991, 53(2): 1-10. |
| [3] |
MUTTI E, RICCI L F R. Turbidites of the northern Apennines:Introduction to facies analysis. International Geology Review, 1972, 20(2): 125-166. |
| [4] |
SHANMUGAM G. 50 Years of the turbidite paradigm(1950 s-1990 s):Deep-water processes and facies models-a critical perspective. Marine and Petroleum Geology, 2000, 17(2): 285-342. DOI:10.1016/S0264-8172(99)00011-2 |
| [5] |
READING H G, RICHARDS M. Turbidite systems in deep-water basin margins classified by grain size and feeder system. AAPG Bulletin, 1994, 78(5): 792-822. |
| [6] |
RICHARDS M, BOWMAN M, READING H. Submarine fan systemsⅠ:characterization and stratigraphic prediction. Marine and Petroleum Geology, 1998, 15(7): 689-717. DOI:10.1016/S0264-8172(98)00036-1 |
| [7] |
MATTERN F. Ancient sand-rich submarine fans:depositional systems, models, identification, and analysis. Earth Science Reviews, 2005, 70(3): 167-202. |
| [8] |
SIPAHIOGLU N O, KARAHANOGLU N, ALTINER D. Analysis of Plio-Quaternary deep marine systems and their evolution in a compressional tectonic regime, eastern Black Sea Basin. Marine and Petroleum Geology, 2013, 43: 187-207. DOI:10.1016/j.marpetgeo.2013.02.008 |
| [9] |
ZAKARIA A A, JOHNSON H D, JACKSON C A L, et al. Sedimentary facies analysis and depositional model of the Paleogene West Crocker submarine fan system, NW Borneo. Journal of Asian Earth Sciences, 2013, 76: 283-300. DOI:10.1016/j.jseaes.2013.05.002 |
| [10] |
赵澄林, 刘孟慧. 湖底扇相模式及其在油气预测中的应用. 华东石油学院学报, 1984(4): 4-15. ZHAO C L, LIU M H. Facies model of the sublake-fan and its application to oil and gas exploration. Journal of East China Petroleum Institute, 1984(4): 4-15. |
| [11] |
刘招君. 湖泊水下扇沉积特征及影响因素——以伊通盆地莫里青断陷双阳组为例. 沉积学报, 2003, 21(1): 148-154. LIU Z J. Lacustrine subaqueous fan sedimentary characteristics and influence factors-a case study of Shuangyang formation in Moliqing fault subsidence of Yitong basin. Acta Sedimentologica Sinica, 2003, 21(1): 148-154. DOI:10.3969/j.issn.1000-0550.2003.01.024 |
| [12] |
袁静, 杜玉民, 李云南. 惠民凹陷古近系碎屑岩主要沉积环境粒度概率累积曲线特征. 石油勘探与开发, 2003, 30(3): 103-107. YUAN J, DU Y M, LI Y N. Probability cumulative grain size curves in terrigenous depositional environments of the Paleogene in Huimin Sag. Petroleum Exploration and Development, 2003, 30(3): 103-107. DOI:10.3321/j.issn:1000-0747.2003.03.028 |
| [13] |
崔周旗, 李莉, 王宏霞, 等. 霸县凹陷古近系深层砂岩储层特征与岩性油气藏勘探. 岩性油气藏, 2017, 29(2): 51-58. CUI Z Q, LI L, WANG H X, et al. Characteristics of deep sandstone reservoirs and lithologic reservoir exploration of Paleogene in Baxian Sag. Lithologic Reservoirs, 2017, 29(2): 51-58. DOI:10.3969/j.issn.1673-8926.2017.02.007 |
| [14] |
欧阳雪琪, 王亮, 刘峰, 等. 中非BG盆地BN区块下白垩统湖底扇沉积特征. 岩性油气藏, 2016, 28(3): 86-94. OUYANG X Q, WANG L, LIU F, et al. Seismic characteristics of Lower Cretaceous sublacustrine fan in BN block of BG basin, Central Africa. Lithologic Reservoirs, 2016, 28(3): 86-94. DOI:10.3969/j.issn.1673-8926.2016.03.012 |
| [15] |
陆金波, 王英民, 张雷, 等. 阿克库勒地区三叠系湖底扇沉积及其主控因素. 中国石油大学学报(自然科学版), 2011, 35(2): 12-17. LU J B, WANG Y M, ZHANG L, et al. Sedimentary characteristics and main controlling factors of sublacustrine fans of Triassic in Akekule area. Journal of China University of Petroleum, 2011, 35(2): 12-17. DOI:10.3969/j.issn.1673-5005.2011.02.003 |
| [16] |
王建功, 王天琦, 张顺, 等. 松辽坳陷盆地水侵期湖底扇沉积特征及地球物理响应. 石油学报, 2009, 30(3): 361-365. WANG J G, WANG T Q, ZHANG S, et al. Sedimentary characteristics and geophysical response of sublacustrine fan during transgress period in Songliao Basin. Acta Petrolei Sinica, 2009, 30(3): 361-365. DOI:10.3321/j.issn:0253-2697.2009.03.007 |
| [17] |
吴海波, 李军辉, 刘赫. 海拉尔盆地乌尔逊-贝尔凹陷层序构成样式及油气成藏模式. 岩性油气藏, 2015, 27(5): 155-160. WU H B, LI J H, LIU H. Sequence architecture pattern and hydrocarbon accumulation model of Lower Cretaceous in WuerxunBeier depression, Hailaer Basin. Lithologic Reservoirs, 2015, 27(5): 155-160. DOI:10.3969/j.issn.1673-8926.2015.05.026 |
| [18] |
魏洪涛. 辽中凹陷北部东二下亚段湖底扇沉积数值模拟及应用. 岩性油气藏, 2015, 27(5): 183-188. WEI H T. Numerical simulation of sublacustrine fan deposition of lower Ed2 Formation and its application in northern Liaozhong Depression. Lithologic Reservoirs, 2015, 27(5): 183-188. DOI:10.3969/j.issn.1673-8926.2015.05.031 |
| [19] |
唐武, 王英民, 张雷, 等. 塔里木盆地三叠系隆后坳陷区层序地层特征. 中国矿业大学学报, 2013, 42(6): 1015-1024. TANG W, WANG Y M, ZHANG L, et al. Sequence stratigraphic characteristics of Triassic back-bulge zone in Tarim Basin. Journal of China University of Mining & Technology, 2013, 42(6): 1015-1024. DOI:10.3969/j.issn.1000-1964.2013.06.020 |
| [20] |
唐武, 王英民, 仲米虹. 隆后坳陷区三角洲沉积特征及演化模式——以桑塔木地区为例. 岩性油气藏, 2016, 28(3): 34-41. TANG W, WANG Y M, ZHONG M H. Sedimentary characteristics and evolution model of delta in backbulge zone:a case study in Sangtamu area. Lithologic Reservoirs, 2016, 28(3): 34-41. DOI:10.3969/j.issn.1673-8926.2016.03.006 |
| [21] |
王家豪, 陈红汉, 云露, 等. 塔里木盆地台盆区三叠纪大型挤压坳陷湖盆层序地层及构造响应. 地球科学——中国地质大学学报, 2012, 37(4): 735-742. WANG J H, CHEN H H, YUN L, et al. Tectonic responses of Triassic sequence stratigraphy in the large-scale compressional down-warped lacustrine basin of inner Tarim Basin. Earth Science-Journal of China University of Geoscience, 2012, 37(4): 735-742. |
| [22] |
唐武, 王英民, 袁文芳, 等. 桑塔木地区三叠系层序地层特征及有利区带预测. 西安石油大学学报(自然科学版), 2013, 28(2): 1-10. TANG W, WANG Y M, YUAN W F, et al. Sequence stratigraphic characteristics and favorable hydrocarbon accumulation prediction of Triassic in Sangtamu area. Journal of Xi'an Shiyou University(Natural Science Edition), 2013, 28(2): 1-10. DOI:10.3969/j.issn.1673-064X.2013.02.001 |
| [23] |
崔周旗, 李文厚, 吴健平, 等. 乌里雅斯太凹陷斜坡带湖底扇相砾岩体沉积特征与隐蔽油藏勘探. 沉积学报, 2005, 23(1): 21-27. CUI Z Q, LI W H, WU J P, et al. The depositional characteristics of conglomerate bodies and exploration in subtle oil pools of sublacustrine fan facies in slope zone, Wuliyasitai sag. Acta Sedimentologica Sinica, 2005, 23(1): 21-27. DOI:10.3969/j.issn.1000-0550.2005.01.003 |
| [24] |
LOWE D R. Depositional models with special reference to the deposits of high-density turbidity currents. Journal of Sedimentary petrology, 1982, 52(1): 279-297. |
| [25] |
董贵能, 邓勇, 盖永浩, 等. 北部湾盆地涠西南凹陷湖底扇的沉积特征. 沉积学报, 2014, 32(2): 218-227. DONG G N, DENG Y, GAI Y H, et al. Sedimentary characteristics of sublacustrine fan in Weixi'nan sag of Beibuwan Basin. Acta Sedimentologica Sinica, 2014, 32(2): 218-227. |
| [26] |
JOBE Z R, LOWE D R, UCHYTIL S J. Two fundamentally different types of submarine canyons along the continental margin of Equatorial Guinea. Marine and Petroleum Geology, 2011, 28: 843-860. DOI:10.1016/j.marpetgeo.2010.07.012 |
| [27] |
唐武, 王英民, 张雷, 等. 塔里木盆地三叠纪前缘隆起迁移演化规律. 古地理学报, 2013, 15(2): 219-230. TANG W, WANG Y M, ZHANG L, et al. Forebulge migration and evolution of the Triassic in Tarim Basin. Journal of Palaeogeography, 2013, 15(2): 219-230. |
| [28] |
鲜本忠, 万锦峰, 姜在兴, 等. 断陷湖盆洼陷带重力流沉积特征与沉积模式:以南堡凹陷东部东营组为例. 地学前缘, 2012, 19(1): 121-135. XIAN B Z, WAN J F, JIANG Z X, et al. Sedimentary characteristics and model of gravity deposition in the depressed belt of rift lacustrine basin:a case study from Dongying Formation in Nanpu Depression. Earth Science Frontiers, 2012, 19(1): 121-135. |
| [29] |
杨仁超, 何治亮, 邱桂强, 等. 鄂尔多斯盆地南部晚三叠世重力流沉积体系. 石油勘探与开发, 2014, 41(6): 661-670. YANG R C, HE Z L, QIU G Q, et al. Late Triassic gravity flow depositional systems in the southern Ordos Basin. Petroleum Exploration and Development, 2014, 41(6): 661-670. |
| [30] |
王建民, 王佳媛. 鄂尔多斯盆地西南部长7深水浊积特征与储层发育. 岩性油气藏, 2017, 29(4): 11-19. WANG J M, WANG J Y. Deep-water turbidite characteristics and its reservoir development of Chang 7 oil layers in southwestern Ordos Basin. Lithologic Reservoirs, 2017, 29(4): 11-19. DOI:10.3969/j.issn.1673-8926.2017.04.002 |
| [31] |
袁静, 梁绘媛, 梁兵, 等. 湖相重力流沉积特征及发育模式——以苏北盆地高邮凹陷深凹带戴南组为例. 石油学报, 2016, 37(3): 348-359. YUAN J, LIANG H Y, LIANG B, et al. Sedimentary characteristics and development model of lacustrine gravity flow:a case study of Dainan Formation in deep sag belts of Gaoyou depression, northern Jiangsu Basin. Acta Petrolei Sinica, 2016, 37(3): 348-359. |
2018, Vol. 30


