2. 国土资源部页岩气资源战略评价重点实验室, 北京 100083;
3. 非常规天然气地质评价与开发工程北京市重点实验室, 北京 100083;
4. 河南省地质调查院, 郑州 450000
2. Key Laboratory of Strategy Evaluation for Shale Gas, Ministry of Land and Resources, Beijing 100083, China;
3. Beijing Key Laboratory of Unconventional Natural Gas Geological Evaluation and Development Engineering, Beijing 100083, China;
4. Henan Institute of Geological Survey, Zhengzhou 450000, China
页岩气是主体位于泥页岩层系中以吸附或游离状态为主要存在方式的天然气聚集[1-2]。页岩吸附气量的控制因素众多,其含量分布范围较大,Curtis[3]研究Antrim,Ohio,New Albany和Barnett等多个地区后发现,页岩中吸附气占比为20%~ 85%;Mavor[4]认为Barnett组页岩吸附气量占比可达61%;李新景等[5]认为页岩吸附气可能至少占总页岩含气量的40%;聂海宽等[6]认为页岩吸附气占比约为40%~60%;陈尚斌等[7]在统计国内外典型地区页岩后认为,吸附气占比为20%~85%;孔德涛等[8]认为页岩吸附气量占总气量的20%~80%;Liu等[9]在研究中牟区块上古生界页岩时发现,采用USBM+同位素法测得吸附气占总气量的28.2%~ 41.2%,而测井法获得的数据为32.3%~50.0%。
页岩吸附能力受控于内、外两方面因素,包括页岩的物质组分、孔缝结构、地层温度和压力等[10-14]。根据中国页岩气资源评价结果,上古生界海陆过渡相页岩气的资源量约为8.97亿m3,其中南华北盆地石炭系-二叠系的页岩气资源量可达到3.44亿m3,占比将近38.4%[15]。南华北盆地温县-中牟区块是北方上古生界海陆过渡相页岩发育的重要区域,目前区内主要研究工作集中在页岩气储层特征和成藏地质条件[16-20]、资源开发潜力[21-22]和有利层(区)优选[23-24]等方面,缺乏页岩吸附/解吸性和可采性评价方面的深入研究。开展页岩气赋存相态、吸附特性、解吸机理以及可采性的研究,对于重新评估海陆过渡相页岩气特殊性和资源开采潜力意义重大。
南华北盆地上古生界太原组-山西组页岩主要发育Ⅲ型(腐殖型)干酪根,具有“游吸比”偏低的显著特征,这可能导致页岩气井初始开采阶段的产气量较小,不利于早产高产。随着区块内页岩气勘探逐渐转向深层(>3 500 m),必将面临更高的压力和温度,其吸附/解吸特性、含气性和可采性的研究显得尤为重要。通过对南华北盆地中牟-温县区块牟页1井、郑东页2井和郑西页1井典型页岩样品的测试分析,研究上古生界页岩吸附特性,评价页岩气的可采性和开发潜力,以期为中牟-温县区块的页岩气增储上产提供指导意见。
1 地质概况南华北盆地是在华北地台基础之上发育起来的中、新生代叠合盆地[25],总面积约15万km3。研究区中牟-温县区块位于南华北盆地西北部,主体处于太康隆起与开封盆地交接部位(图 1),区内地层发育较稳定,构造运动对地层改造较小,地层整体倾向北东,为西高东低的构造格局。海陆过渡相页岩地层主要分布在上古生界石炭系和二叠系,本次研究所取的实验样品来自于中牟-温县区块3口页岩气井(牟页1井、郑西页1井和郑东页2井)的太原组-山西组(图 1),其中太原组有19块样品,山西组有13块样品。
|
下载eps/tif图 图 1 南华北盆地中牟-温县区块位置(据文献[26]修改) Fig. 1 Location of Zhongmou-Wenxian block in South North China Basin |
采用FY-KT1000型等温吸附仪测定页岩样品的甲烷气体吸附能力,实验参照《GB/T 35210.1- 2017页岩甲烷等温吸附测定方法》进行。其中,牟页1井、郑东页2井和郑西页1井页岩样品的实验测试温度分别为30 ℃,90 ℃和108 ℃,测试压力均为0~20 MPa。样品制备以及仪器测试流程参照文献[27]。页岩等温吸附实验数据可根据单分子层吸附理论,利用Langmuir方程[28]拟合并求取吸附特征参数。
| $ v=\frac{v_{\mathrm{L}} P}{P+P_{\mathrm{L}}} $ | (1) |
式中:v为测试压力下的吸附气质量体积,cm3/g;P为测试压力,MPa;vL为饱和吸附气质量体积,也称兰氏体积,cm3/g;PL为兰氏压力,其值为饱和吸附气质量体积一半时所对应的压力,MPa。
Polanyi[29]以定量表达式描述了吸附势,该理论不涉及吸附的具体物理图像,即对固体表面是否均匀、吸附层数均未做任何假设,该理论特征为:(1)固体表面附近的空间内存在吸引力场,离表面越近,引力越大,气体分子一旦进入此空间内即被吸附,该空间被称为吸附空间(即吸附气质量体积);(2)在吸附空间内的任一位置均存在吸附势;(3)吸附势与温度无关。因此,根据某一个温度下的吸附曲线即可获取吸附势-吸附气质量体积特性曲线,进一步获得任意温度下的吸附曲线。利用吸附势理论建立吸附势与压力之间的关系为
| $ \varepsilon=\int_{p_{i}}^{p_{0}} v \mathrm{d} P=\int_{p_{i}}^{p_{0}} \frac{\mathrm{R} T}{P} \mathrm{d} P=\mathrm{R} T \ln \frac{P_{0}}{P_{i}} $ | (2) |
式中:ε为吸附空间内任一点的吸附势,J/mol;T为热力学温度,K;P0为实验温度T下的气体饱和蒸汽压力,MPa;Pi为理想气体在恒温下的平衡压力,MPa;R为普适气体常数,取值为8.314 4 J/(mol·K)。
临界压力条件下的饱和蒸汽压力采用Amankwah等[30]和Dubinin等[31]提出的公式计算。此外,由于实验温度(或实际储层温度)大于甲烷临界温度,在计算吸附势时,不仅要预测气体饱和蒸汽压力P0值,也应使用逸度f和f0分别代替P与P0[32]。考虑到实验中甲烷气体在变温、变压条件下的活动性,同时保证预测模型的准确性和可靠性,引进逸度[33]进行计算。因此,依据吸附势理论,考虑逸度影响的范德华气体吸附势公式应为
| $ \varepsilon=\int_{p_{i}}^{p_{0}} v \mathrm{d} P=\int_{f_{i}}^{f_{0}} \frac{Z^{2} \mathrm{R} T}{f} \mathrm{d} f=\mathrm{R} T \ln \frac{f_{0}}{f_{i}} $ | (3) |
式中:f0为实验气体饱和蒸汽压力对应的逸度值,MPa;fi为气体在恒温下的平衡压力所对应的逸度值,MPa。
借助吸附势计算公式可得到吸附势ε与吸附气质量体积ω的关系曲线,即页岩甲烷吸附特性曲线。文献[32, 34]报道过不同温度下的吸附特性曲线几乎落在同一条曲线上,表明了页岩吸附甲烷的特性曲线与温度无关。观察牟页1井、郑东页2井和郑西页1井等3口井的6块典型页岩样品的吸附特性曲线可以发现,吸附势与吸附气质量体积存在明显的相关性,相关系数都在0.80以上(图 2)。
|
下载eps/tif图 图 2 中牟—温县区块3口井等温吸附特性曲线 Fig. 2 Isothermal adsorption characteristic curves of three wells in Zhongmou-Wenxian block |
在对数拟合关系式ε=a lnω+b中,根据Ozawa等[35]提出的方法计算得到吸附气质量体积ω
| $ \omega=v_{a d} \frac{M}{\rho_{a d}}=\frac{16 v}{22400 \rho_{a d}} $ | (4) |
式中:vad为吸附相体积,cm3/g;M为摩尔质量,g/mol;ρad为吸附相密度,可视为常数[36],此处取值为0.376 g/cm3。
由上式可知,ω与v为正比例关系,而ω与ε为对数函数关系,因此可认为ε与v也呈自然对数函数关系,即ε=c lnv+d。进一步对式(3)变换可得到用以预测不同温压下页岩-甲烷吸附参数的数学模型,即修正的温-压综合吸附模型为
| $ \left\{ \begin{align} & v=\text{D}{{\text{e}}^{\text{k}\ \text{R}T\ \text{ln}\frac{{{f}_{0}}}{{{f}_{i}}};}} \\ & {{f}_{i}}={{P}_{i}}{{Z}_{i}}\left| 其中i=0时,{{f}_{0}}={{P}_{0}}{{Z}_{0}} \right. \\ \end{align} \right. $ | (5) |
式中:D与k为吸附特征常数。
3 吸附特征 3.1 等温吸附实验结果在模拟储层温度30 ℃(相当于埋深520 m)条件下,南华北盆地中牟-温县区块牟页1井16个典型页岩样品的等温吸附实验结果显示:饱和吸附气质量体积vL为1.04~2.84 m3/t,平均为1.92 m3/t;兰氏压力PL为1.43~2.28 MPa,平均为1.96 MPa;在实际储层温度90 ℃(相当于埋深2 656 m)条件下,郑东页2井6个典型页岩样品的饱和吸附气质量体积vL为1.33~4.36 m3/t,变化范围较大,平均为2.6 m3/t;兰氏压力PL为3.45~5.88 MPa,平均为4.59 MPa;在实际储层温度108 ℃条件下(相当于埋深3 300 m),郑西页1井10个典型页岩样品的饱和吸附气质量体积vL为0.82~3.29 m3/t,变化范围较大,平均为1.71 m3/t;兰氏压力PL为1.53~2.88 MPa,平均为2.13 MPa。
郑东页2井样品的平均兰氏体积vL最大,牟页1井次之,郑西页1井最小,表明郑东页2井页岩储层实际吸附气占比高,“游吸比”低,这与现场解析和测井计算结果一致;郑东页2井的平均兰氏压力pL最大,超过牟页1井和郑西页1井的两倍以上。兰氏压力越高,吸附态甲烷脱附越容易,解吸效率越高,有利于页岩气井的早期短时间高产[37]。
等温吸附曲线显示(图 3),随着压力升高,吸附气量快速增大,直到某一临界值而达到平衡,吸附气量不再增加。对于牟页1井和郑西页1井而言,当压力小于6 MPa时,吸附气量随着压力增大而迅速增加,当压力大于6 MPa时,增速明显减缓,直至曲线趋于平直[图 3(a),图 3(c)];但对于郑东页2井,当压力小于10 MPa时,吸附气量一直随压力增长而快速增加[图 3(b)]。
|
下载eps/tif图 图 3 中牟—温县区块3口井等温吸附实验曲线 Fig. 3 Isothermal adsorption experimental curves of three wells in Zhongmou-Wenxian block |
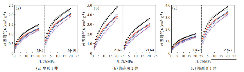
基于牟页1井(实验温度为30 ℃),郑东页2井(实验温度为90 ℃)以及郑西页1井(实验温度为108 ℃)的典型页岩样品的等温吸附实验数据,利用温-压综合吸附模型,可分别预测60 ℃,90 ℃,120 ℃和150 ℃(分别相当于埋深为1 580 m,2 656 m,3 731 m和4 806 m)条件下的页岩吸附气量,进而求取相应的吸附参数特征值。页岩样品的相关信息和采用的预测模型见表 1,预测的等温吸附曲线见图 4,通过拟合所得的特征参数见表 2。
|
下载eps/tif图 图 4 中牟—温县区块3口井预测的等温吸附曲线 Fig. 4 Predicted isothermal adsorption curves of three wells in Zhongmou-Wenxian block |
|
|
下载CSV 表 1 基于吸附势理论的吸附量预测模型 Table 1 Prediction model of adsorption capacity based on adsorption potential theory |
选取的典型页岩样品中,郑东页2井的ZD-2和ZD-4等2个样品都为太原组页岩;牟页1井的M-5样品为山西组页岩,M-10样品为太原组页岩;郑西页1井的ZX-2样品为山西组页岩,ZX-7样品为太原组页岩。由图 4可发现太原组页岩吸附能力明显好于山西组,对于牟页1井,M-10样品平均饱和吸附量(1.99 cm3/g)大于M-5样品(1.65 cm3/g),对于郑西页1井,ZX-7样品平均饱和吸附气质量体积(4.04 cm3/g)约为ZX-2样品(1.74 cm3/g)的两倍多,而郑东页2井2个样品的平均饱和吸附气质量体积最大,达到5.94 cm3/g(表 2)。由预测的等温吸附曲线还可看出同温同压下,郑东页2井的页岩甲烷吸附能力最强,60 ℃,90 ℃,120 ℃和150 ℃下的平均饱和吸附气质量体积分别可达5.95 cm3/g,4.76 cm3/g,6.31 cm3/g和6.74 cm3/g,明显要大于相对应的牟页1井和郑西页1井页岩饱和吸附气质量体积(图 4,表 2)。太原组页岩兰氏压力为3.41~ 20.45 MPa,平均为7.67 MPa;山西组兰氏压力为4.20~26.53 MPa,平均为9.61 MPa,高于太原组。表明在相同压力条件下,山西组页岩的吸附态甲烷更容易脱附成游离态,从而有利于扩散或渗流并运移产出。
|
|
下载CSV 表 2 牟—温县区块3口井预测的吸附特征参数 Table 2 Predicted adsorption characteristic parameters of three wells in Zhongmou-Wenxian block |
将不同温度下的预测吸附量与实际吸附量进行对比,发现绝对偏差和相对偏差都比较小,满足一般的研究和工程应用需求。对于绝对偏差,基本都在0.25 cm3/g以下,其中绝对偏差在0.1 cm3/g以下的占比55%,在0.2 cm3/g以下的占比87.5%,整体上平均绝对偏差为0.11 cm3/g[图 5(a)]。绝大多数相对偏差小于10%,平均相对偏差为8.4%。随着压力增大,相对偏差呈先减后增的弧形变化趋势[图 5(b)],大约在中压阶段(8~14 MPa)的相对偏差最小(< 6%)。低压下较高的预测误差主要是因为甲烷气体的吸附量小,高压下预测误差增大可能源于吸附相气体体积的差异变化[38]。
|
下载eps/tif图 图 5 预测吸附量与实测吸附量的绝对偏差(a)和相对偏差(b)分布 Fig. 5 Absolute deviation (a) and relative deviation (b) distribution of the predicted and measured adsorption capacity |
页岩的埋藏深度、储层温度以及地下水等条件均会影响页岩的含水率,而含水率在很大程度上直接影响页岩吸附性能和吸附气所占比例。南华北盆地中牟-温县区块3口井的页岩样品含水率均随着埋深增大而增大(图 6),通常情况下埋深增大会造成压实作用增强,可使储层更加致密,孔隙水被排挤出岩石,导致岩石含水率减小,但是研究样品表现出的这种相反规律可能是因为深埋作用促使温压条件改变了水的相态,相态传质作用使得薄膜状的液态水分子往基质深处进行润湿迁移,同时气态水分子也会发生一定的气润湿作用,共同导致了深埋条件下含水率趋于偏高的现象[39-40]。此外,从埋深、含水率和饱和吸附气质量体积间的综合关系来看,随着埋深增大,吸附气量呈一定的上升趋势(图 7),但含水率与饱和吸附气质量体积间呈负相关关系,即随着含水率增大,页岩吸附气量整体呈下降态势。由于随着埋深增加,压力增大,利于甲烷气体吸附,但同时温度增高,温度和压力共同影响了页岩的吸附性能。因此,埋深增大,吸附气量略有增大,但并不明显,温压条件控制下的复杂的埋深-含水率-吸附性的相关关系值得进一步研究和探索[41-42]。
|
下载eps/tif图 图 6 中牟—温县区块3口井页岩埋深与含水率关系 Fig. 6 Relationship between buried depth and water content in three wells in Zhongmou-Wenxian block |
|
下载eps/tif图 图 7 中牟—温县区块3口井页岩饱和吸附气质量体积与埋深和含水率间的关系 Fig. 7 Relationships of adsorption capacity with buried depth and water content in three wells in Zhongmou-Wenxian block |
页岩吸附能力受内、外多因素控制,温度和压力是重要的外部影响因素。通常认为温度升高抑制页岩吸附甲烷,导致吸附气的占比降低;压力升高则有利于页岩吸附气的富集。等温吸附实验结果表明,温度对页岩吸附量的影响显著,随着温度的升高,吸附量明显下降,因为温度会对脱附起到活化作用,温度的升高促使吸附态甲烷分子物理吸热,动能增大,利于分子活动,脱附解吸为游离相。将温度每升高1 ℃兰氏体积的变化量定义为兰氏体积衰减系数α[43],以储层温度60 ℃下的兰氏体积为基准,将90 ℃,120 ℃和150 ℃的兰氏体积进行折算,对不同温度的兰氏体积衰减系数取绝对值,绘制温度与衰减系数相关关系图[图 8(b)]。实验结果表明,随着温度升高,α的绝对值明显下降,其中60~120 ℃时,α近似直线下降,其绝对值为0.000 5~ 0.116 1 cm3/(g·℃),平均为0.027 9 cm3/(g·℃);当温度超过120 ℃后,下降趋势明显减缓,甚至有轻微上升态势,α绝对值为0~0.012 6 cm3/(g·℃),平均为0.003 7 cm3/(g·℃)。表明当温度超过某一临界温度后(本次研究的临界温度为120 ℃,对应地层埋深为3 731 m),页岩甲烷吸附气质量体积的衰减速率要明显降低(降低幅度超过10倍),即温度对页岩吸附能力的影响可能存在临界值,超过该值后,温度的影响减弱,且不同样品的兰氏体积在随温度变化过程中都存在“先减后增”的阶段分化特征[图 8(a)]。本次实验的压力被限制在20 MPa内,而实际地层压力(埋深3 000 m以上)可达30 MPa以上,因此深部地层中温度对吸附能力的影响大为减弱,而地层压力却在随埋深增大而继续上升。
|
下载eps/tif图 图 8 中牟温县区块兰氏体积(系数)、兰氏压力与储层温度的关系 Fig. 8 Relationships of reservoir temperature with Langmuir volume (coefficient) and Langmuir pressure in three wells in Zhongmou-Wenxian block |
在等温吸附实验以及Polanyi吸附模型所预测的压力(小于20 MPa)范围内,页岩样品均未达到饱和吸附量(图 3、图 4),20 MPa所对应的页岩储层埋深约为2 000 m,根据压力随饱和吸附气质量体积的变化趋势,可以计算出页岩饱和吸附的临界深度约为2 500 m。此外,随着温度升高,兰氏压力持续增大,正相关关系明显[图 8(c)]。兰氏压力表征了吸附态甲烷分子解吸的难易程度,因此,深埋作用导致温压增大,温度增高导致吸附量下降,但这种“负效应”影响越来越弱,而兰氏压力的增大,使得甲烷分子在降压解吸过程中易于脱附。
4.2 深部页岩气的潜力分析中牟-温县区块页岩气的勘探与开发主要集中在南部地区,目的层的底界深度约3 000 m。牟页1井完钻深度为3 028.0 m(太原组底界深度为2 979.0 m),郑东页2井完钻深度为2 973.0 m(太原组底界深度为2 921.1 m),郑西页1井完钻深度为3 420.0 m(太原组底界深度为3 376.2 m)。邱庆伦等[44]的研究成果表明,区内太原组-山西组基本为常压状态,平均地层压力梯度为0.99 MPa/100 m。按此压力梯度推算,牟页1井、郑东页2井和郑西页1井等3口井的太原组地层压力分别为29.49 MPa,28.92 MPa和33.42 MPa,对于深部3 500 m以上的页岩,其地层压力可达34.7 MPa以上。本次研究根据郑东页2井钻井地温资料、王心义等[45]和沈俊超等[46]的研究成果,平均地表恒温带温度取值15.9 ℃,地温梯度取值2.79 ℃/100 m,可计算出研究区埋深3 500 m以上页岩的地层温度应在123.5 ℃以上。
温县区块太原组和山西组页岩层系现今埋深多为3 500~5 000 m,东南部埋深略小,约为3 000~ 4 000 m,北部沁阳-金城次凹和南部的温县次凹埋深均大于6 000 m。中牟区块目的层页岩的埋深为2 700~9 500 m,埋深小于3 500 m的有效勘探面积不足区块总面积的20%。随着页岩气勘探逐渐向深部推进,据前文所述的压力梯度和地温梯度,可以计算出页岩储层的压力可达35 MPa以上,储层温度可达120 ℃以上。页岩吸附参数[图 8(a)]显示,高温高压下页岩仍具有较高的吸附能力,并且具有“吸附气量随温压增大而增大”的特征。
通过等温吸附实验和现场解析含气量测试[16]可综合评价页岩的可采性。根据文献[47-48]中提到的方法计算页岩气可采系数,发现研究区页岩的理论可采系数具有随埋深增大而增大的特征(图 9),表明埋深较大(3 500~5 000 m)的中牟-温县区块的页岩气仍然具有较大的开采潜力,尤其在页岩厚度、埋深及盖层条件相似的同一区块内,构造相对稳定、未发生强逸散作用的“甜点区”是下一步勘探选区的重点领域[44]。
|
下载eps/tif图 图 9 中牟—温县区块不同埋深下的页岩气理论可采系数 Fig. 9 Theoretic recovery rate of shale gas under different buried depth in Zhongmou-Wenxian block |
(1)南华北盆地中牟-温县地区山西组-太原组郑东页2井的页岩吸附能力最强,实际吸附气占比高,游吸比低;太原组页岩吸附能力好于山西组,而山西组页岩吸附态甲烷更易脱附,更利于页岩气产出。
(2)页岩埋深、储层温度以及地下水等条件均会影响页岩含水率,而含水率大小可直接影响页岩吸附性能和吸附气占比。南华北盆地中牟-温县区块页岩埋深与含水率和吸附气量呈正相关关系,但含水率与吸附气量呈负相关关系,这可能与深埋作用下的温压条件和相态传质作用有关。
(3)南华北盆地中牟-温县区块页岩饱和吸附所需的地层压力对应的临界深度约为2 500 m,页岩饱和吸附所需的地层温度对应的临界深度约为3 731 m。深埋条件下,吸附气量随着地层温度增大而下降,但影响逐渐减弱,而兰氏压力增大,使得降压解吸过程中的“高压段”甲烷解吸更充分,证实了中牟-温县地区北部深层页岩仍具有较大的开采潜力。
| [1] |
张金川, 薛会, 张德明, 等. 页岩气及其成藏机理. 现代地质, 2003, 17(4): 466. ZHANG J C, XUE H, ZHANG D M, et al. Shale gas and its reservoir mechanism. Geoscience, 2003, 17(4): 466. DOI:10.3969/j.issn.1000-8527.2003.04.019 |
| [2] |
张金川, 薛会, 卞昌蓉, 等. 中国非常规天然气勘探雏议. 天然气工业, 2006, 26(12): 53-56. ZHANG J C, XUE H, BIAN C R, et al. Discussion on unconventional natural gas exploration in China. Natural Gas Industry, 2006, 26(12): 53-56. DOI:10.3321/j.issn:1000-0976.2006.12.012 |
| [3] |
CURTIS J B. Fractured shale-gas systems. AAPG Bulletin, 2002, 86(11): 1921-1938. |
| [4] |
MAVOR M. Barnett shale gas-in-place volume including sorbed and free gas volume. Southwest SectionAAPG Convention, Texas, 2003. |
| [5] |
李新景, 胡素云, 程克明. 北美裂缝性页岩气勘探开发的启示. 石油勘探与开发, 2007, 34(4): 392-400. LI X J, HU S Y, CHENG K M. Suggestions from the development of fractured shale gas in North America. Petroleum Exploration and Development, 2007, 34(4): 392-400. DOI:10.3321/j.issn:1000-0747.2007.04.002 |
| [6] |
聂海宽, 张金川, 张培先, 等. 福特沃斯盆地Barnett页岩气藏特征及启示. 地质科技情报, 2009, 28(2): 87-93. NIE H K, ZHANG J C, ZHANG P X, et al. Shale gas reservoir characteristics of Barnett shale gas reservoir in Fort Worth Basin. Geological Science and Technology Information, 2009, 28(2): 87-93. DOI:10.3969/j.issn.1000-7849.2009.02.016 |
| [7] |
陈尚斌, 张楚, 刘宇. 页岩气赋存状态及其分子模拟研究进展与展望. 煤炭科学技术, 2018, 46(1): 36-44. CHEN S B, ZHANG C, LIU Y. Research progress and prospect of shale gas occurrence and its molecular simulation. Coal Science and Technology, 2018, 46(1): 36-44. |
| [8] |
孔德涛, 宁正福, 杨峰, 等. 页岩气吸附规律研究. 科学技术与工程, 2014, 14(6): 108-111. KONG D T, NING Z F, YANG F, et al. Study of methane adsorption on shales. Science Technology and Engineering, 2014, 14(6): 108-111. DOI:10.3969/j.issn.1671-1815.2014.06.024 |
| [9] |
LIU Y, ZHANG J C, TANG X, et al. Predicting the proportion of free and adsorbed gas by isotopic geochemical data:a case study from Lower Permian shale in the southern North China Basin(SNCB). International Journal of Coal Geology, 2016, 156: 25-35. DOI:10.1016/j.coal.2016.01.011 |
| [10] |
曾维特, 张金川, 丁文龙, 等. 延长组陆相页岩含气量及其主控因素:以鄂尔多斯盆地柳坪171井为例. 天然气地球科学, 2014, 25(2): 291-301. ZENG W T, ZHANG J C, DING W L, et al. The gas content of continental Yanchang shale and its main controlling factors:a case study of Liuping-171 well in Ordos Basin. Natural Gas Geoscience, 2014, 25(2): 291-301. |
| [11] |
党伟, 张金川, 黄潇, 等. 陆相页岩含气性主控地质因素:以辽河西部凹陷沙河街组三段为例. 石油学报, 2015, 36(12): 1516-1530. DANG W, ZHANG J C, HAUNG X, et al. Main-controlling geological factors of gas-bearing property of continental shale gas:a case study of member 3 rd Shahejie Formation in western Liaohe Sag. Acta Petrolei Sinica, 2015, 36(12): 1516-1530. DOI:10.7623/syxb201512006 |
| [12] |
JI L M, ZHANG T W, MILLIKEN K L, et al. Experimental investigation of main controls to methane adsorption in clay-rich rocks. Applied Geochemistry, 2012, 27(12): 2533-2545. DOI:10.1016/j.apgeochem.2012.08.027 |
| [13] |
GASPARIK M, BERTIER P, GENSTERBLUM Y, et al. Geological controls on the methane storage capacity in organic-rich shales. International Journal of Coal Geology, 2013, 123(2): 34-51. |
| [14] |
胡博文, 李斌, 鲁东升, 等. 页岩气储层特征及含气性主控因素:以湘西北保靖地区龙马溪组为例. 岩性油气藏, 2017, 29(3): 83-91. HU B W, LI B, LU D S, et al. Characteristics and main controlling factors of shale gas reservoirs:a case from Longmaxi Formation in Baojing area, NW Hunan province. Lithologic Reservoirs, 2017, 29(3): 83-91. DOI:10.3969/j.issn.1673-8926.2017.03.010 |
| [15] |
国土资源部油气资源战略研究中心. 全国页岩气资源潜力调查评价及有利区优选(2009-2011年). 科技成果管理与研究, 2014(12): 57-60. Strategic Research Center of Oil and Gas Resources, MLR. Investigation and evaluation of national shale gas resource potential and optimum selection of favorable areas(2009-2011). Management and Research on Scientific & Technological Achievements, 2014(12): 57-60. DOI:10.3772/j.issn.1673-6516.2014.12.021 |
| [16] |
DANG W, ZHANG J C, TANG X, et al. Investigation of gas content of organic-rich shale:a case study from Lower Permian shale in southern North China Basin, central China. Geoscience Frontiers, 2018, 9(2): 559-575. DOI:10.1016/j.gsf.2017.05.009 |
| [17] |
DANG W, ZHANG J C, WEI X L, et al. Geological controls on methane adsorption capacity of Lower Permian transitional black shales in the Southern North China Basin, central China:Experimental results and geological implications. Journal of Petroleum Science and Engineering, 2017, 152: 456-470. DOI:10.1016/j.petrol.2017.03.017 |
| [18] |
TANG S, ZHANG J C, DEREK E, et al. Lithofacies and pore characterization of the Lower Permian Shanxi and Taiyuan shales in the southern North China Basin. Journal of Natural Gas Science and Engineering, 2016, 36: 644-661. DOI:10.1016/j.jngse.2016.11.013 |
| [19] |
CHEN Q, ZHANG J C, TANG X, et al. Pore structure characterization of the Lower Permian marine-continental transitional black shale in the Southern North China Basin, Central China. Energy Fuels, 2016, 30(12): 10092-10105. DOI:10.1021/acs.energyfuels.6b01475 |
| [20] |
邵龙义, 张亮, 张敬凯, 等. 河南省石炭-二叠系海陆过渡相页岩气成藏地质条件. 矿业科学学报, 2016, 1(3): 209-220. SHAO L Y, ZHANG L, ZHANG J K, et al. Accumulation conditions of shale gas in transitional marine-continental coal measures of the Carboniferous-Permian in Henan Province. Journal of Mining Science and Technology, 2016, 1(3): 209-220. |
| [21] |
DANG W, ZHANG J C, TANG X, et al. Shale gas potential of Lower Permian marine-continental transitional black shales in the Southern North China Basin, central China:Characterization of organic geochemistry. Journal of Natural Gas Science and Engineering, 2016, 28: 639-650. DOI:10.1016/j.jngse.2015.12.035 |
| [22] |
王付斌, 马超, 安川. 南华北盆地通许地区上古生界天然气勘探前景. 岩性油气藏, 2016, 28(2): 33-40. WANG F B, MA C, AN C. Gas exploration prospects of the Upper Paleozoic in Tongxu area, Southern North China Basin. Lithologic Reservoirs, 2016, 28(2): 33-40. DOI:10.3969/j.issn.1673-8926.2016.02.005 |
| [23] |
李中明, 张栋, 张古彬, 等. 豫西地区海陆过渡相含气页岩层系优选方法及有利区预测. 地学前缘, 2016, 23(2): 39-47. LI Z M, ZHANG D, ZHANG G B, et al. The transitional facies shale gas formation selection and favorable area prediction in the western Henan. Earth Science Frontiers, 2016, 23(2): 39-47. |
| [24] |
邱庆伦, 张木辰, 李中明, 等. 牟页1井海陆过渡相页岩气压裂试气效果分析. 石油地质与工程, 2017, 31(2): 111-116. QIU Q L, ZHANG M C, LI Z M, et al. Analysis of fracturing and testing gas in marine-continental transitional shale of Mouye 1 Well. Petroleum Geology and Engineering, 2017, 31(2): 111-116. DOI:10.3969/j.issn.1673-8217.2017.02.028 |
| [25] |
刁玉杰, 魏久传, 曹红. 南华北盆地石炭-二叠系沉积环境与聚煤规律研究. 海洋科学集刊, 2010, 50: 133-137. DIAO Y J, WEI J C, CAO H. Sedimentary environment and coal accumulation of the Carboniferous and Permian in the Southern North China Basin. Studia Marina Sinica, 2010, 50: 133-137. |
| [26] |
孙自明. 太康隆起构造演化史与勘探远景. 石油勘探与开发, 1996, 23(5): 6-10. SUN Z M. Tectonic evolution and petroleum exploration prospective of Taikang uplift. Petroleum Exploration and Development, 1996, 23(5): 6-10. |
| [27] |
赵勇, 刘予, 李瑞杰, 等. 京西凹陷上古生界页岩气资源潜力分析. 地质调查与研究, 2015, 38(4): 284-290. ZHAO Y, LIU Y, LI R J, et al. An analysis of resource potential on Upper Paleozoic shale gas in depression of western Beijing. Geological Survey and Research, 2015, 38(4): 284-290. DOI:10.3969/j.issn.1672-4135.2015.04.007 |
| [28] |
LANGMUIR I. The adsorption of gases on plane surfaces of glass, mica and platinum. Journal of the American Chemical Society, 1918, 40(9): 1361-1403. DOI:10.1021/ja02242a004 |
| [29] |
POLANYI M. The potential theory of adsorption. Science, 1963, 141(3585): 1010-1013. DOI:10.1126/science.141.3585.1010 |
| [30] |
AMANKWAH K A G, SCHWARZ J A. A modified approach for estimating pseudo-vapor pressure in the application of the Dubinin-Astakhov equation. Carbon, 1995, 33(9): 1313-1319. DOI:10.1016/0008-6223(95)00079-S |
| [31] |
DUBININ M M. The potential theory of adsorption of gases and vapors for adsorbents with energetically nonuniform surfaces. Chemistry Review, 1960, 60(2): 235-241. DOI:10.1021/cr60204a006 |
| [32] |
崔永君, 李育辉, 张群, 等. 煤吸附甲烷的特征曲线及其在煤层气储集研究中的作用. 科学通报, 2005, 50(1): 76-81. CUI Y J, LI Y H, ZHANG Q, et al. Characteristic curve of coalbed methane adsorption and its role in reservoir research of coalbed methane. Chinese Science Bulletin, 2005, 50(1): 76-81. |
| [33] |
顾惕人, 朱步瑶, 李外郎, 等. 表面化学. 北京: 科学出版社, 2001: 275-280. GU T R, ZHU B Y, LI W L, et al. Surface chemistry. Beijing: Science Press, 2001: 275-280. |
| [34] |
王庆, 宁正福, 张睿, 等. 基于吸附势理论的页岩气藏吸附平衡预测. 新疆石油地质, 2015, 36(3): 308-312. WANG Q, NING Z F, ZHANG R, et al. Adsorption equilibrium prediction of shale gas pool based on adsorption potential theory. Xinjiang Petroleum Geology, 2015, 36(3): 308-312. |
| [35] |
OZAWA S, KUSUMI S, OGINO Y. Physical adsorption of gases at high pressure. Ⅳ. An improvement of the Dubinin-Astakhov adsorption equation. Journal of Colloid Interface Science, 1976, 56(1): 83-91. DOI:10.1016/0021-9797(76)90149-1 |
| [36] |
张群, 崔永君, 钟玲文, 等. 煤吸附甲烷的温度-压力综合吸附模型. 煤炭学报, 2008, 33(11): 1272-1278. ZHANG Q, CUI Y J, ZHONG L W, et al. Temperature-pressure comprehensive adsorption model for coal adsorption of methane. Journal of China Coal Society, 2008, 33(11): 1272-1278. DOI:10.3321/j.issn:0253-9993.2008.11.016 |
| [37] |
李沛, 马东民, 张辉, 等. 高、低阶煤润湿性对甲烷吸附/解吸的影响. 煤田地质与勘探, 2016, 44(5): 80-85. LI P, MA D M, ZHANG H, et al. Influence of high and low rank coal wettability and methane adsorption/desorption characteristics. Coal Geology & Exploration, 2016, 44(5): 80-85. DOI:10.3969/j.issn.1001-1986.2016.05.015 |
| [38] |
何彦庆, 郑丽, 闫长辉, 等. 页岩储层标准等温吸附曲线的建立:以鄂尔多斯盆地长7页岩储层为例. 岩性油气藏, 2018, 30(3): 92-99. HE Y Q, ZHENG L, YAN C H, et al. Establishment of standard adsorption isotherms for shale reservoirs:a case of Chang 7 shale reservoir in Ordos Basin. Lithologic Reservoirs, 2018, 30(3): 92-99. |
| [39] |
李沛.大佛寺井田煤-水-甲烷作用研究.西安: 西安科技大学, 2017. LI P. Study on coal-water-methane interaction in Dafosi mine field. Xi'an: Xi'an University of Science and Technology, 2017. http://cdmd.cnki.com.cn/Article/CDMD-10704-1017725622.htm |
| [40] |
马东民, 李沛, 张辉, 等. 长焰煤中镜煤与暗煤吸附/解吸特征对比. 天然气地球科学, 2017, 28(6): 852-862. MA D M, LI P, ZHANG H, et al. Comparison on characteristics of adsorption/desorption of vitrain and durain in long-flame coal. Natural Gas Geoscience, 2017, 28(6): 852-862. |
| [41] |
余川, 周洵, 方光建, 等. 地层温压条件下页岩吸附性能变化特征:以渝东北地区龙马溪组为例. 岩性油气藏, 2018, 30(6): 10-17. YU C, ZHOU X, FANG G J, et al. Adsorptivity of shale under the formation temperature and pressure:a case of Longmaxi Formation in northeastern Chongqing. Lithologic Reservoirs, 2018, 30(6): 10-17. |
| [42] |
LI P, MA D M, ZHANG J C, et al. Effect of wettability on adsorption and desorption of coalbed methane:a case study from low-rank coals in the southwestern Ordos Basin, China. Industrial & Engineering Chemistry Research, 2018, 57(35): 12003-12015. |
| [43] |
秦勇, 宋全友, 傅雪海. 煤层气与常规油气共采可行性探讨:深部煤储层平衡水条件下的吸附效应. 天然气地球科学, 2005, 16(4): 492-498. QIN Y, SONG Q Y, FU X H. Discussion on reliability for comining the coalbed gas and Normal petroleum and natural gas:Absorptive effect of deep Coal reservoir under condition of balanced water. Natural Gas Geoscience, 2005, 16(4): 492-498. DOI:10.3969/j.issn.1672-1926.2005.04.017 |
| [44] |
邱庆伦, 李中明, 刘冲, 等. 河南温县区块太原组-山西组页岩气成藏条件及勘探方向研究. 非常规油气, 2018, 5(1): 11-19. QIU Q L, LI Z M, LIU C, et al. Study on the accumulation conditions and exploration targets of shale gas of Taiyuan and Shanxi formations in Wenxian Block, Henan Province. Unconventional Oil & Gas, 2018, 5(1): 11-19. DOI:10.3969/j.issn.2095-8471.2018.01.003 |
| [45] |
王心义, 聂新良, 赵卫东. 开封凹陷区地温场特征及成因机制探析. 煤田地质与勘探, 2001, 29(5): 4-7. WANG X Y, NIE X L, ZHAO W D. Geothermal field's characteristics and forming mechanisms in Kaifeng Depression. Coal Geology & Exploration, 2001, 29(5): 4-7. DOI:10.3969/j.issn.1001-1986.2001.05.002 |
| [46] |
沈俊超, 刘朝武, 张灵, 等. 河南中牟凹陷地热地质背景与深层地热水开发. 河南理工大学学报, 2014, 33(5): 598-603. SHEN J C, LIU C W, ZHANG L, et al. Geothermal geological background and deep geothermal water development of Henan Zhongmu sag. Journal of Henan Polytechnic University(Natural Science), 2014, 33(5): 598-603. DOI:10.3969/j.issn.1673-9787.2014.05.009 |
| [47] |
傅雪海, 秦勇, 叶建平, 等. 中国部分煤储层解吸及甲烷采收率. 煤田地质与勘探, 2002, 28(2): 19-22. FU X H, QIN Y, YE J P, et al. Desorption properties of some coal reservoirs and methane recovery rate in china. Coal Geology & Exploration, 2002, 28(2): 19-22. DOI:10.3969/j.issn.1001-1986.2002.02.007 |
| [48] |
刘刚, 赵谦平, 刘超, 等. 延长油气区页岩气可采系数标定研究. 岩性油气藏, 2018, 30(5): 51-58. LIU G, ZHAO Q P, LIU C, et al. Recoverable coefficient calibration of shale gas in Yanchang Oilfield, Ordos Basin. Lithologic Reservoirs, 2018, 30(5): 51-58. |
2019, Vol. 31



